全部版块 我的主页
论坛 数据科学与人工智能 数据分析与数据科学 R语言论坛
6269 18
2015-04-06
L<-read.csv("C:/Users/CTLab/Desktop/Left.csv",head=F)

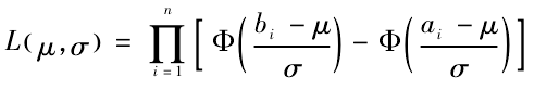
> LL<-function(theta,L){
+ mu<-theta[1]
+ sigma<-theta[2]
+ logL<-sum(log(pnorm(L[,1],mu,sigma)-pnorm(L[,2],mu,sigma)))
+ return(-logL)
+ }
> res<-optim(c(1,1),LL,x=L)
结果·········
错误于fn(par, ...) : 参数没有用(x = list(V1 = ····
这个哪里错了啊?不明白啊,求教

二维码

扫码加我 拉你入群

请注明:姓名-公司-职位

以便审核进群资格,未注明则拒绝

全部回复
2015-4-6 17:03:50
> L<-read.csv("C:/Users/CTLab/Desktop/Left.csv",head=F)
> R<-read.csv("C:/Users/CTLab/Desktop/Right.csv",head=F)
>  LL<-function(theta,L,R){
+ mu<-theta[1]
+ sigma<-theta[2]
+ logL<-sum(log(pnorm(R[,1],mu,sigma)-pnorm(L[,1],mu,sigma)))
+ return(-logL)
+ }
> res<-optim(c(1,1),LL,L=L,R=R)
错误于optim(c(1, 1), LL, L = L, R = R) : 无法用初始参数来评估函数
这个又是怎么回事啊
二维码

扫码加我 拉你入群

请注明:姓名-公司-职位

以便审核进群资格,未注明则拒绝

2015-4-6 17:12:20
应该用dnorm()(不是pnorm())
二维码

扫码加我 拉你入群

请注明:姓名-公司-职位

以便审核进群资格,未注明则拒绝

2015-4-6 17:35:40
res<-optim(c(1,1),LL,x=L)
把x=L删了,
在函数定义LL<-function(theta,L)里把形参L删了。
二维码

扫码加我 拉你入群

请注明:姓名-公司-职位

以便审核进群资格,未注明则拒绝

2015-4-6 17:36:34
soccy 发表于 2015-4-6 17:12
应该用dnorm()(不是pnorm())

似然函数就是正太分布函数,dnorm不是密度函数么?
二维码

扫码加我 拉你入群

请注明:姓名-公司-职位

以便审核进群资格,未注明则拒绝

2015-4-6 17:44:11
nuomin 发表于 2015-4-6 17:35
res
按照你说的做了还是不对,结果是
错误于optim(c(1, 1), LL) : 无法用初始参数来评估函数
二维码

扫码加我 拉你入群

请注明:姓名-公司-职位

以便审核进群资格,未注明则拒绝

点击查看更多内容…
相关推荐
栏目导航
热门文章
推荐文章

说点什么

分享

扫码加好友,拉您进群
各岗位、行业、专业交流群