经管之家App
让优质教育人人可得
立即打开
全部版块
我的主页
›
论坛
›
计量经济学与统计论坛 五区
›
计量经济学与统计软件
›
Stata专版
stata动态面板系统GMM
楼主
xukehuan
1793
1
收藏
2016-01-17
悬赏
30
个论坛币
未解决
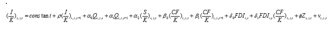
i表示地区,j表示公司,t是时间,I是投资,K是总资产,CF是现金流,FDI是金融发展指数,TQ是托宾Q,S是收入,Z代表控制变量,用的是系统GMM估计,但是不知道内生变量是哪个,模型具体怎么设定,求高人指点
扫码加我 拉你入群
请注明:姓名-公司-职位
以便审核进群资格,未注明则拒绝
全部回复
沙发
xukehuan
2016-1-17 17:40:09
在线等,着急着急
扫码加我 拉你入群
请注明:姓名-公司-职位
以便审核进群资格,未注明则拒绝
相关推荐
[求助]stata 系统GMM软件包求助
怎么用stata做系统GMM?
能不能介绍一下系统GMM及其stata的操作
stata 系统GMM回归
stata中系统GMM用什么命令来完成?
stata 做系统GMM时数据的处理
Stata的两步系统GMM的检验,请各位大大看看,指点在下,谢谢!
stata动态面板系统GMM命令
运用stata做动态面板系统GMM
用STATA做动态面板系统GMM
栏目导航
Stata专版
经管文库(原现金交易版)
经管在职研
学术道德监督
真实世界经济学(含财经时事)
爱问频道
热门文章
CDA数据分析脱产就业班于2026年3月7日开班! ...
脑机接口行业深度报告:顶层战略支持,国产 ...
天堂的证据(〔美〕埃本·亚历山大)
半导体行业分析手册之二:混合键合设备,AI ...
芜湖造船厂为我国高端船舶制造自主创新再添 ...
表格结构数据特征与CDA数据分析师:精准适配 ...
CDA 认证考试大纲 2025 重磅更新:一二级考 ...
在概率与代码之间:Agent Skills 是 AI 的枷 ...
新宏观丨豆包,传统经济学与商学对全球性债 ...
失去的三十年:平成日本经济史(【日】野口 ...
推荐文章
2026JG学术冬训营:从Stata初高到Python机器 ...
【必看】【本版版规,欢迎发悬赏贴求助】
【新课】26年3月|Gemini辅助论文写作与数据 ...
关于如何利用文献的若干建议
关于学术研究和论文发表的一些建议
关于科研中如何学习基础知识的一些建议 (一 ...
一个自编的经济学建模小案例 --写给授课本科 ...
AI智能体赋能教学改革: 全国AI教育教学应用 ...
2025中国AIoT产业全景图谱报告-406页
关于文献求助的一些建议
说点什么
分享
微信
QQ空间
QQ
微博
扫码加好友,拉您进群
各岗位、行业、专业交流群