全部版块 我的主页
论坛 数据科学与人工智能 数据分析与数据科学 R语言论坛
9506 6
2016-12-15
用R语言进行生存分析,并假设数据符合指数分布,调用的是内部的数据包,程序如下> library(survival)
> data(ovarian)
> s1<-Surv(ovarian$futime,ovarian$fustat)    #判断完全数据和截尾数据
> s1
[1]   59   115   156   421+  431   448+  464   475   477+  563   638   744+
[13]  769+  770+  803+  855+ 1040+ 1106+ 1129+ 1206+ 1227+  268   329   353
[25]  365   377+
> fit<-survreg(s1~1,dist='exponential')  #按照指数分布拟合函数,
到这里就已经拟合完了,下面是结果,可以看到参数是7.169
> fit

      Call:
      survreg(formula = s1 ~ 1, dist = "exponential")

      Coefficients:
     (Intercept)
               7.16935

       Scale fixed at 1

       Loglik(model)= -98   Loglik(intercept only)= -98
       n= 26

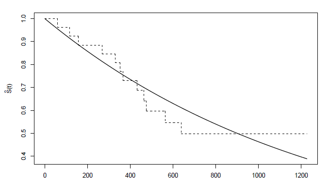
但是最后的拟合图不会画了,想知道怎么才能画出如下所示的这样的图(这是我截取的例子里面的图)
222.png

二维码

扫码加我 拉你入群

请注明:姓名-公司-职位

以便审核进群资格,未注明则拒绝

全部回复
2016-12-24 00:42:55
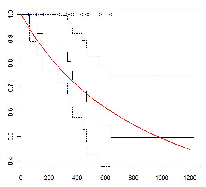
360截图20161224003556084.jpg
二维码

扫码加我 拉你入群

请注明:姓名-公司-职位

以便审核进群资格,未注明则拒绝

2016-12-24 00:45:24
复制代码
二维码

扫码加我 拉你入群

请注明:姓名-公司-职位

以便审核进群资格,未注明则拒绝

2016-12-27 15:39:36
机械唯物主义123 发表于 2016-12-24 00:45
不是要用survreg这个函数才可以完成指数分布的拟合吗?还是您这个代码里哪一步起到同样的效果?
二维码

扫码加我 拉你入群

请注明:姓名-公司-职位

以便审核进群资格,未注明则拒绝

2016-12-27 16:54:33
生存分析中,kaplan-meier plot中折现的走势依据于你的实际数据,与你所选的模型无关,你看折线中的每个拐点和图上的数据点在竖直方向上是一一对应的,不管你用什么模型,用什么转换,这个折线只反映你的真实数据
而我画的曲线则是依据你的模型参数列出方程而拟合的线
二维码

扫码加我 拉你入群

请注明:姓名-公司-职位

以便审核进群资格,未注明则拒绝

2016-12-27 16:56:45
eqn=function(time)12*time/(log(log(7.17))*14*1227+12*time)##
这就是你的曲线方程,因为你取了指数,所以我在比值比前面又加了个log,
二维码

扫码加我 拉你入群

请注明:姓名-公司-职位

以便审核进群资格,未注明则拒绝

点击查看更多内容…
相关推荐
栏目导航
热门文章
推荐文章

说点什么

分享

扫码加好友,拉您进群
各岗位、行业、专业交流群