全部版块 我的主页
论坛 休闲区 十二区 休闲灌水
2643 12
2017-07-02

经济名词术语中需求的价格弹性是什么_需求的价格弹性


需求的价格弹性概况
  需求的价格弹性在经济学中一般用来衡量需求的数量随商品的价格的变动而变动的情况。

  需求的价格弹性的计算公式是 QQ截图20170702153805.png

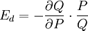
  假设Q为某个商品的需求,P为该商品的价格,则计算需求的价格弹性Ed为,

0aea8d59c624fa8d36b8083b852a3a1b.png

  其中:Ed代表需求价格弹性系数,Q表示需求量,ΔQ是需求量的变化量,P表示价格,△P是价格的变化量。

  注意:第一,将所有的百分比变动视为正数,从而去掉数值中的负号。这意味着尽管根据需求定律,需求量与价格反方向变动,但需求价格弹性均不小于零。当某产品的需求价格弹性大,即指其绝对值大。第二,注意弹性定义使用的相对变化的百分比,而非实际变化量。这意味着衡量单位的变化不会影响弹性的大小,无论以美元还是人民币衡量商品价格,需求价格弹性保持不变。第三,计算公式中的“价格”和“需求量”,通常采用平均值作为计算基础。

  使用微积分:

c8c51226ef0717f53882dfefbf3f26a1.png

通常来说,因为商品价格的下跌会导致需求数量的增加,所以一般情况下需求的价格弹性系数为负数。经济学家对此虽有所知,但是除了分析特别情况之外,并不对其感兴趣。注意,公式前的负号除了保证所算出的数字为正,并无其他特别意义。

不同的弹性程度
对于商品的不同弹性程度,我们有不同的称呼

Ed = 0:完全无弹性(perfectly inelastic)
0 < Ed <1:缺乏弹性、不富弹性,或无弹性(relatively inelastic)
Ed = 1:单位弹性、单一弹性,或恒一弹性(unitary)
当1<E_d<\infty:富有弹性(relatively elastic)
当E_d=\infty:完全弹性或完全有弹性(perfectly elastic)


二维码

扫码加我 拉你入群

请注明:姓名-公司-职位

以便审核进群资格,未注明则拒绝

全部回复
2017-7-2 16:29:18
二维码

扫码加我 拉你入群

请注明:姓名-公司-职位

以便审核进群资格,未注明则拒绝

2017-7-2 16:34:17
关注ing
二维码

扫码加我 拉你入群

请注明:姓名-公司-职位

以便审核进群资格,未注明则拒绝

2017-7-2 17:02:44
不错,帮顶下。
二维码

扫码加我 拉你入群

请注明:姓名-公司-职位

以便审核进群资格,未注明则拒绝

2017-7-2 17:17:31
二维码

扫码加我 拉你入群

请注明:姓名-公司-职位

以便审核进群资格,未注明则拒绝

2017-7-2 17:18:08
大家有什么好看法,赶快说说
二维码

扫码加我 拉你入群

请注明:姓名-公司-职位

以便审核进群资格,未注明则拒绝

点击查看更多内容…
相关推荐
栏目导航
热门文章
推荐文章

说点什么

分享

扫码加好友,拉您进群
各岗位、行业、专业交流群