如何理解金融理论中的机会限制模型_机会限制模型
什么是机会限制模型
机会限制模型最早由Charnes和Kirby提出。在他们的论文里,将未来的存款与贷款支出看作是联合分布的随机变量,以资本充足率公式作为机会限制。该模型的缺点是,违背约束的情况并没有根据其数量给予惩罚。Charnes等将该方法应用于资产负债表的管理,另外两篇文章用该模型对保险公司的资产组合进行分析。
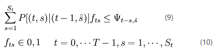
Dert在指定收益年金领域将该模型发展为多阶段机会限制模型(Multistage chance-constrained ALM model),与Charnes和Kirby不同的是,该作者以场景模拟不确定性而不是作分布假设。以该模型为例,该这个模型的目标函数是,在失去偿付能力的风险水平可以接受、确保及时支付指定收益的能力的稳定性的限制下实现筹资成本最小。其中偿付能力要求为基金剩余负债与相应偿付能力比率的乘积(即下述模型限制7),资产价值低于要求的水平通过场景设定模拟(限制8、9、10)。
机会限制模型的内容
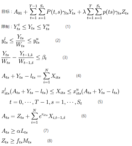
整个模型如下:
其中:

,T为时间段;

为设定的状态;

为资产类别;
α:预定投资水平;
βt:时刻t每阶段作为工资成本部分的缴费的最大上涨幅度;
γts:状态s下时间t的现金流量折扣因子;
lts:状态s下时间t时基金的收益支付和成本;
Lts:状态s时间t时的精算准备金(actuarial reserve);
λ:对补救缴费进行惩罚的惩罚参数;
rits:状态s时间t时投资在 类资产的连续回报;
Mts:状态s时间t时的大的常量;
Wts:状态s下t时段的工资成本;
Ats:状态s时间t时在接收到缴费及作收益支付前时的资产价值;
fts:二项分布变量,表示状态s时间t时是否需要补救的缴费;
Ψts:给定状态s和时间t时在时间t+1时资金不足的概率;
Xits:状态s时间t时投资在资产i上的总金额;
xits:状态s时间t时投资在资产i上的比例;
Yts:状态s下t时段的正常缴费;
yts:状态s下时段t的正常缴费占工资成本的比例;
Zts:状态s时间t时的补救缴费。
开始三个限制条件分别限制了正常缴费量、占工资成本的比例及其最大上涨幅度。在收到正常缴费及做出收益支付后,资产价值由(4)式重新分配,(5)式给出了重新分配资产组合的上下界。通货膨胀、工资水平的上涨及资产回报的场景由向量自回归模型模拟给出,其特征以马尔可夫链模拟。