全部版块 我的主页
论坛 经济学论坛 三区 微观经济学
3030 3
2017-11-14

比较优势的数学模型是什么

设1国在1产品上需要F11的劳动来生产1单位的产品,1国在2产品上需要F12的劳动来生产1单位的产品;2国在1产品上需要F21的劳动来生产1单位的产品,2国在2产品上需要F22的劳动来生产1单位的产品。设1国在1产品上使用的劳动为x1,1产品的产出为x1/F11,在产品2上的劳动为F11+F12-x1,2产品的产出量为(F11+F12-x1)/F12。设2国在1产品上使用的劳动为x2,1产品的产出为x2/F21,在产品2上的劳动为F21+F22-x2,2产品的产出量为(F21+F22-x2)/F22(如表6-15所示)。

6-15 基于力量分析的比较优势

表6-15.jpg

公式1.jpg

上式是关于x1和x2的2维函数,当x1和x2的系数异号时,则正数的系数取最大值,负数的系数取0,则可得到函数F(x)的最大值,这是李嘉图比较优势例子的情况,此时两个各自专业化,总产出最大,并且满足帕累托最优。当x1和x2的系数同号时,此时的情况是李嘉图比较优势的反例,两国采取专业化时,不满足帕累托最优的限制。

下图给出了不同情况下的两个国家在满足帕累托限制下,为了总产出最大化,两国应该采取的策略(如表6-16所示)。

6-16 优化方法下的2国策略

表6-16.jpg

当两个国家的系数为不同号时,正号的国家采取在1产品上专业化,负号采取在2产品上采取专业化,两个可以达到产出最大化。

当两国的系数都是正号时,系数小的国家采取专业化,系数大的国家采取在两个产品上非专业化。当两个的系数都是负号时,系数大的国家采取专业化,系数小的国家采取在两个产品上非专业化,可以在满足帕累托最优的条件下,获得产出最大化(如表6-17所示)。

6-17 优化方法下2国策略的实例

表6-17.jpg

当两国系数均为正时,系数小的国家应该采取专业化,系数大的国家采用非专业化。

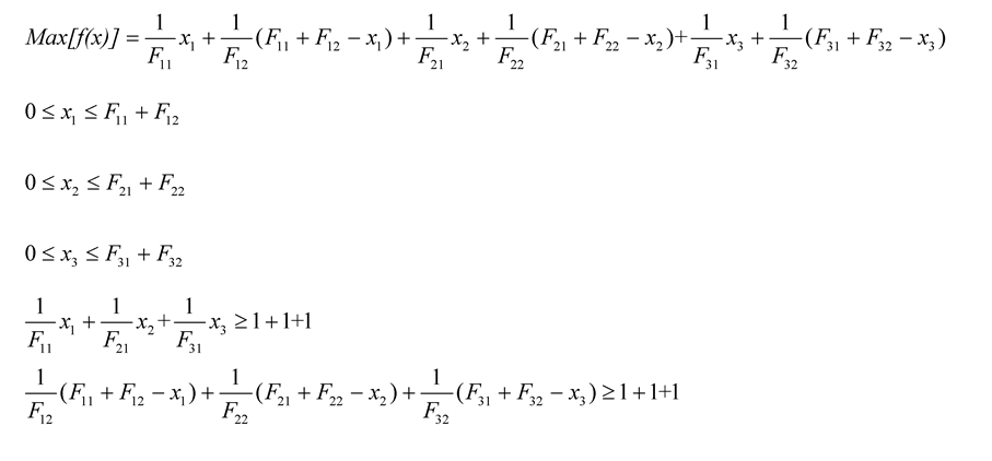
当有三个国家生产两种产品时,函数如下。

公式2.jpg

三国生产两种产品的例子如下(如表6-18所示)。

6-18 优化方法下3国策略的实例

表6-18.jpg

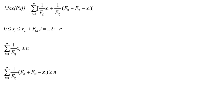
当有n国生产2种产品时,可以写出类似的带约束的函数,

公式3.jpg

此函数可以为几十,几百,几千上万维,没有限制,并且此函数有最优解,可以通过优化算法进行求解。

当n等于11时,即11国家生产两种产品时的例子如下(如表6-19所示)。

6-19 优化方法下11国策略的实例

表6-19.jpg

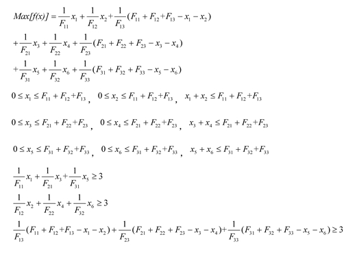
当多个国家生产多种商品时,也可以类似的给出有约束的函数,然后进行优化求解。比如三个国家生产三种产品。带约束的函数如下

公式4.jpg

三国生产三种产品的例子如下(如表6-20所示)。

6-20优化方法下3国生产3种产品策略的实例

表6-20.jpg

在广义动量定理Fαt=nmV中,不同的力量F会产生不同的成果nmV,李嘉图的例子是一个静态的例子,没有时间因素。比如英国需要120的劳动量来生产1单位的葡萄酒,葡萄牙需要80单位的劳动来生产1单位的葡萄酒。谁更有效率或者成本更低呢?在没考虑时间的因素下,葡萄牙更有效率,劳动成本更低。而考虑时间因素,则结果就不一定了。比如英国需要120人的劳动和10天时间就能生产1单位的葡萄酒,而葡萄牙需要80人的劳动和20天才能生产1单位的葡萄酒。英国生产1单位的葡萄酒需要1200人天,葡萄牙需要1600人天,英国的付出更少。

可以量化的经济学.jpg

《可以量化的经济学》全书结构

《可以量化的经济学》效果图 - 副本 (2).jpg

《可以量化的经济学》封面


二维码

扫码加我 拉你入群

请注明:姓名-公司-职位

以便审核进群资格,未注明则拒绝

全部回复
2017-11-14 09:09:49
厉害了
二维码

扫码加我 拉你入群

请注明:姓名-公司-职位

以便审核进群资格,未注明则拒绝

2018-12-9 22:51:39
这个书不错,很前沿
二维码

扫码加我 拉你入群

请注明:姓名-公司-职位

以便审核进群资格,未注明则拒绝

2018-12-12 08:14:44
ggy5710653 发表于 2017-11-14 08:00
比较优势的数学模型是什么 设1国在1产品上需要F11的劳动来生产1单位的产品,1国在2产品上需要F12的劳动来 ...
厉害
二维码

扫码加我 拉你入群

请注明:姓名-公司-职位

以便审核进群资格,未注明则拒绝

相关推荐
栏目导航
热门文章
推荐文章

说点什么

分享

扫码加好友,拉您进群
各岗位、行业、专业交流群