经管之家App
让优质教育人人可得
立即打开
全部版块
我的主页
›
论坛
›
计量经济学与统计论坛 五区
›
计量经济学与统计软件
›
EViews专版
在eviews里面如何用kalman filter做变系数vecm
楼主
perphyzhao
1037
0
收藏
2018-06-26
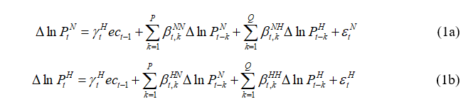
做常系数vecm确定的滞后阶数为3,如何输入量测方程和状态方程
模型设置如下:
(1a)
(1b)
附件列表
QQ截图20180626201045.png
原图尺寸 7.9 KB
扫码加我 拉你入群
请注明:姓名-公司-职位
以便审核进群资格,未注明则拒绝
相关推荐
[求助]滞后阶数是如何确定的啊???
VAR 模型关于滞后阶数的?谢谢
关于AIC和SC准则判断最小滞后阶数的标准
怎么确定最优滞后阶数
用AIC,SC准则判断滞后阶数时,为什么滞后阶数越大,AIC,SC的值越小?
滞后阶数信息判别准则
滞后阶数问题,求大神指点
模型滞后阶数的选择
确定AR、MA的滞后阶数
滞后阶数
栏目导航
EViews专版
管理信息系统
金融实务版
经管高考
文献求助专区
经管文库(原现金交易版)
热门文章
国家新纪元:人工智能时代的力量与优势
大势与抉择:关键趋势20讲(马江博)
CDA数据分析脱产就业班于2026年3月7日开班! ...
参数估计:CDA数据分析师的核心推断工具,用 ...
通用指标与场景指标:CDA数据分析师的核心分 ...
GeoSaaS永久会员版
全国国土利用现状、耕地、园地、林地分布等 ...
2024年合集 ESG评级数据大全(彭博 华证 Wi ...
脑机接口行业系列报告:Neuralink带来的启示 ...
技术趋势2026
推荐文章
2026JG学术冬训营:从Stata初高到Python机器 ...
【必看】【本版版规,欢迎发悬赏贴求助】
【新课】26年3月|Gemini辅助论文写作与数据 ...
关于如何利用文献的若干建议
关于学术研究和论文发表的一些建议
关于科研中如何学习基础知识的一些建议 (一 ...
一个自编的经济学建模小案例 --写给授课本科 ...
AI智能体赋能教学改革: 全国AI教育教学应用 ...
2025中国AIoT产业全景图谱报告-406页
关于文献求助的一些建议
说点什么
分享
微信
QQ空间
QQ
微博
扫码加好友,拉您进群
各岗位、行业、专业交流群