经管之家App
让优质教育人人可得
立即打开
全部版块
我的主页
›
论坛
›
金融投资论坛 六区
›
金融实务版
讨论未来现金流折现估值
楼主
buffutt
13623
3
收藏
2010-10-28
本帖目的就是和熟悉DCF或正在学习DCF的朋友讨论DCF估值!以后内容为转载什么是现金流量折现法
现金流量折现法
:是对企业未来的
现金流量
及其
风险
进行预期,然后选择合理的
贴现率
,将未来的
现金流量
折合成
现值
。使用此法的关键确定:第一,预期企业未来存续期各年度的现金流量;第二,要找到一个合理的公允的
折现率
,折现率的大小取决于取得的未来现金流量的风险,风险越大,要求的折现率就越高;反之亦反之。
在实际操作中现金流量主要使用
实体现金流量
和
股权
现金流量。实体现金流量是指企业全部
投资人
拥有的现金流量总和。实体现金流量通常用
加权平均资本成本
来折现。
股权现金流量是指实体现金流量扣除与
债务
相联系的现金流量。股权现金流量通常用
权益资本成本
来折现,而权益资本成本可以通过
资本资产定价模式
来求得。
[
编辑
]
现金流量折现模型 价值
其中:n为资产的年限;
C
F
t
为t年的现金流量;
r为包含了预计
现金流量风险
的折现率。
[
编辑
]
现金流量折现法运用前提
[1]
现金流量折现法是建立在
完全市场
基础之上的,它应用的前提条件是,企业的经营是有规律的、并且是可以
预测
的,包括:
(1)
资本市场
是有效率的,资产的价格反映资产的价值。企业能够按照资本市场的
利率
,筹集足够数量的
资金
资本市场可以按照
股东
所承担的市场
系统风险
提供
资金报酬
。
(2)企业所面临的经营环境是稳定的,只要人们按照科学程序进行预测,得出的结论会接近企业的实际,即科学的预测模型可以有效防止经营环境的不确定因素,从而使预测变得更加科学。
(3)企业的经营是不可逆的,
企业投资
、
融资决策
具有不可更改性,一旦做出
决策
,做便无法更改。同时企业满足
持续经营假设
,没有特殊情况,企业将无限期地经营下去。
(4)投资者的估计是无偏差的,投资者往往都是理性的投资者,可以利用一切可以得到的企业信息进行
投资决策
,对于同一企业,不同的投资者得出的结论往往是相同的。
[
编辑
]
现金流量折现法的局限性
[1]
由于目前的现金流量折现方法存在种种假设前提,而现实的资本市场和投资者素质往往无法达到其要求的条件,因此在利用现金流量折现方法进行评估时会出现各种问题,主要表现在:
(1)没有反映现金流量的动态变化由于企业的现金流量时刻处干变化之中,而且现金流量是时间、
销售收入
等参数的变化函数,必然导致依赖于现金流量的
企业价值
也处于动态变化之中。但是在前面的评估模型中,忽视了现金流量的动态变化,单单依靠线性关系来确定现金流量,使评估结果更多地表现为静态结论。
(2)不能反映企业财务杠杆的动态变化由于企业在经营中会根据环境的变化而改变企业的举债数额和
负债比率
,引起
财务杠杆
的波动,从而使企业的风险发生波动。一般情况下,这种风险的变化要在现金流量或者折现率中得到反映。但是目前的评估模型只是从静止的观点进行价值评估,忽视了这种财务杠杆和
财务风险
的变化。
(3)现金流量的预测问题
目前的
现金流量预测
是将现金流量与销售收人和
净利润
的增长联系起来,虽然从表面上看两者具有相关性,但是在实际中,净利润与现金流量是相关的,这其中主要是企业对
会计政策
的调整以及
避税
等手段的运用,出现净利润、销售收人与现金流量不配比的现象。现金流量的波动与企业的经营活动、战略
投资计划
和
筹资
活动中,影响现金流量的是付现销售收入和付现
销售成本
,因此,在具体预测现金流量时,应该以付现的收人和
成本
为基础,而不应该以销售收入为基础。
(4)折现率的确定问题
目前的评估方法,对折现率的选取一般是在企业
资金成本
的基础上,考虑财务风险因素选取的。在具体评估企业价值时,一般会以静止的方法确定折算率,以目前
资本结构
下的折现率进行
企业价值评估
,即折现率是固定的。但是在实际中,由于企业经营活动发生变化,企业的资本结构必然处干变化之中,导致企业风险出现变化,进而影响到资本结构中各项资金来源的权重,导致折现率的波动,从而引起企业价值评估结果出现变化。
为了克服上述缺陷,必然要对现有的现金流量折现评估模型进行分析、改进。对现金流量的预测要考虑其动态波动性,要分析财务风险变化对企业价值评估的影响,由于预测数据直接影响评估结果是否客观和准确,影响到评估价值的高低,因此必须慎重。
[
编辑
]
现金流量折现法下的企业估价分析
[2]
企业估值就是对
持续经营
中的企业的经济价值进行的
计量
,其目的是帮助投资者和
管理
当局制定和改善决策。企业估值是
现代金融学
的重要组成部分,自20世纪80年代以来,随着
经济金融化
的不断发展和深入,企业价值理论已成为西方
企业管理
的核心内容。对企业进行估值是企业一切
金融政策
的前提和依据,对于
企业管理者
而言,在进行投资与融资决策之前,要对企业价值进行评估,采纳可使企业价值达到最大化的
财务决策
,对于投资者而言,做出是否投资于某企业的依据是对该企业的估值。Pabfo(2001)把企业估值的用途归纳为以下方面:确定企业
首次发行
(
IPO
)的价格;
设计价值
创造基础上的
激励
项目;确定主要的
价值创造
来源;为企业持续经营中的
并购
行为提供决策参考,帮助制定阶段性计划;用于企业的买卖动作,并为
行业整合
提供价值基础;对
上市公司
估值,以确定是否持有
股票
,寻找被市场
低估
的企业进行
套利
投资。本文主要介绍现金流量折现法在企业估值中的应用。
一、现金流量折现模型
价值
其中:n为资产的年限;
C
F
t
为t年的现金流量;
r为包含了预计现金流量风险的折现率。
公司价值一词有两个涵义:一是公司的股权价值,即对公司
普通股
股东而言公司的价值;二是包括
普通股
、
优先股
、
债权
等公司的整体价值,即对公司普通股股东、优先股股东和
债权人
这些公司的
利益相关者
而言的公司价值。公司价值的涵义不同使得模型中的折现率和现金流也不同。
一是企业估价模型。企业价值是通过对企业的预计现金流以加权资本成本进行折现来计算的。企业预计的现金流是满足了所有运营费用和
税收
、
资本支出
,但在债务支付之前的剩余现金流。它将用于满足所有投资者分配的需要,包括支付债券人
利息
和
本金
,支付给股东
股利
及
股票回购
等。
公司价值=
其中:CF为公司现金流
二是股权估价模型。股权价值的取得是通过对股权的预期现金流以股权的成本即公司
股权投资
所要求的回报率进行的折现。根据资产索偿权的次序,股东只能对债权人履行债权后的剩余资产进行分配,是索偿权的最后一个分配环节,现金流量首先在满足企业所有费用、资本支出、税务义务、本金以后才能属于股权持有人,股权现金流量=企业现金流量-债权人现金流量。为了和股权现金流相匹配,折现率选择股权资本成本。
股权价值
SCF:为股权现金流量
CEP:为权益资本成本
以上两个模型在使用中应特别注意现金流和折现率的匹配使用,如果股权现金流以
加权平均资本成本
折现将导致对股权价值的高估(因为
债务成本
小于权益成本,所以加权成本小于权益成本),而如果以股权成本对公司现金流进行折现将导致对公司价值的低估偏差。
二、折现率
在预测未来现金流的时候往往根据企业预算的
财务报表
进行计算,而预算
报表
是以
销售预算
为起点的,根据前几年的销售情况来确定未来的
销售增长率
。考虑到加权资本成本,本文从股权成本、债权成本、资本结构三个方面来估算折现率。
(1)股权成本。股权成本是投资者向一个公司投资所要求的回报率,
股利增长模型
、风险和回报模型是估计股权成本的两种方法,如资本资产定价模型。
R
i
=
R
f
+ β(
R
m
−
R
f
)
R
f
为
无风险报酬率
,一般选择
国库券
或国内一年期央票利率;
R
m
为平均风险股票
必要报酬率
;β为股票的beta值;β表示该股票相对于
市场风险
溢价
的倍数。该模型的关键是β的确定。估计β的过程是根据历史资料将股票回报(
r
i
)对市场回报(rm)做回归,求出β。以历史数据来估计投资者对该股票风险的厌恶程度即β值时,需要假设投资者长期以来以系统风险的方式保持风险的厌恶程度没有变,
股票指数
(风险组合)的风险性在测算期或将来没有改变。另外,还应该对β值进行分解,β值是企业超过市场风险的倍数,β越大说明投资者认为企业的风险也越高。从
经营风险
上看,如果一个公司的
成本结构
中
固定成本
的比率越高,其经营风险越高,该公司的β就越高;从财务风险看,公司采用的
负债
越多,公司的财务风险也就越大,公司的β值也越高。通过分析来调整β,使其更接近真实值。根据取得的β值,预测未来的每期或长期的无风险报酬率和市场报酬率,带入资本资产定价模型,即可求出每期或长期的股权成本。
(2)
加权平均资本成本
。
加权平均资本成本=负债额占总资本的比重×税前
债务资本成本
×(1-所得税税率)+股票额占总资本比重×股权成本
税前债务资本成本取决于未来债务的利率、
税率
、发行溢价,如果没有进一步的数据,债务成本经常以目前的负债情况来进行计算。
三、未来现金流量的预测
企业现金流量是指一定时期内产生的潜在地可供股东和债权人分配的现金流量,其中包括可以支付给投资者的
现金股利
或股票回购
现金
;可以支付给债权人的利息或本金。现金流量是企业在满足经营生产需要支付了各种税费(不包括支付利息和本金),经营资产投入,资本投资后剩余的现金流量,可以供股东和债权人使用,但是这并不意味着这些
自由现金流量
会在满足债权人需要后,就能够以股利的形式发放给股东,为了满足不时之需,多数公司实际支付的股利金额都低于他们能够支付的金额,管理层偏向于持有流动储备以便于灵活管理。企业现金流量是债权人尚未分配的现金,因此在计算中不应扣减
利息费用
,所以选择息
税后利润
;
权责发生制
下收入费用的计量与实际收付现金在时间上的不一致,造成息税后利润中扣减了没有实付的费用,如
折旧
与
摊销
,在计算现金流量时应将这些不需支付的费用加回,同时企业以往的应收应付款、为了扩大
生产能力
而进行的资本支出并不在
利润
中反映,因此自由现金流的计算应考虑
营运资本
增加和资本支出的影响。
企业现金流量=
息前税后利润
+折旧与摊销-营运资本增加-资本支出
股权现金流是指在一定时期内产生的潜在的可供股东分配的现金流量,其金额等于
企业自由现金流量
减去债权人自由现金流量,即企业自由现金流量在债权人进行分配后的余额。严格意义上看,对于
公众公司
的股权投资的投资者所能获得的唯一现金流是这一股票将支付的股利。但事实上的股利是由公司的经理层决定的,比可以支付的股利要低的多,当事实上的股利比可以支付的股利少时,使用股利作为
变量
将低估公司股权的真实价值。
股权现金流=息前税后利润+折旧与摊销-营运资本增加-资本支出-
债务人
现金流
债权人现金流=利息支出+偿还债务本金-新借债务
股权价值
SCF:为股权现金流量
CEP:为权益资本成本
CEC:股权资本成本
PGR:永续增长率
评估企业稳定期前的年份,即公式中的n,需要根据行业发展趋势、全球经济背景以及公司
竞争优势
来作出判断。70年代后期,人们对基于现金流量折现法的企业估值思想的批评越来越多,认为这一方法在很多情况下会导致对企业价值的低估,忽视了
管理者
根据环境变化调整项目的
弹性
,当环境变化时取消项目或扩张项目的情况没有予以考虑。在现实情况下,管理者可以根据具体的
市场环境
作出灵活决策,而现金流量不能反映这种灵活性的价值,在高度不确定性的环境下不能对企业进行正确的估值。因此,许多学者提出用期权方法对企业进行估值,特别是对于高度不确定性的企业和项目,如研究开发项目、创业企业、高科技企业等,这一方法也为我们从另一角度来探讨企业估值提供了有益的思路。
[
编辑
]
现金流量折现法在企业中的运用
[3]
所谓价值评估,指买卖双方对标的做出的价值判断。在
企业并购
活动中,对
目标企业
的估价是决定交易是否成交的价值基础。
目标企业
估价主要取决于并购企业对其未来收益的大小和时间的预期。其本质上是一种主观判断,但并不是可以随意估价,而是有一定的科学方法可依据的。企业一般可以使用多种方法对目标企业估值。现金流量折现法是一种理论性较强的方法,它是以现金流量预测为基础,充分考虑了目标企业未来创造现金流量能力对其价值的影响,在崇尚“现金至尊”的现代
理财环境
中,对企业并购决策具有现实的指导意义。现金流量折现法中,沃斯顿(weston)模型估价法是最具代表性的一种估价方法,目前在欧美国家企业并购活动中已得到广泛采用。
用
现金流量法
折现评估目标企业价值,同一般
资本预算
分析相似:估计
兼并
后增加的现金流量和用于计算这些现金流量现值的折现率,然后计算出这些增加的现金流量的现值,这就是兼并方所能支付的最高价格。如果实际
成交价格
高于这个价格,兼并不但没有给兼并企业带来好处,反而引起亏损。
一、
现金净流量
NCF=X(1-T)-I
其中:NCF——
现金净流量
;
X——
营业净收入
(
NOI
)或
税前息前盈余
(
EBIT
);
T——
所得税率
;
I——投资。
二、
折现率
在现金流量折现模型中,折现率是考虑
投资风险
后,兼并方要求的最低
收益率
,也就是该项投资的
资本成本
。但这里的资本成本是兼并
企业投资
于目标企业的资本的
边际成本
,而不是兼并方企业资本的成本。兼并目标企业所用的资本,一部分来自兼并企业和被兼并企业的
自有资本
,另一部分则是兼并企业和被兼并企业向外界举债。
自有资金
的成本可用
资本资产定价模式
(
CAPM
)求得,而
债务成本
则可用债务利息经税务调整后的
有效利率
得到。最后,该项投资的资本成本就是这2 者的加权平均,也就是平均资本成本(WACC),即:
W
A
C
C
=
K
=
K
s
(
S
/
V
) +
K
b
(1 −
T
)(
B
/
V
)
其中:B——企业向外举债;
S——企业动用自有资金数量;
V——企业的市场总价值;
Ks——企业股东对此次投资要求的收益率;
Kb——债务的利率;
T——兼并后企业的
边际税率
。
三、目标企业的价值评估——
沃斯顿模型
(Weston)
目标企业的价值一般可用未来收益的现值表示,其计算公式为:
其中:FV——目标企业在第n期末的价值;
V
o
——
企业价值
;
N
C
F
t
——第t年的现金净流量;
K——资本边际成本;
n——年数,即投资期限。
在现实生活中,几乎每个企业都会随着其生命周期的起伏而经历不同的成长阶段:企业早期的成长率高于整个经济体系成长率;企业中期的成长率等于经济体系成长率;而企业晚期的成长率显然低于整个经济体系成长率。沃斯顿模型建立在企业经历零增长时期的假定基础之上,模型虽然简单,但经过变更后却能适应企业各种不同成长形态的需要,其中最常用的有3个基本模型。
这3个基本模型是:
零增长模型
;
固定比率增长模型
;
超常增长模型
。
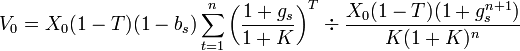
(一)
零增长模型
:
(二)
固定比率增长模型
:
(三)
零增长后超常增长模型
:
式中:X——
营业净收入
(NOI)或
息税前盈余
(
EBIT
);
g
s
——营业净利或息税前盈余增长率;
k——加权资金成本
b
s
——税后
投资需求
或投资机会;
n——增长持续期;
T——
所得税率
。
[
编辑
]
现金流量折现法举例
[3]
A企业是一个以生产起重机为主的设备制造企业,由于内部盈利率低和投资机会缺乏,决定收购某企业,以实现有利投资机会与获利的增长。在众多企业中,A企业选择了B、C两企业,其中B企业是一家通讯设备生产企业,在
市场开发
和产品研究上颇具实力,有着很高的盈利率和众多的投资机会;C企业是一家软件
生产厂商
,其盈利率高于B企业。有关资料如表1.
表1
基本资料
每股价值
市盈率
总股本
负债权益比率
贝他系数
盈利率
投资率
增长率
A企业
10
5.4
5
0.3
1.2
0.04
0.1
0.004
B企业
40
11.7
1
0.3
1.4
0.12
1.5
0.18
C企业
40
9.88
1
0.3
1.6
0.14
1.0
0.14
补充资料包括:
无风险报酬率
(
Risk-free Rate
)为6%(
R
F
),期望市场报酬率为11%(
R
M
),
负债利息率
为10%,所得税率为50%,超常增长时期为10年。
根据以上资料,可以编制3个企业的简易
资产负债表
(见表2)
表2
收购前的资产负债表 (单位:百万元)
A
B
C
负债
15
12
12
所有者权益
50
40
40
总资产
65
52
52
用内部盈利率除以(1-所得税率),然后乘以总资产,即可得出营业净收入,继而求出每股市价和资产总市价,其计算过程如表3.
表3
每股市价
A
B
C
1.总资产
65
52
52
2.盈利率r÷(1-T)
0.08
0.24
0.28
3.营业净收入
5.2
12.48
14.56
4.负债利息
1.5
1.2
1.2
5.
税前利润
3.7
11.28
13.36
6.
所得税
1.85
5.64
6.68
7.税后净利
1.85
5.64
6.68
8.
普通股
股本
5
1
1
9.普通股
每股盈余
0.37
5.64
6.68
10.
市盈率
5.4
11.7
9.88
11.每股市价⑼×⑽
2
66
66
12.资产总市价⑾×⑻10
66
66
表4
收购对A企业每股盈余的影响
A与B
合并
A与C合并
1.新增加股本
33
33
2.已有普通股本
5
5
3.总普通股本
38
38
4.税后净利
5.64
6.68
5.加:A企业税后净利
1.85
1.85
6.总税后净利
7.49
8.53
7.每股盈余⑹÷⑶
0.197
0.224
8.减:A企业原每股盈余
0.37
0.37
9.影响程度
(0.173)
(0.146)
10.冲稀比率⑼÷⑻
47%
39%
用自然对数回归的方法可以确定NOI和
g
s
、b,计算结果如表5.
表5
自然对数回归法的分析结果
NOI
b
g
s
A收购B
18
0.9
0.14
A收购C
16
0.9
0.13
下面即利用估价公式进行分析:
(一)计算收购后的
资金成本
对于每种方案,以收购前每个企业资产总市价占两个企业总市价的比例为权数对每个企业的贝他
风险系数
加权,计算综合贝他风险系数(β系数),由贝他系数即可得出收购后的资金成本。
K
s
(
A
B
) =
R
F
+ [
R
M
−
R
F
]β
A
B
(二)用债务成本与资金成本,求收购后的加权平均资金成本(WACC)
表6
收购后的资产负债表
AB
AC
负债
(B)
27
27
所有者权益(S)
76
76
总资产
(V)
103
103
W
A
C
C
=
K
=
K
s
(
S
/
V
) +
K
b
(1 −
T
)(
B
/
V
)
根据估价公式,将上述已知变量分别代入,求出收购后价值。
=10.57+126.44=137.01
(三)利用计算结果,将两方案进行比较(见表7)
表7
两种方案比较表
AB
AC
收购后的价值
137
98
减:
负债总额
27
27
所有者权益
110
71
减:A企业收购前价值
10
10
收购后所有者权益增值
100
61
减购买市价
66
66
收购利得(损失)
34
(5)
比较结果显示,收购B企业带来3 400万元的收益,而A、C企业的合并却发生500万元的收购损失。尽管这一计算过程存在一定的误差,但它至少可以证明A企业收购B企业较收购C企业更为理性、科学。
本法为企业收购决策提供了一种更为简洁的估价方法,收购企业为达到理性收购,必须估计合理的
投资报酬率
与风险;对不同的收购方案进行比较以检验不同的
市场战略
和环境因素的结合对企业价值产生的影响。
[
编辑
]
现金流量折现法的注意要点 现金流量折现法应注意的两点:
第一,由于未来收益存在不确定性,发行价格通常要对上述每股净现值折让20%-30%。
第二,用现金流量折现法定价的公司,其市盈率往往高于市场平均水平,但这类公司发行上市时套算出来的市盈率与一般公司发行的市盈率之间不具可比性。
[
编辑
]
现金流量折现法的价值
[3]
现金流量折现法是资本投资和资本预算的基本模型,被看做是企业估值
定价
在理论上最有成效的模型,因为企业的经济活动就表现为现金的流入和流出。由于有坚实的基础,当与其他方案一起使用时,现金流量折现法所得出结果往往是检验其他模型结果合理与否的基本标准。
现金流量折现法的原理比较简单,它是通过权衡为收购而投入的现金量这一投资所有未来能产生的净现金量和时间(扣除
折旧
、营运需要等)来计算的。这一计算可得出
内部收益率
(IRR),即现金流入量现值等于
现金流出量
现值时所得到的内涵折现率。
另外,未来现金流量也能折算成现值并与原始投资比较。这一计算得出的是
净现值
(
NPV
),即在现值条件下支出和预期金额之间的差。
不管是内部收益还是净现值,折现现金流量都要求估算出一个最终的价值额(利用不同的增长模型),年限一般是7~10年以上。
现金流量折现法的主要缺点就是其对现金流量估计和预测的固有的不确定性。由于必须对许多的有关市场、产品、定价、竞争、管理、经济状况、利率之类作出假定,准确性因而减弱。不过,在每次并购中,人们都应该使用现金流量折现法。因为它把注意力集中到最重要的假定和不确定性上,尤其是将它用于为买方确定最高定价时,其结果具有重要的参考价值。
现金流量折现法是西方
企业价值评估
方法中使用最广泛、理论上最健全的方法,而在我国企业价值评估中也受到一定的限制。现金流量折现法中要求对未来现金流量做出预测,而我国现行的
企业会计制度
很难准确地做到这一点。从理论上讲只有当市场完善,会计制度健全,
信息披露
能够较为真实的反映企业的过去和现状时,运用这种方法才最为合理。虽然我国目前还没有达到理想的适用条件,但不论是理论界还是实务界都已经开始尝试这种方法。从长远发展趋势看鼓励这种方法的运用
扫码加我 拉你入群
请注明:姓名-公司-职位
以便审核进群资格,未注明则拒绝
全部回复
沙发
bruceli513
2015-1-31 21:14:41
虽然是五年前的帖子,但是确实引领我来到论坛的第一帖,因此必须顶起来,好好学习
扫码加我 拉你入群
请注明:姓名-公司-职位
以便审核进群资格,未注明则拒绝
藤椅
′末日の未了丶
2015-11-17 15:25:47
扫码加我 拉你入群
请注明:姓名-公司-职位
以便审核进群资格,未注明则拒绝
板凳
颜大靖
2016-7-18 10:26:39
thank u so much !!!!!
扫码加我 拉你入群
请注明:姓名-公司-职位
以便审核进群资格,未注明则拒绝
相关推荐
公司的净资产和用现金流折现得到的现值有什么不同吗?
期权定价当然可以用现金流折现
【请问】关于现金流折现法计算问题
求教一个关于现金流折现的问题
beta系数与现金流折现率wacc的联系
现金流折现公式
现金流折现公式
现金流折现公式
债券久期凸度的计算式基于净价还是全价?
请问股息和现金流折现模型的矛盾之处?
栏目导航
金融实务版
经管留学
经管文库(原现金交易版)
行业分析报告
学道会
经济史与经济思想史
热门文章
CDA数据科学研究院发布《2026 全球数智化人 ...
ChatGPT Images 2.0震撼发布:AI不再只画画 ...
CDA数据分析脱产就业班在2026年3月7日开班了 ...
二次元开放世界游戏,席卷全球,新潮将至-- ...
2026年中国氢能产业发展白皮书
AI Hermes agent安装操作步骤附原生态Herme ...
来自星星的他到底有多聪明-计算机之父《冯诺 ...
CAIE LEVEL Ⅰ考试更新说明(2026年4月)
从“数字”到“数据”:CDA数据分析师视角下 ...
CDA 认证考试大纲 2025 重磅更新:一二级考 ...
推荐文章
五一充电,学术突围!四大AI赋能王牌课程, ...
关于学术研究和论文发表的一些建议
几种免费下载文献的方法----我的文献应助经
【必看】【本版版规,欢迎发悬赏贴求助】
【新课】26年3月|Gemini辅助论文写作与数据 ...
关于如何利用文献的若干建议
关于科研中如何学习基础知识的一些建议 (一 ...
一个自编的经济学建模小案例 --写给授课本科 ...
AI智能体赋能教学改革: 全国AI教育教学应用 ...
2025中国AIoT产业全景图谱报告-406页
说点什么
分享
微信
QQ空间
QQ
微博
扫码加好友,拉您进群
各岗位、行业、专业交流群