全部版块 我的主页
论坛 经济学论坛 三区 教育经济学
8576 54
2012-12-17
<Does attending elite colleges pay in China>的讨论。前面的三次讨论:
(1) https://bbs.pinggu.org/thread-2153086-1-1.html
(2)https://bbs.pinggu.org/thread-2153618-1-1.html
(3)https://bbs.pinggu.org/thread-2154373-1-1.html

本次讨论分为三个部分【在同一个帖子之内】:
第一部分:看基本结构和基本结论
第二部分:他讨论具体数据和计量技术
第三部分:大家对研究细节的探讨。

第一部分:看基本结构和基本结论

研究动机:211学校是国家创新的重要变量;而98年大学扩招之后,对教育质量的研究则有待挖掘。

本文学校样本:211学校呵呵,谢谢之前有人对985211的澄清,我本人对这两个划分的确不清楚】

教育回报研究标准:wage premium【呵呵,的确如大家所说,缺乏非工资性的衡量;如果样本足够大,的确是可以研究创业/公务员等的子样本研究】

本文利用中国2010年大学毕业生数据,发现:

·        只控制是否属于211学校,精英大学毕业生的毛收益率高达26.4%;

·        继续控制了高考分数,专业,学校位置,毛收益率高达20.4%;【点评:基本上各位网友都讨论到,尤其是争议很大的高考分数】

·        继续控制个人特征(性别和年龄),家庭背景(父亲教育程度、父母收入、父母政治身份,是否当地居民,入学前户口,兄弟姐妹数)之后,该收益率降为10.7%。【点评:各位网友基本讨论到,但是家庭收入、当地居民、入学前户口、兄弟姐妹书并无人提及;这个类似“出身”的控制,基本上将收益率拦腰斩断:举个很粗扩例子,来自外省农村、非独生子女的普通家庭学生,要比当地城市户口的学生,月工资低500元左右(假设平均工资5000元/月)】

·        对于父亲教育水平较高的女性学生,工资溢价更大;【点评:有人能直觉解释一下么?】

·        在精英大学的人力资本和经验积累(大学英语考试,是否党员,学生社团领导,专业证书,兼职工作经验),则基本上解释了工资溢价的大部分(点评:正如大部分网友所言,名校的确提供了更好的平台,让其学生有更好的人力资源积累)。

因此,在中国大学造富讨论(1)【以下简称讨论1】中,基本上大家的讨论能在本文中出现;而大家提出的出国分流等,则在本文中没有体现。下面看本文如何成功的利用有限的数据,说明了在精英大学中的教育回报(本次讨论纯粹为学术,并无任何宣传精英学校的意图与倾向;关于高考制度的政治性评论,请勿在本帖中回复,请去有关版面讨论。)

文献回顾部分:

Daniel et al.研究出大学质量对年轻男性学生工资有正的影响;Behrman et al利用双胞胎数据减少样本选择bias(以后会提及这一方法;在samplesize并不足够大以及随机性不够时,该方法可有效减少samplesection bias,有人愿意普及一下该方面的知识欢迎跟帖),依然支持该结论;Breweret al利用结构回归(该方法需要有扎实的概率空间和动态优化基础,是目前学术市场上比较fashion的方法,呵呵),也正是该观点。

Dale and Krueger (2011) 则得出相反的结论(在paper讨论中,并无特别robust的结论,因为在前沿性的研究中,每篇发表的论文都是根据已有的数据和假设做分析,因此结论相反则往往是各种idea不断竞争的结果;希望大家不要总是用某一个人的研究来批驳另外一个人的研究,也希望大家讨论时平心静气,不要给我发站内信让我接受你海量阅读得出的无懈可击的结论。)

本文新鲜点:继续深化了中国教育回报的研究。关于这方面的研究,之前有:

Li and Zhang, 1998; Fleisher and Wang, 2005; Yang, 2005 认为1980s1990s,教育回报并不高;

但是Zhanget al., 2005发现自2002年以来在城市的高等教育回报上升剧烈;Liuet al., 2010将其归结为制度变革等对高素质劳动力的需求增大(点评:需求方面的分析)。




(在本帖内续)


二维码

扫码加我 拉你入群

请注明:姓名-公司-职位

以便审核进群资格,未注明则拒绝

全部回复
2012-12-17 06:02:43
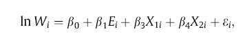
本文使用的计量技术:

未命名.jpg
W: 毕业生第一份工作工资:E:是否是211学校毕业生;X:学生的各种特征。
因此,从计量上,我们主要观察E的系数:即是否211毕业生的工资有显著性。这个方式,前面的网友shetianlang已经点评过:这是一个很普通的回归方式,原理在于,通过控制学生的各种变量【可类比一下:通过各种方式,找到类似的“双胞胎”,然后参加不同的学校,看毕业后工资是否存在差异】。但这个回归方式也饱受争议:毕竟,很多观察不到的变量,是无法通过控制的:诸如两个异卵双胞胎,可能各方面都一模一样,但是哥哥长得帅点,弟弟长得有点对不起大家,这是无法控制的;或者姐姐性格外向,妹妹性格有点偏激,等等。呵呵
但是就目前的技术而言,无法实现counter the fact的研究,所以这个方式也算是比较成熟的妥协。我之前的很多研究,也都用了这个方法。
可观察变量存在偏差:针对高考制度单纯依靠分数录取的存在的偏差(各位网友对此方面的讨论良多),该文加入了高考分数的高阶多元非线性方程;结果发现使用高阶与线性方程结果差异不大。因此在录取方面,所有的解释变量依然使用高考分数。【这个问题可以依然讨论下去,可能以后中国数据统计更加完善了,这方面数据更加系统、翔实,我们可以更好的探讨这个问题】。
不可观察变量存在的偏差:另外一个就是动机和偏好。诚如广大网友所言,有学生直接出国留学,也有创业的,还有其他因为各种各样的原因并未参与此次调查。这会带来sample selection bias.该文认为最理想的方式是regression discontinuity (RD):让每一个学生自主选择进入名校与非名校,然后探讨进入名校的因素。该文囿于数据,无法通过此法说明此项bias。本文的做法是使用学生的特征数据和家庭数据;给出的理由是中国学生的高考志愿有很多的家长参与成分。【点评:这个问题,其实只能说解决了部分解释因素;当然,这已经很不错了,毕竟还没有完善的数据库】。

数据调查部分:
地区分布:Beijing,Shanghai, Tianjin, Northeastern China, Eastern China, Central China, and Western China
时间:2010年5,6月
分层:1-7
学校树木:从2305所中随机选择100所;某校内学生样本亦为随机挑选。
工资定义:该生在调查时所收到的工作中提供的最高工资。
调查变量:
个体特征类:
是否211学校;是否回报工资:工资额;性别;年龄;父亲学龄;父母政治身份;父母收入;是否家在本地;入学前户口‘家庭子女数;
高考分数类
语文、数学、英语、综合;
大学人力资本积累:
大学英语考试成绩;
有无技术证书;
是否党员;
是否社团领导;
有无兼职经验;

回归时采用的计量手段:
根据学校聚类;工资为月度;分配权重至学校(以减小名校学校子样本过大)。
参见回归结果

未命名.jpg
三种回归,对应上面三种不同的考虑深度。
下面李宏彬老师做了另外几种回归。
下次接着讨论。
二维码

扫码加我 拉你入群

请注明:姓名-公司-职位

以便审核进群资格,未注明则拒绝

2012-12-18 21:45:30
这个不错
二维码

扫码加我 拉你入群

请注明:姓名-公司-职位

以便审核进群资格,未注明则拒绝

2012-12-19 09:07:51
很好
二维码

扫码加我 拉你入群

请注明:姓名-公司-职位

以便审核进群资格,未注明则拒绝

2012-12-19 20:05:30
一看这个 就觉得不平衡 内心感慨太多
二维码

扫码加我 拉你入群

请注明:姓名-公司-职位

以便审核进群资格,未注明则拒绝

2012-12-19 21:46:29
索妮 发表于 2012-12-19 20:05
一看这个 就觉得不平衡 内心感慨太多
呵呵,为什么?
二维码

扫码加我 拉你入群

请注明:姓名-公司-职位

以便审核进群资格,未注明则拒绝

点击查看更多内容…
相关推荐
栏目导航
热门文章
推荐文章

说点什么

分享

扫码加好友,拉您进群
各岗位、行业、专业交流群