全部版块 我的主页
论坛 经济学论坛 三区 宏观经济学
17579 36
2013-11-26
看到DSGE讨论专版已经建立,在这里小推一把。大家可以此帖为专题,专门讨论Jordi Gali(2008)的相关问题,例如概念理解问题,或者是推导问题,也可以是与这本书相关的Dynare编程问题,也欢迎用matlab编程(R语言也可)。总之吧,将所有跟Jordi Gali相关的问题集中于此,方便大家学习和检索。为了方便学习,特将这本教材附上。
http://ishare.iask.sina.com.cn/f/35233571.html  Jordi Gali Monetary Policy Inflation And The Business Cycle.pdf



欢迎拍砖!

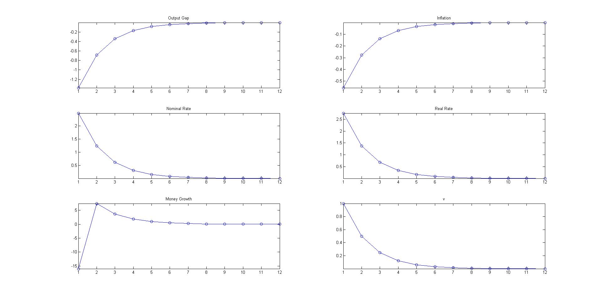
标题1:今天在看Gali第三章的时候,突然之间发现第53和第55页的两幅脉冲函数图当时自己在做的时候,为什么会跟书上不一样了。最主要的是因为年利率化了,而我自己做的时候没有,所以导致了不同。希望大家在验证这两幅IRF的时候,不要犯同样的错误。
标题2: Gali (2008) page 29 log-linearization derivation https://bbs.pinggu.org/thread-2703607-1-1.html




附件列表
二维码

扫码加我 拉你入群

请注明:姓名-公司-职位

以便审核进群资格,未注明则拒绝

全部回复
2013-11-26 08:58:55
谢谢支持!
二维码

扫码加我 拉你入群

请注明:姓名-公司-职位

以便审核进群资格,未注明则拒绝

2013-11-26 21:30:42
太谢谢楼主啦,以后有问题就在这里发啦
二维码

扫码加我 拉你入群

请注明:姓名-公司-职位

以便审核进群资格,未注明则拒绝

2013-12-5 16:14:23
Gali的书没买啊  看的是wickens 还有那个 RBC的书 。。。。不知道Gali的书怎么样
Matlab 的代码有没有 或者说DYNARE的mod 文件有没有  感觉编程无迹可寻啊
二维码

扫码加我 拉你入群

请注明:姓名-公司-职位

以便审核进群资格,未注明则拒绝

2013-12-5 19:02:02
我是一只高压锅 发表于 2013-12-5 16:14
Gali的书没买啊  看的是wickens 还有那个 RBC的书 。。。。不知道Gali的书怎么样
Matlab 的代码有没有 或 ...
网上有电子版的PDF,推荐可以看看,编程可以自己做,没有太大的问题的。
二维码

扫码加我 拉你入群

请注明:姓名-公司-职位

以便审核进群资格,未注明则拒绝

2013-12-5 21:42:01
开始去读了
二维码

扫码加我 拉你入群

请注明:姓名-公司-职位

以便审核进群资格,未注明则拒绝

点击查看更多内容…
相关推荐
栏目导航
热门文章
推荐文章

说点什么

分享

扫码加好友,拉您进群
各岗位、行业、专业交流群