yuangord 发表于 2014-7-1 20:42 
Note that
\Delta W = \int_{t_n}^{t_{n+1}} dW_{s_1},
Trying the latex feature for formulas:
\[\Delta W = \int_{t_n}^{t_{n+1}} dW_{s_1}\]
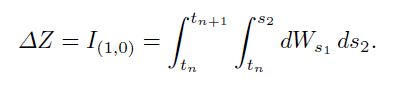
\[\Delta Z = \int_{t_n}^{t_{n+1}}\int_{t_n}^{s_2} dW_{s_1} ds_2\]
\[=\int_{t_n}^{t_{n+1}} \int_{s_1}^{t_{n+1}} ds_2 dW_{s_1}\]
\[=\int_{t_n}^{t_{n+1}}(t_{n+1}-s_1) dW_{s_1}.\]
Then,
\[E(\Delta Z) = 0\]
by the martingale property. Moreover, by Ito's isometry,
[LaTex]E[(\Delta Z )^2] = \int_{t_n}^{t_{n+1}}(t_{n+1}-s_1)^2 ds_1[/LaTex]
\[= \frac{1}{3}\Delta^3,\]
and
[LaTex]E[\Delta Z \Delta W] = \int_{t_n}^{t_{n+1}} (t_{n+1}-s_1) ds_1[/LaTex]
\[= \frac{1}{2}\Delta^2.\]