全部版块 我的主页
论坛 计量经济学与统计论坛 五区 计量经济学与统计软件 EViews专版
1587 4
2015-07-20
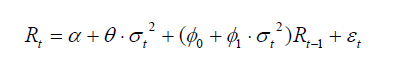
各位大神,小弟现在要用GARCH(1,1)对收益序列R进行分析,但是不知道图中这个式子里的系数运用到模型中求各自的拟合程度。最终我要求各个系数的相关性如何。。。在程序里怎么做啊求帮忙
附件列表
1.png

原图尺寸 3.96 KB

1.png

二维码

扫码加我 拉你入群

请注明:姓名-公司-职位

以便审核进群资格,未注明则拒绝

全部回复
2015-7-21 00:34:52
用eviews跑一下,会直接给你你需要的数据啊
二维码

扫码加我 拉你入群

请注明:姓名-公司-职位

以便审核进群资格,未注明则拒绝

2015-7-21 02:37:50
zhaoyixiu7549 发表于 2015-7-21 00:34
用eviews跑一下,会直接给你你需要的数据啊
但是Φ0和1都显示不出来啊这个,它们是一个整体
二维码

扫码加我 拉你入群

请注明:姓名-公司-职位

以便审核进群资格,未注明则拒绝

2015-7-21 11:13:40
garch拟合的是波动,也就是方差,Rt应该是属于均值范围的,建议先做garch得到波动表达式,再代入。
二维码

扫码加我 拉你入群

请注明:姓名-公司-职位

以便审核进群资格,未注明则拒绝

2015-7-24 04:17:34
胖胖小龟宝 发表于 2015-7-21 11:13
garch拟合的是波动,也就是方差,Rt应该是属于均值范围的,建议先做garch得到波动表达式,再代入。
不能用我想用的这个式子代入么?主要是不同的系数代表着不同的意义,我得知道它们的拟合度
二维码

扫码加我 拉你入群

请注明:姓名-公司-职位

以便审核进群资格,未注明则拒绝

相关推荐
栏目导航
热门文章
推荐文章

说点什么

分享

扫码加好友,拉您进群
各岗位、行业、专业交流群