全部版块 我的主页
论坛 数据科学与人工智能 数据分析与数据科学 R语言论坛
2313 4
2018-03-18
求助!
请问一下各位大神,要用R生成下图这样的描述性表格,需要哪些代码啊?
括号里的是Huber-White robust standard errors
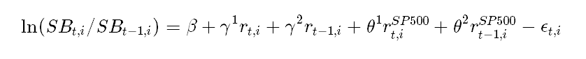
回归方程为

ln(SBt,i/SBt−1,i)=β+γ1rt,i+γ2rt−1,i+θ1rSP500t,i+θ2rSP500t−1,i−ϵt,i
微信截图_20180318100633.png


二维码

扫码加我 拉你入群

请注明:姓名-公司-职位

以便审核进群资格,未注明则拒绝

全部回复
2018-3-18 10:14:04
方程这样看应该清楚一点
微信截图_20180318101308.png
二维码

扫码加我 拉你入群

请注明:姓名-公司-职位

以便审核进群资格,未注明则拒绝

2018-3-19 10:57:03
参考stargazer包
二维码

扫码加我 拉你入群

请注明:姓名-公司-职位

以便审核进群资格,未注明则拒绝

2018-3-19 14:48:11
铁锷未残 发表于 2018-3-19 10:57
参考stargazer包
谢谢!可以更详细一点吗
二维码

扫码加我 拉你入群

请注明:姓名-公司-职位

以便审核进群资格,未注明则拒绝

2018-3-19 17:42:40
claudiehuang 发表于 2018-3-19 14:48
谢谢!可以更详细一点吗
阅读包自带的Reference manual和Vignettes
二维码

扫码加我 拉你入群

请注明:姓名-公司-职位

以便审核进群资格,未注明则拒绝

相关推荐
栏目导航
热门文章
推荐文章

说点什么

分享

扫码加好友,拉您进群
各岗位、行业、专业交流群