经管之家App
让优质教育人人可得
立即打开
全部版块
我的主页
›
论坛
›
计量经济学与统计论坛 五区
›
计量经济学与统计软件
›
EViews专版
ADF检验和自相关检验Q值求助
楼主
qyh1985923
4579
3
收藏
2010-05-25
大家好,
我最近在做一篇论文,其中用到了ADF检验,因为是初学者,所以有点弄不清楚 麻烦大家帮我看一下好么。
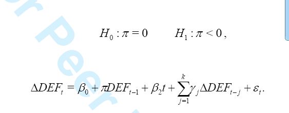
我用到的是以下图片中的模型,我要对它做平稳检测,然后再对残差进行自相关检测。我已经得到了DEF值。是不是只要对它做一阶的ADF检测就可以呢?如何得到这个残差项呢?
因为马上就要去见导师了 所以非常着急,希望知道的同学可以帮帮我,谢谢大家了!!!!!
扫码加我 拉你入群
请注明:姓名-公司-职位
以便审核进群资格,未注明则拒绝
全部回复
沙发
qixiao20041
2010-5-25 18:22:13
1#
qyh1985923
路过,学习一下!
扫码加我 拉你入群
请注明:姓名-公司-职位
以便审核进群资格,未注明则拒绝
藤椅
小非
2010-5-25 20:37:43
我认为这个形式就是直接对DEF做ADF检验,你模型中加了DEF的差分的滞后项就是为了去除该模型中残差的自相关,选择最优的滞后阶数可以直接说残差不存在自相关了。不明白为什么还要检验?
扫码加我 拉你入群
请注明:姓名-公司-职位
以便审核进群资格,未注明则拒绝
板凳
qyh1985923
2010-5-25 20:59:43
3#
小非
谢谢你的回复啊:)这是我导师给我的一片例文,所以我要按照这个区做论文,所以即使残差一定是不相关的,我也需要用Q-STAT去验证一下,在论文中给出一个值。拜托大家帮我看看怎么对这个残差做Q-STAT的检验呢?
另外 我是个初学者了,是不是我只要在对我的DEF值做ADF检验的时候选择“一阶差分”这个项,就符合图中这个模型了?
扫码加我 拉你入群
请注明:姓名-公司-职位
以便审核进群资格,未注明则拒绝
相关推荐
ADF检验中滞后期及其他问题请教或讨论
请教:关于ADF检验时变量截矩项和趋势项问题
怎么确定ADF检验中的滞后项期数?
求助如何分析ADF检验结果
ACF和ADF检验结果不一致是怎么回事啊
求高手帮我看一下这个ADF检验出了什么问题
请教大家一个DF检验 & ADF检验的问题
宏观30年国家数据,能否做ADF检验之类
ADF检验,滞期数选择0是最稳定的吗?
为什么df检验无单位根ADF检验却存在单位根?
栏目导航
EViews专版
经管文库(原现金交易版)
经管高考
创新与战略管理
麦田创投
外文文献专区
热门文章
“木语者”袁宣华:芜湖是我的根!”
电力巡检无人机行业深度报告:智能电网时代 ...
整体微分几何初步 沈一兵
南京2025年度房地产市场分析报告
高教现代数学基础 08 泛函分析第二教程 夏道 ...
【24重磅,热点!】2008-2024上市公司异常审计 ...
【顶刊方法,24重磅!】2008-2024上市公司客户 ...
CDA数据分析师:商业数据分析体系构建的核心 ...
对扩散语言模型开启了一次深度思考
CDA数据分析脱产就业班于2025年12月08日开班 ...
推荐文章
【必看】【本版版规,欢迎发悬赏贴求助】
26年寒假天津站|Gemini论文写作&数据分析 ...
2026JG学术冬训营:从Stata初高到Python机器 ...
关于如何利用文献的若干建议
关于学术研究和论文发表的一些建议
关于科研中如何学习基础知识的一些建议 (一 ...
一个自编的经济学建模小案例 --写给授课本科 ...
AI智能体赋能教学改革: 全国AI教育教学应用 ...
2025中国AIoT产业全景图谱报告-406页
关于文献求助的一些建议
说点什么
分享
微信
QQ空间
QQ
微博
扫码加好友,拉您进群
各岗位、行业、专业交流群