经管之家App
让优质教育人人可得
立即打开
全部版块
我的主页
›
论坛
›
提问 悬赏 求职 新闻 读书 功能一区
›
经管文库(原现金交易版)
空间杜宾SDM、SEM,SAR模型,莫兰检验、LM,LR,Wald,Hausman检验代码步骤出售
楼主
17875301667
1725
2
收藏
2022-05-06
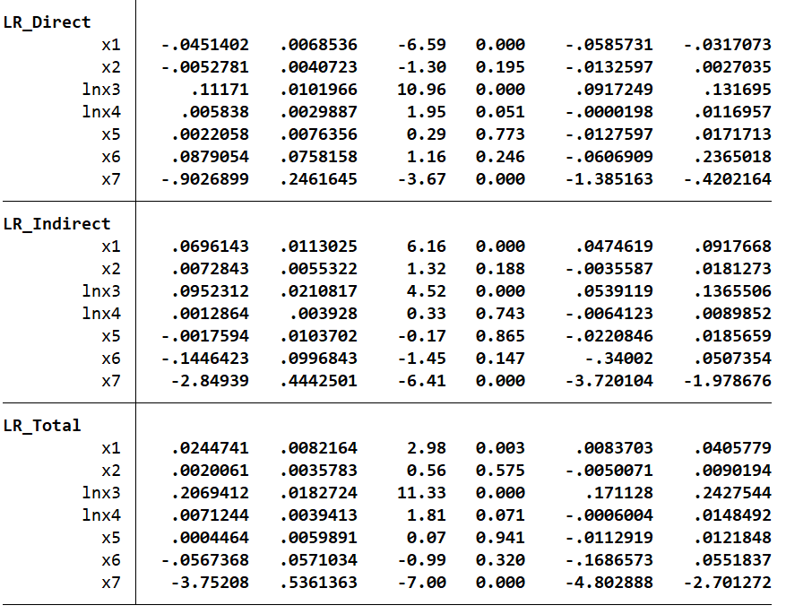
出售空间杜宾SDM模型,空间误差SEM模型,空间滞后SAR模型,莫兰检验(全局莫兰,局部莫兰),LM检验,LR检验,Wald检验,Hausman检验代码步骤及解释。为方便大家看懂代码,压缩包中包含有案例,有操作视频,有操作的pdf文档,有数据等。同时运行出来的结果,pdf中也有解释,可助大家理解,另外可将结果输出为word表格形式。本人已接了近百单空间计量,代码可放心使用。
空间计量模型.rar
大小:(63.11 MB)
只需: RMB 60元
马上下载
扫码加我 拉你入群
请注明:姓名-公司-职位
以便审核进群资格,未注明则拒绝
全部回复
沙发
1746568560
2022-5-7 00:53:46
怎么购买
扫码加我 拉你入群
请注明:姓名-公司-职位
以便审核进群资格,未注明则拒绝
藤椅
17875301667
2022-5-7 00:55:05
1746568560 发表于 2022-5-7 00:53
怎么购买
有支付链接的吧,往下滑到底
扫码加我 拉你入群
请注明:姓名-公司-职位
以便审核进群资格,未注明则拒绝
相关推荐
请教Hausman检验的自由度确定问题
看了关于Hausman检验的书,结果呢?
hausman检验
求助。。。hausman检验表明应该用FE,但试验FE和RE的效果,FE的估计都不显著,MLE的都显著
[求助]
求助:面板数据用F检验得出应建立固定效应模型,用Hausman检验应用随机效应模型怎么办
请高手赐教!hausman检验的p值为负,不知道是接受原假设(随机效应)还是拒绝原假设而
空间计量hausman检验求解答
求助:关于空间计量的HAUSMAN检验结果
【面板数据】拒绝F检验,接受了hausman检验,应该选择什么模型?
栏目导航
经管文库(原现金交易版)
数据交流中心
行业分析报告
经管在职研
CAA、SOA精算师等考证版
休闲灌水
热门文章
CDA数据分析师:商业数据分析体系构建的核心 ...
人机共生· 智启未来 - 2026AI内容营销六大 ...
springer book-Teaching Econometrics
中国商务环境调查报告2026
【自用整理,24更新!】2000-2024新能源汽车上 ...
【热点指标,24更新!】2004-2024上市公司高管 ...
对扩散语言模型开启了一次深度思考
CDA 认证考试大纲 2025 重磅更新:一二级考 ...
CDA数据分析脱产就业班于2025年12月08日开班 ...
财新 周刊26年
推荐文章
【必看】【本版版规,欢迎发悬赏贴求助】
26年寒假天津站|Gemini论文写作&数据分析 ...
2026JG学术冬训营:从Stata初高到Python机器 ...
关于如何利用文献的若干建议
关于学术研究和论文发表的一些建议
关于科研中如何学习基础知识的一些建议 (一 ...
一个自编的经济学建模小案例 --写给授课本科 ...
AI智能体赋能教学改革: 全国AI教育教学应用 ...
2025中国AIoT产业全景图谱报告-406页
关于文献求助的一些建议
说点什么
分享
微信
QQ空间
QQ
微博
扫码加好友,拉您进群
各岗位、行业、专业交流群