经管之家App
让优质教育人人可得
立即打开
全部版块
我的主页
›
论坛
›
世界经济与国际贸易 八区
›
世界经济与国际贸易
Melitz和Ottaviano(2008)模型中的间接效用函数如何推导出来的呢?
楼主
jamify
1920
6
收藏
2023-04-26
悬赏
300
个论坛币
未解决
扫码加我 拉你入群
请注明:姓名-公司-职位
以便审核进群资格,未注明则拒绝
全部回复
沙发
沉默的吃瓜
2023-6-26 09:50:33
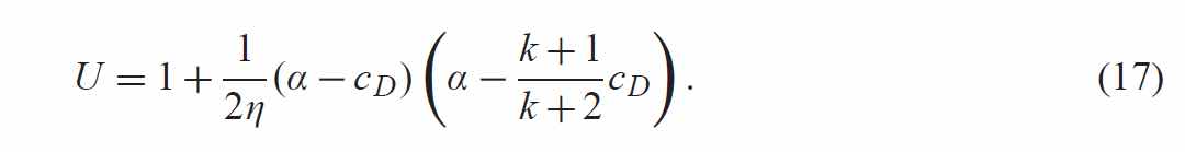
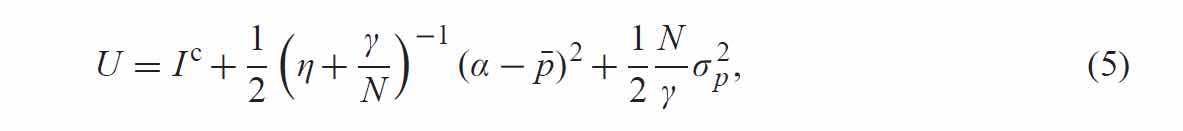
如图,希望对楼主有帮助。
附件列表
2.png
原图尺寸 40.46 KB
1.png
原图尺寸 63.32 KB
扫码加我 拉你入群
请注明:姓名-公司-职位
以便审核进群资格,未注明则拒绝
藤椅
chenqiuyaopk
2023-9-16 18:58:06
沉默的吃瓜 发表于 2023-6-26 09:50
如图,希望对楼主有帮助。
请问如何由间接效用函数得到最后的均衡效用函数?其中的价格平方的积分应该如何计算?
扫码加我 拉你入群
请注明:姓名-公司-职位
以便审核进群资格,未注明则拒绝
相关推荐
求教:间接效用函数的连续性问题如何证明?
[求助]间接效用函数为
请教个中级问题:间接效用函数推导直接效用函数
“间接效用函数关于(p,y)是拟凸的”具体意义
求助!!!不用微分求间接效用函数
间接效用函数关于价格P到底是拟凸的还是拟凹的?
范里安高微里的一个问题
高级微观之直接效用函数 VS 间接效用函数
那位大神能教我一下!
中微提问
栏目导航
世界经济与国际贸易
stata专版
行业分析报告
经管文库
文献求助专区
数据交流中心
热门文章
CDA数据分析脱产就业班于2025年12月08日开班 ...
CDA数据分析师核心实战:数据整合的价值、流 ...
芜湖:全国50强,中西部非省会城市第1位!
2025河南省债券市场发展白皮书
可持续鉴证报告示例
美国邮政编码区域地理信息数据
孩子的好奇心是怎样弱化的【教育专家鲁稚的 ...
《预测之书 1000天后的世界》(罗振宇)-59 ...
Python Object-Oriented Programming 5th e ...
巴菲特的价值投资【便宜买价格买高景气度行 ...
推荐文章
26年寒假天津站|Gemini论文写作&数据分析 ...
2026JG学术冬训营:从Stata初高到Python机器 ...
关于如何利用文献的若干建议
关于学术研究和论文发表的一些建议
关于科研中如何学习基础知识的一些建议 (一 ...
一个自编的经济学建模小案例 --写给授课本科 ...
AI智能体赋能教学改革: 全国AI教育教学应用 ...
2025中国AIoT产业全景图谱报告-406页
关于文献求助的一些建议
几种免费下载文献的方法----我的文献应助经
说点什么
分享
微信
QQ空间
QQ
微博
扫码加好友,拉您进群
各岗位、行业、专业交流群