全部版块 我的主页
论坛 提问 悬赏 求职 新闻 读书 功能一区 经管文库(原现金交易版)
136 21
2026-04-06
【本账号入驻论坛6年专注于稀缺真实高质量金融经济科研数据,24小时秒回答疑(建模选题数据爬取申博考研发表核心等)已帮助200余位学子和青年教师顺利发表论文晋升职称,论坛类似账号均为假冒,认准“国贸小可爱”其他渠道购买盗版数据会有缺失,且无法提供质保和售后服务(含数据年份更新)

附件是全新测算的
1990-2024年上市公司企业相对有效价差/有效价差数据合集,附原始数据+测算代码+参考文献,采用顶刊方法测算,上市公司样本完整无遗漏,近8W观测值,原始数据和测算结果无任何插值拟合造假行为,100%真实可复现。


【数据可靠性声明】
相对有效价差是金融经济、资本市场的前沿话题之一,于这个数据,网上的版本基本都是假的,要么只有到2022年的数据,要么企业样本缺了几千个,更有甚者直接用线性插值造假个股回报率等原始数据、甚至不提供原始数据,缺乏学术严谨性。本附件全新爬取上市公司定期披露的季报半年报和公开报告文本,结合Wind、iFind、巨潮等正版上市公司数据源,参考权威做法全新测算,100%准确,原始数据全公开,适合用于统计分析、回归分析、双重机器学习等前沿方法研究,我参加工作以来,本人所在单位曾基于此发表1篇CSSCI,盲审专家对相关指标工作量给予高度评价!

【方法概述】
Roll提供了一种使用日间数据计算买卖价差的简单方法,具体思路为:假定股票的真实价值服从随机游走过程,那么观察到的收盘价将等于真实值加上或减去半有效价差,在收盘价由买方或卖方发起的概率各占一半的情况下,观察到的股票价格的自相关系数应当是负的,因此可以得到买卖价差的估计值。此时公式为:

1.jpg

上式中为价格变化时计算得到的价差仅为有效价差还不是相对有效价差,因而还需要进行相应的调整。当式中的价格变化变为收益率时,计算得到的价差就是相对有效价差,称之为Roll价差指标
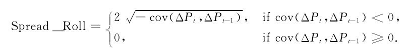
由于在计算有效价差和相对有效价差时,计算得到的收益率的自协方差经常为正值,为避免这一情况的出现,我们还需要对此进行相应的调整,将自协方差为正的值定为0。即:

2.jpg


注:测算以上指标的全部原始数据、详细STATA代码已置于附件中,数据真实不造假。

【参考文献】
[1]张峥,李怡宗,张玉龙,刘翔.中国股市流动性间接指标的检验——基于买卖价差的实证分析[J].经济学(季刊)(4):233-262.
[2]陈辉.日间数据计算买卖价差的两种方法之比较与应用[J].金融评论, 2014, 6(3):11.
[3]陈辉,顾乃康,万小勇.股票流动性、股权分置改革与公司价值[J].管理科学, 2011, 24(3):13.

本附件为多重勘误校对后版本,无插值拟合造假行为。我们随机抽取了中芯国际、寒武纪等24个上市公司的结果进行肉眼核实校对+手工重新计算,确保数据真实可靠,并尝试建立了几个回归模型,亲测统计显著性和经济显著性非常好,请您放心使用!


点击下方链接购买↓↓↓(原始数据全公开,代码详细可复现,样本完整真实无误)



售后服务立送(在线答疑24h回复,之后若更新有效价差数据免费给您升级,敬请私信索要)


【温馨提示】

(1)购买本数据您即享受“24小时1对1售后”对于使用数据过程中的选题建模、数据清洗、理论模型、公式推导、操作代码、统计分析、图文撰写、实证设计等任何问题,均可通过论坛私信联系我,立即答疑并且会尽全力为您解决问题,我提供给您的原创解答文字可以直接写入您的论文并承诺绝不出现重复率问题和任何错误,请别担心,本人担任某经管院科研秘书和讲师,提供的数据和服务不夸大其词,如果我解决不好的疑难问题,我会帮您咨询知名学者进行探讨。倒卖数据的公众号、团队和个人请具备最基本的底线。

(2)购买本数据无偿赠送一份实用的赠品数据(某些平台公众号售价高达199元):2000-2024年上市公司基本信息面板数据集涵盖证券代码、行业名称、注册/办公地址、邮政编码、董事会秘书、董秘联系方式(电话/传真/邮箱)、证券事务代表、统一社会信用代码、重大变更、地理坐标(经纬度)、ISIN编码、中文全称、法人代表、成立日期、ABH股交叉码、注册资本、公司网址、经营范围、首次上市日期、所属省份/城市、主营业务、上市状态等几十个变量,可用于不同类型数据集之间的交叉匹配,也可直接用于各类文本分析或建模分析,助力真实科研!(赠品已打包在本帖附件内,购买后立刻享受)


原创数据,请勿转售获利;数据文件售出后无法退换,与本贴描述保证一致,请确认有需求后购买。我发布的资料可以实现论坛内24小时在线答疑解惑,欢迎您咨询各大方向的科研数据,批量购买可享大额优惠。本人在职科研青椒一枚(数量经济与金融统计方向),深知学术不易,入驻论坛6年分享数据质量有目共睹,下附用户好评沟通截图,包售后,有问题随时在论坛私信交流。


感谢您和论坛支持原创真实资料,祝好!

真实好评.png


二维码

扫码加我 拉你入群

请注明:姓名-公司-职位

以便审核进群资格,未注明则拒绝

全部回复
2026-4-6 23:48:49
各大方向畅销数据,更多请见主页或通过论坛私信垂询,批量购买优惠折上折:(24小时回复)
1、【全面更新】2006-2024年280+地级市绿色全要素生产率GTFP+分解项+原始数据+测算代码!
https://bbs.pinggu.org/thread-16186842-1-1.html
2、2000-2024年290+地级市绿色专利数据大全,申请量/授权量/绿色发明专利/绿色实用新型等
https://bbs.pinggu.org/thread-16569718-1-1.html
3、【已匹配】1998-2014年工业企业数据库和企业专利匹配结果(观测值近500万,手动清洗)
https://bbs.pinggu.org/thread-11223418-1-1.html
4、【顶刊变量合集】2002-2023年上市公司分析师预测准确度+分歧度+乐观偏差数据集,近10种方法附原始数据!
https://bbs.pinggu.org/thread-14573681-1-1.html
5、【准确匹配】2000-2014年工企-海关数据库匹配数据,附赠全套上千条匹配代码!
https://bbs.pinggu.org/thread-11314007-1-1.html
6、【全新合并清洗】1998-2015工业企业数据库面板数据,附赠完美匹配代码和原始数据!
https://bbs.pinggu.org/thread-11370017-1-1.html
7、【多方法】2011-2024年省级经济高质量发展水平数据合集,含原始数据+代码,熵值+TOPSIS
https://bbs.pinggu.org/thread-16569118-1-1.html
8、【2026新版】熵值法TOPSIS(熵权)全过程操作代码,赠理论公式+案例数据+详细解读,可复现
https://bbs.pinggu.org/thread-14035798-1-1.html
9、【推荐】2011-2023年省级绿色全要素生产率与分解项,原始数据,附赠控制变量和数理推导!
https://bbs.pinggu.org/thread-13903128-1-1.html
10、【准确】工业企业-海关-专利三库匹配面板数据!囊括三库所有变量,千万数据量!
https://bbs.pinggu.org/thread-11457013-1-1.html
11、2009-2024年上市公司季度+年度华证ESG评级+分项评级+综合赋分+E/S/G分项赋分数据大全!
https://bbs.pinggu.org/thread-16397347-1-1.html
12、【准确】2000-2016海关-上市公司数据库完美匹配,附赠海关指标解释,百万条数据!
https://bbs.pinggu.org/thread-11476865-1-1.html
13、【全新】1998-2014工业企业、专利、污染数据库三库匹配,附赠超详细处理代码!
https://bbs.pinggu.org/thread-11477031-1-1.html
14、【全面无遗漏】1986-2024年专精特新企业全指标数据大全,财务指标专利股东高管人员信息全覆盖!
https://bbs.pinggu.org/thread-13554964-1-1.html
15、1990-2025年上市公司企业信息不对称ASY数据集,附原始数据+代码,流动性比率/收益率反转
https://bbs.pinggu.org/thread-16571687-1-1.html
16、【顶刊全新】2011-2023年31省份数字经济水平熵值法数据,原始数据+指标全公开可复现!
https://bbs.pinggu.org/thread-13942211-1-1.html
17、【顶刊做法合集】1998-2024年上市公司数字化转型数据大全,多方法结果附详细原始数据!
https://bbs.pinggu.org/thread-15973861-1-1.html
18、【全新】1990-2026年上市公司企业高管个人特征/董监高个人特征数据全集,百万数据量!
https://bbs.pinggu.org/thread-16567039-1-1.html
19、【顶刊变量】2006-2024年上市公司企业战略联盟数据,多方法附原始数据+全适用测算代码!
https://bbs.pinggu.org/thread-14612745-1-1.html
20、【全新顶刊变量】2000-2024年上市公司国际化程度+海外业务收入+销售收入数据集,多指标
https://bbs.pinggu.org/thread-16055218-1-1.html
21、【顶刊变量】2007-2024年上市公司关键核心技术专利数据集,总计+子公司+母公司多维度!
https://bbs.pinggu.org/thread-15887584-1-1.html
22、【顶刊原文变量】2008-2023年全国统一大市场水平省级面板数据,附原始数据+熵值法过程!
https://bbs.pinggu.org/thread-14091363-1-1.html
23、2005-2021企业诚信文化数据集,附赠原始数据、参考文献、过程代码!42000+观测值!
https://bbs.pinggu.org/thread-11535921-1-1.html
24、【顶刊数据】2005-2024年上市公司企业供应链效率数据集,附原始数据+测算代码+文献!
https://bbs.pinggu.org/thread-16570919-1-1.html
25、【多方法】1997-2024年省级市场化指数+上市公司匹配面板数据+分项指数+详细测算代码!
https://bbs.pinggu.org/thread-16082508-1-1.html
26、【推荐】1997-2024中国企业跨国并购/海外并购数据合集,Zephyr全新官方库数值不造假!
https://bbs.pinggu.org/thread-16336096-1-1.html
27、【全新可靠】1980-2023年全地级市FDI外商投资额,外商新签合同数,协议投资额,真实值不造假!
https://bbs.pinggu.org/thread-13563345-1-1.html
28、【顶刊变量】2000-2024年290+地级市碳排放强度数据集,附原始数据,官方数值不造假!
https://bbs.pinggu.org/thread-16570995-1-1.html
29、【准确全新】2002-2023年700+地级市,县级市城市建设(城建)数据大全,近400个稀缺指标!
https://bbs.pinggu.org/thread-13820564-1-1.html
30、【顶刊变量】1991-2024年上市公司企业组织韧性数据集,附原始数据+代码+绩效增长+波动!
https://bbs.pinggu.org/thread-16342692-1-1.html
31、【顶刊方法】2001-2024年290+地级市城市经济韧性数据合集,附原始数据+代码,真实数值!
https://bbs.pinggu.org/thread-16573590-1-1.html
32、【全新】2012-2024年上市公司绿色并购(绿色兼并收购重组)数据合集,50+指标全覆盖!
https://bbs.pinggu.org/thread-13500846-1-1.html
33、2006-2023年上市公司企业创新效率(DEA方法/创新投入/产出),附原始数据+过程+测算代码!
https://bbs.pinggu.org/thread-16437479-1-1.html
34、【多方法】2000-2023年上市公司个股投资者情绪Sentiment指标合集,含原始数据+测算代码
https://bbs.pinggu.org/thread-14713876-1-1.html
35、【顶刊热门】2007-2024年上市公司企业合作文化数据合集,多方法结果附原始数据+代码!
https://bbs.pinggu.org/thread-16559292-1-1.html
36、【顶刊变量】1985-2024年上市公司绿色专利数据大全+匹配数据,近百个常用指标50W数据量
https://bbs.pinggu.org/thread-15369094-1-1.html
38、【全新】1991-2024年上市公司专利引用与被引用数据大全,含各类数量与信息近百个变量!
https://bbs.pinggu.org/thread-13534336-1-1.html
39、【顶刊指标】1999-2024年上市公司CEO绿色经历数据集,含原始数据+测算代码+变量定义表!
https://bbs.pinggu.org/thread-16117312-1-1.html
40、【顶刊变量合集】2010-2024年上市公司企业创新指标大全,附原始数据+代码,近20种方法!
https://bbs.pinggu.org/thread-16559125-1-1.html
41、【全新】2005-2024年上市公司财务指标数据大全,近900+变量,60W数据量,赠指标定义表!
https://bbs.pinggu.org/thread-16061994-1-1.html
42、【顶刊指标】2005-2024年上市公司企业股权激励数据合集,附原始数据+测算代码+文献!
https://bbs.pinggu.org/thread-16555693-1-1.html
43、【三库合并】2000-2016年上市公司、工业企业全球价值链嵌入度GVC合集,赠送匹配后数据
https://bbs.pinggu.org/thread-11555191-1-1.html
44、【顶刊指标】2002-2024年省级地级市环境规制9大版本数据,赠方法总结和近40篇权威文献!
https://bbs.pinggu.org/thread-13785897-1-1.html
45、【全新】2007-2023年亚投行ADB-MRIO数据合集+世界多区域按现价计算的投入产出表,真实!
https://bbs.pinggu.org/thread-16124177-1-1.html
46、【全新】2012-2023上市公司碳排放权交易数据合集,多个指标,附赠详细变量解释!
https://bbs.pinggu.org/thread-11558189-1-1.html
47、【全面】2008-2022最新上市公司能耗数据合集面板数据,3000多类能源,1.4W+观测值
https://bbs.pinggu.org/thread-11558581-1-1.html
48、【全新】国内价值链GVC数据合集,原始数据+清洗程序+测算代码+结果+详细说明!!
https://bbs.pinggu.org/thread-11567441-1-1.html
49、【全新】2002-2023年全部上市公司出口额数据,完整面板,真实值不造假已发CSSCI!
https://bbs.pinggu.org/thread-13780789-1-1.html
50、1990-2025年上市公司企业财务指标大全,季度+年度面板数据,近900个顶刊指标40W数据量
https://bbs.pinggu.org/thread-16555904-1-1.html
51、【高被引】2007-2024年上市公司绿色化转型指数数据集,赠关键词词典+7W数据量显著性好!
https://bbs.pinggu.org/thread-15940331-1-1.html
52、【全新】2015-2023年上市公司高质量发展水平,原始数据全公开,采用顶刊指标体系!
https://bbs.pinggu.org/thread-13799809-1-1.html
53、2000-2024年上市公司企业创新+高质量创新+低质量创新数据合集,附原始数据+测算代码!
https://bbs.pinggu.org/thread-16561628-1-1.html
54、【顶刊变量】2003-2024年上市公司企业治理水平数据集,含原始数据+可复现测算代码+文献
https://bbs.pinggu.org/thread-15924404-1-1.html
55、【顶刊做法】2005-2024年上市公司耐心资本/稳定型股权数据,附原始数据+可复现测算代码
https://bbs.pinggu.org/thread-15612792-1-1.html
56、【全面整理】2014-2022年全球各国各地区服务贸易限制指数面板数据,100%全面真实!!
https://bbs.pinggu.org/thread-11617777-1-1.html
57、【顶刊变量】2002-2023年上市公司供应商稳定度与客户稳定度数据,附原始数据+万能代码!
https://bbs.pinggu.org/thread-14124604-1-1.html
58、【全新】2003-2024年上市公司股权性质,股东持股比例,两权分离数据,顶刊变量合集!
https://bbs.pinggu.org/thread-14485396-1-1.html
59、【全面整理】2007-2021年各国各行业全球价值链参与度与地位数据、世界银行ADB数据合集
https://bbs.pinggu.org/thread-11628565-1-1.html
60、【全面版本】2005-2024年上市公司投资者关系管理,网络互动问答明细与实地调研数据合集
https://bbs.pinggu.org/thread-13575978-1-1.html
61、2000-2024年上市公司行业竞争度+集中度+赫芬达尔+勒纳指数,多方法+原始数据+详细代码!
https://bbs.pinggu.org/thread-15913214-1-1.html
62、【顶刊变量】2000-2024年上市公司财务重述数据合集,多方法附原始数据+可复现测算代码!
https://bbs.pinggu.org/thread-16159067-1-1.html
63、【全面】1949-2022年末的我国企业明细信息面板数据大合集,10亿数据量,上百变量
https://bbs.pinggu.org/thread-11636710-1-1.html
64、【推荐】2000-2024年上市公司企业内部控制指数/评级/得分数据集,附原始数据+测算代码!
https://bbs.pinggu.org/thread-16408524-1-1.html
65、【顶刊做法】1985-2024年上市公司专利引用与被引用详细信息明细面板数据,约800W数据量
https://bbs.pinggu.org/thread-15960934-1-1.html
66、【原创测算】2007-2022年全上市公司产业链整合程度、专业化分工与供应链整合大合集!
https://bbs.pinggu.org/thread-11641096-1-1.html
67、【全新真实】2000-2021年中国海关数据库合集,全部变量,附赠详细代码与变量对照表!
https://bbs.pinggu.org/thread-11647337-1-1.html
68、【全新版本】1990-2022年世界各国的金融指标面板数据全集,上百个指标一次集齐无缺失
https://bbs.pinggu.org/thread-11664399-1-1.html
69、【顶刊变量】2000-2023年上市公司人工智能词频统计指标数据合集,附原始数据+测算代码!
https://bbs.pinggu.org/thread-14394696-1-1.html
70、【冬日更新】2000-2022年我国地级市数字经济发展指数,含原始数据和详细介绍文档!!
https://bbs.pinggu.org/thread-11674503-1-1.html
71、【重新测算】2006-2021年最新地级市绿色经济效率,附带校对后原始数据和数理推导!!
https://bbs.pinggu.org/thread-11674629-1-1.html
72、【顶刊变量合集】2000-2023年上市公司碳强度,碳绩效,碳排放量数据大全,附原始数据!!
https://bbs.pinggu.org/thread-13806053-1-1.html
73、【顶刊多方法】2002-2024年上市公司企业出口韧性数据合集,出口金额/原始数据全公开!
https://bbs.pinggu.org/thread-16573636-1-1.html
74、【准确版本】2007-2020年制造业细分行业面板数据,行业和指标无一遗漏,来源权威!!
https://bbs.pinggu.org/thread-11689182-1-1.html
75、【全新】2000-2023年300+地级市,31省份通货膨胀率CPI,PPI与GDP平减价格指数大全!
https://bbs.pinggu.org/thread-14001715-1-1.html
76、【顶刊变量合集】2008-2024年上市公司环保投资+环境投资面板数据,多方法结果+测算代码
https://bbs.pinggu.org/thread-16112295-1-1.html
77、1985-2022年上市公司专利知识宽度(创新质量)多种结果、全部原始数据和测算代码!!
https://bbs.pinggu.org/thread-11695462-1-1.html
78、【2024新春版】2002-2023年地级市环境规制环保数据,十余种统计多个版本一网打尽!!
https://bbs.pinggu.org/thread-11701603-1-1.html
79、【推荐】1990-2024年省级全变量全指标面板数据集,3000+统计指标100%真实数值不造假!
https://bbs.pinggu.org/thread-16320181-1-1.html
80、【全新】2010-2025年人工智能企业全指标全变量面板数据,上百指标全覆盖百万数据量
https://bbs.pinggu.org/thread-14266538-1-1.html
81、【春日更新】1997-2023省级市场化指数(含分解项)匹配上市公司数据库合集,最新校对
https://bbs.pinggu.org/thread-11748593-1-1.html
82、【顶刊变量合集】2001-2024年上市公司被研报关注度+分析师关注度+透明度数据集,多方法
https://bbs.pinggu.org/thread-14587298-1-1.html
83、【准确版本】1990-2023年省级实际利用外商直接投资额+FDI外商投资水平,美元和RMB均有!
https://bbs.pinggu.org/thread-14189512-1-1.html
84、【顶刊变量】2003-2024年280+地级市新型数字基础设施水平数据,附原始数据+详细代码!
https://bbs.pinggu.org/thread-16429474-1-1.html
85、【准确可靠】1978-2023年全地级市进出口总额(含进口额出口额)真实值不造假已发CSSCI!
https://bbs.pinggu.org/thread-13568896-1-1.html
86、2005-2024年我国270+地级市新质生产力面板数据,提供原始数据,多重勘误不插值!
https://bbs.pinggu.org/thread-11807276-1-1.html
87、【真原创】2009-2022年熵值法地级市新质生产力、含原始数据、权重结果与代码!
https://bbs.pinggu.org/thread-11825295-1-1.html
88、【顶刊变量】2003-2023年上市公司经营风险数据合集,附原始数据+万能测算代码,可复现!
https://bbs.pinggu.org/thread-14252749-1-1.html
89、【顶刊变量合集】1990-2024年上市公司企业供应链金融数据集,附原始数据+文献,多方法!
https://bbs.pinggu.org/thread-16570601-1-1.html
90、2012-2024年上市公司GTFP绿色全要素生产率+分解项+原始数据+代码+模型解读,近20种方法
https://bbs.pinggu.org/thread-16183225-1-1.html
92、【顶刊变量】2000-2024年省级+地级市+上市公司企业数据要素市场化水平多方法数据合集!
https://bbs.pinggu.org/thread-16563058-1-1.html
93、1993-2025年上市公司企业绿色专利引用/被引用/引用数量/引用明细数据集,50+顶刊指标!
https://bbs.pinggu.org/thread-16570075-1-1.html
94、【真实原创】2011-2023年上市公司新质生产力,附原始数据、详细代码与5篇权威文献!!
https://bbs.pinggu.org/thread-11879942-1-1.html
95、【C刊做法】2012-2024年省级居民健康水平+医疗卫生水平数据,附原始数据+指标体系详解!
https://bbs.pinggu.org/thread-14955069-1-1.html
96、【全新合集】2003-2023年上市公司ZF补贴补助数据大合集,附赠代码和10篇权威文献!!
https://bbs.pinggu.org/thread-11908991-1-1.html
97、【顶刊指标】2001-2024年上市公司实证常用控制变量大全,含原始数据+可复现计算代码!
https://bbs.pinggu.org/thread-15250473-1-1.html
98、【准确测算】2008-2023年地级市前沿科技、人工智能、未来产业数据,附赠8篇权威文献!
https://bbs.pinggu.org/thread-11909707-1-1.html
99、【全新】1990-2023年上市公司全指标全变量数据合集,附赠万能清洗代码,1000+指标
https://bbs.pinggu.org/thread-11910659-1-1.html
100、【多重校对】2001-2023年上市公司上下游供应链匹配面板数据合集,附赠6篇权威文献!!
https://bbs.pinggu.org/thread-11911709-1-1.html
101、【全新测算】2005-2021年地级市高质量发展水平数据合集,附赠原始数据和8篇权威文献!
https://bbs.pinggu.org/thread-11928225-1-1.html
102、【全新】2007-2023年省级绿色税收全变量全指标数据合集,不插值不造假无缺失值!
https://bbs.pinggu.org/thread-14154114-1-1.html
103、2000-2024年近300+地级市农业数据大全,农林牧渔产值/播种面积/机械动力/粮食产量/用电
https://bbs.pinggu.org/thread-16460570-1-1.html
104、2003-2024年上市公司企业债券信用利差/信用评级利差数据合集,附原始数据+测算代码!
https://bbs.pinggu.org/thread-16554199-1-1.html
105、1989-2024年上市公司数字创新数量+数字创新质量+数字技术创新+融合创新多指标数据大全
https://bbs.pinggu.org/thread-15983259-1-1.html
106、2000-2024年上市公司企业代理成本数据大全,附原始数据+代码,管理层/大股东/各类费用率
https://bbs.pinggu.org/thread-16413990-1-1.html
107、1999-2024年上市公司创新投入,创新产出,创新效率,研发投入数据大全,30+指标含详细代码
https://bbs.pinggu.org/thread-16065350-1-1.html
二维码

扫码加我 拉你入群

请注明:姓名-公司-职位

以便审核进群资格,未注明则拒绝

2026-4-6 23:49:28
主页更丰富!已更新的热门前沿系列数据,欢迎您咨询其他方向的科研数据,批量购买可享优惠:
1、【方法全面】实证方法与STATA万能命令代码大全,附赠万条傻瓜式命令合集与速查手册!
https://bbs.pinggu.org/thread-12011858-1-1.html
2、【顶刊全新】2000-2024年上市公司高管信息技术背景/数字化背景数据集,附原始数据+代码
https://bbs.pinggu.org/thread-16567678-1-1.html
3、【全新】2010-2024年上市公司企业产能利用率,含原始数据+可复现测算代码,真实准确版本!
https://bbs.pinggu.org/thread-16151835-1-1.html
4、 2000-2024年上市公司企业投融资期限错配+短债长用+短贷长投数据全集,附原始数据+代码!
https://bbs.pinggu.org/thread-16292900-1-1.html
5、【C刊变量合集】2000-2023年省级产业集聚水平数据,多方法附原始数据,工业增加值GDP等!
https://bbs.pinggu.org/thread-15075195-1-1.html
6、【推荐】2002-2022年地级市、县级市城市建设(城建)指标面板数据,近400变量全覆盖!
https://bbs.pinggu.org/thread-12083628-1-1.html
7、【全新】2000-2025年全球各国经济体绿色贸易壁垒TBT/SPS数据,技术性/卫生植物措施等!
https://bbs.pinggu.org/thread-16560612-1-1.html
8、【全新测算】2000-2023年地级市乡村振兴水平测算结果与原始数据,万能指标一网打尽!
https://bbs.pinggu.org/thread-12114813-1-1.html
9、【多指标】2000-2024年上市公司企业债务融资成本数据大全,附原始数据+测算代码+多方法
https://bbs.pinggu.org/thread-16417750-1-1.html
10、2012-2024年上市公司企业全类型能源消耗数据合集,总能耗/耗电量/天然气/耗水量/煤炭等
https://bbs.pinggu.org/thread-16572342-1-1.html
11、【顶刊变量】2019-2024年上市公司-银行贷款借贷融资数据合集,近50指标,12万观测值!
https://bbs.pinggu.org/thread-12119736-1-1.html
12、【顶刊原文数据】1999-2024年上市公司企业环境不确定性数据集/原始数据/详细测算代码!
https://bbs.pinggu.org/thread-16395511-1-1.html
13、【顶刊变量合集】2009-2024年上市公司企业冗余资源数据集,NPR/AS/PR多指标面板数据!
https://bbs.pinggu.org/thread-16394378-1-1.html
14、【推荐】2003-2024年上市公司企业经济增加值EVA数据合集,附详细原始数据、计算说明!
https://bbs.pinggu.org/thread-12204682-1-1.html
15、【原文指标】2010-2024年企业省市15个版本新质生产力数据大全,原始数据和万能代码!
https://bbs.pinggu.org/thread-12206190-1-1.html
16、【全面更新】1990-2023年制造业上市公司指标大全,近2000个变量,勘误了大量错误!!
https://bbs.pinggu.org/thread-12243863-1-1.html
17、【推荐】2000-2025年2000+县级全变量全统计指标区县面板数据,近百个指标真实不造假!
https://bbs.pinggu.org/thread-16570504-1-1.html
18、【顶刊变量合集】2000年-2024年上市公司企业劳动生产率数据集,附原始数据+测算代码!
https://bbs.pinggu.org/thread-16214829-1-1.html
19、【推荐】2000-2023年上市公司大数据应用(普及)数据合集,附赠原始数据和万能代码!
https://bbs.pinggu.org/thread-12281787-1-1.html
20、【原文指标】2009-2023年全部上市公司绿色治理绩效数据合集,附原始数据,多重勘误!
https://bbs.pinggu.org/thread-12282408-1-1.html
21、【推荐】2000-2024年上市公司企业组织冗余/未吸收/已吸收冗余数据,附原始数据+代码!
https://bbs.pinggu.org/thread-16572668-1-1.html
22、【原文变量】1999-2023年上市公司持续绿色创新水平数据合集,赠原始数据,多重校对!
https://bbs.pinggu.org/thread-12286281-1-1.html
23、【完整匹配】2007-2016年税调完美匹配上市公司数据,赠2017年税调面板数据和万能清洗代码!
https://bbs.pinggu.org/thread-13372576-1-1.html
24、2001-2024年280+地级市互联网普及率数据+原始数据,宽带接入数等,数据真实准确不造假!
https://bbs.pinggu.org/thread-16290228-1-1.html
25、【多方法】2000-2024年上市公司企业供应链话语权数据集+代码,供应商/采购/客户/销售额!
https://bbs.pinggu.org/thread-16435713-1-1.html
26、【推荐】2000-2024年上市公司企业劳动投资效率+冗余雇佣+雇佣不足数据含原始数据+代码
https://bbs.pinggu.org/thread-16162141-1-1.html
27、【原文指标】2000-2023年上市公司内部薪酬差距数据大全,附原始数据、万能测算代码!
https://bbs.pinggu.org/thread-12383667-1-1.html
28、【全新】1998-2024年上市公司企业生命周期数据大全,4种方法结果含原始数据+详细代码!
https://bbs.pinggu.org/thread-16205134-1-1.html
29、【国际TOP论文数据】1991-2024年上市公司企业ZF连接度/暴露度/亲密度水平含原始数据!
https://bbs.pinggu.org/thread-16341624-1-1.html
30、【原文指标】2000-2023年工业企业-上市公司资源配置效率数据,附完美合并原始数据!!
https://bbs.pinggu.org/thread-12401893-1-1.html
31、【顶刊做法】1993-2023年省级、地级市气候风险指数CCPRI大全,中英文对照多版本一网打尽!
https://bbs.pinggu.org/thread-12402799-1-1.html
32、【推荐】2012-2023年上市公司企业供应链恢复力数据,附原始数据,全面更正同类错误!
https://bbs.pinggu.org/thread-12419400-1-1.html
33、【全面推荐】2012-2023年上市公司企业供应链抵抗力数据,全面升级校对、更正错误!!
https://bbs.pinggu.org/thread-12420322-1-1.html
34、【推荐】2006-2024年上市公司企业人员结构/人力资本/员工构成数据大全,50+指标全覆盖!
https://bbs.pinggu.org/thread-16336021-1-1.html
35、【推荐】2002-2023年制造业分行业出口数据合集,完美匹配省级面板,行业最多最新!!
https://bbs.pinggu.org/thread-12468860-1-1.html
36、【真原文指标】2004-2023年全部上市公司战略激进度数据合集,附原始数据、万能代码!
https://bbs.pinggu.org/thread-12489414-1-1.html
37、【推荐】2000-2024年省级+地级市绿色金融水平指数数据,含原始数据+代码+测算过程(31个省份+近350个城市)
https://bbs.pinggu.org/thread-16555086-1-1.html
38、【全新】2005-2025年中国全球投资追踪数据合集,母公司/东道国/交易金额/行业,官方数据
https://bbs.pinggu.org/thread-16571726-1-1.html
39、2000-2024年上市公司企业对外直接投资OFDI/对外投资规模数据集,附原始数据+可复现代码!多指标
https://bbs.pinggu.org/thread-16373132-1-1.html
40、【准确版】1995-2024年世界各国经济自由度(商业金融贸易投资劳动)合集,含分项数据!
https://bbs.pinggu.org/thread-12511545-1-1.html
41、【顶刊变量合集】2007-2024年上市公司市场竞争指标大全,20+变量含原始数据+测算代码,赫芬达尔+勒纳指数
https://bbs.pinggu.org/thread-16169284-1-1.html
42、【顶刊指标】2008-2024年上市公司企业碳减排/二氧化碳/碳排放数据集,真实数值不造假!
https://bbs.pinggu.org/thread-16571350-1-1.html
43、【全新推荐】2001-2023年上市公司数字技术应用广度、深度数据,附原始数据和分项!!
https://bbs.pinggu.org/thread-12520462-1-1.html
44、【顶刊热门变量】2002-2025年290+地级市绿色发展关注度面板数据,附原始分项数据+文献!
https://bbs.pinggu.org/thread-16561549-1-1.html
45、【24年更新】2000-2023年上市公司财务杠杆、经营杠杆、综合杠杆数据,6K家企业无遗漏!
https://bbs.pinggu.org/thread-12524105-1-1.html
46、2001-2024年上市公司企业供应链集中度/客户集中度/供应商集中度数据,多版本含原始数据
https://bbs.pinggu.org/thread-16355517-1-1.html
47、【全新24年版】2015-2024年上市公司完美匹配ZF采购合同数据,30个指标11万观测值!
https://bbs.pinggu.org/thread-12527094-1-1.html
48、【多指标】2000-2024年300+地级市产业结构升级+产业结构高级化水平数据,真实值不造假!
https://bbs.pinggu.org/thread-16017428-1-1.html
49、【全新推荐】1999-2023年上市公司人工智能水平数据合集,附原始数据、分项数据!
https://bbs.pinggu.org/thread-12539794-1-1.html
50、【全新顶刊】2014-2024年上市公司绿色债券数据合集,几十个指标5000家企业最全面!
https://bbs.pinggu.org/thread-12540554-1-1.html
51、【顶刊常用指标】1992-2023年省级、地级市、县区级夜间灯光数据大全,囊括所有尺度!!
https://bbs.pinggu.org/thread-12541940-1-1.html
52、【全新推荐】2006-2023年上市公司绿色投资者数据大全,附原始数据、公司信息,自用!
https://bbs.pinggu.org/thread-12551490-1-1.html
53、【顶刊变量】2000-2024年上市公司诉讼风险数据集+诉讼仲裁明细,附原始数据+测算代码!
https://bbs.pinggu.org/thread-16301022-1-1.html
54、【全新推荐】2009-2024年上市公司漂绿数据合集,附赠原始数据、测算过程、万能代码!
https://bbs.pinggu.org/thread-12562044-1-1.html
55、【全新推荐】2000-2023年中国对各国商品贸易进出口数据大全,近300个国家无遗漏!
https://bbs.pinggu.org/thread-12563214-1-1.html
56、【300+变量】1998年-2024年上市公司企业数据要素利用水平数据集,人工智能区块链云计算
https://bbs.pinggu.org/thread-16250729-1-1.html
57、【变量齐全】1949-2023年高新技术企业全统计指标面板数据,全变量!近50万家企业!
https://bbs.pinggu.org/thread-12569016-1-1.html
58、【推荐】2001-2023年上市公司与商业银行金融科技水平数据,附原始数据和8篇权威文献!
https://bbs.pinggu.org/thread-12570105-1-1.html
59、【全新】1999-2023年上市公司员工学历(受教育程度)与工资薪酬指标大全,几十个指标!
https://bbs.pinggu.org/thread-12571698-1-1.html
60、【全新全面】2007-2016年税收调查数据匹配企业指标大全,附万能清洗代码,百万数据量!
https://bbs.pinggu.org/thread-12584243-1-1.html
61、【全新】2000-2024年上市公司企业价值链升级/工业增加值数据合集,附原始数据+代码!
https://bbs.pinggu.org/thread-16570937-1-1.html
62、【指标齐全】2000-2023年商业银行全变量指标大全,近一百个指标,适合所有实证研究!
https://bbs.pinggu.org/thread-13163975-1-1.html
63、【全新推荐】1989-2023年上市公司专利明细数据全指标合集,几十个变量,四百万数据量!
https://bbs.pinggu.org/thread-12598040-1-1.html
64、【顶刊全新】2000-2025年上市公司企业耐心资本投资数据合集,附原始数据+可复现代码!
https://bbs.pinggu.org/thread-16560270-1-1.html
65、【20+指标】2011-2025年上市公司企业IPO首次公开发行数据合集,附原始数据,顶刊好用!
https://bbs.pinggu.org/thread-16556298-1-1.html
66、【准确全新】2010-2023年省级制造业分行业出口技术复杂度,含原始数据,公式与测算过程!
https://bbs.pinggu.org/thread-12638082-1-1.html
67、【更新全面】2003-2023年上市公司治理水平数据合集,附详细原始数据,原文一致!!
https://bbs.pinggu.org/thread-12682927-1-1.html
68、【变量齐全】2014-2024年ZF绿色采购全变量面板数据,近30万数据量,好指标最全最多!
https://bbs.pinggu.org/thread-12688976-1-1.html
69、2011-2023最全地级市,县区级,省级数字普惠金融指数与广度,深度,数字化程度等分项指标!
https://bbs.pinggu.org/thread-12703954-1-1.html
70、【更新变量齐全】1957-2024年全指标人工智能企业数据大全,近300万数据量,权威方法匹配
https://bbs.pinggu.org/thread-12706658-1-1.html
71、【变量齐全】2005-2023年省级区域创新指标大全,几十个变量适合各大方向!显著性好!
https://bbs.pinggu.org/thread-12709707-1-1.html
72、2000-2024年上市公司企业违约概率风险EDF/事后违约概率Violate数据集,含原始数据+代码
https://bbs.pinggu.org/thread-16571831-1-1.html
73、【全新准确】2012-2023年上市公司、省级地级市工业机器人、机器人专利全指标数据合集!
https://bbs.pinggu.org/thread-12829696-1-1.html
74、【顶刊全新】2007-2024年上市公司企业非生产性成本/非生产性支出数据,附原始数据+代码
https://bbs.pinggu.org/thread-16573124-1-1.html
75、1986-2024年340+地级市人工智能专利数据合集,申请量/获得量/分类法/关键词法,多指标!
https://bbs.pinggu.org/thread-16568625-1-1.html
76、1990-2024年上市公司企业人工智能专利数据合集,申请量/获得量/分类法/关键词法,多指标
https://bbs.pinggu.org/thread-16568594-1-1.html
77、2012-2024年上市公司工业机器人渗透率数据集(人工智能发展水平),含原始数据+过程数据!
https://bbs.pinggu.org/thread-16262539-1-1.html
78、【变量齐全】2000-2023年上市公司研发投入、研发创新数据大全,多指标,显著性好!
https://bbs.pinggu.org/thread-12881214-1-1.html
79、【准确真实】1986-2024年300+地级市数字经济政策统计数据与词频数据合集,100W观测值!
https://bbs.pinggu.org/thread-12885933-1-1.html
80、2012-2024年上市公司上下游供应链协同创新数据集,含原始数据(客户/供应商/专利)+代码!
https://bbs.pinggu.org/thread-16383144-1-1.html
81、【顶刊方法合集】1990-2024年上市公司重污染企业认定面板数据,含测算代码+多方法文献!
https://bbs.pinggu.org/thread-15484370-1-1.html
82、【顶刊热门变量】2000-2024年上市公司企业战略差异度数据合集,附原始数据+测算代码!
https://bbs.pinggu.org/thread-16368396-1-1.html
83、【多方法】2005-2024年上市公司全要素生产率TFP数据,含原始数据+OLS/FE/LP/OP/GMM代码
https://bbs.pinggu.org/thread-15303881-1-1.html
84、【顶刊变量】2006-2023年上市公司高管超额在职消费+隐性腐败数据,附原始数据+万能代码
https://bbs.pinggu.org/thread-14378471-1-1.html
85、【全新】2015-2024年上市公司企业新质生产力数据合集,顶刊指标体系,原始数据全公开!
https://bbs.pinggu.org/thread-16571715-1-1.html
86、2000-2024年近300+地级市GDP/人均GDP/一二三产业增加值数据大全,官方真实数值不造假!
https://bbs.pinggu.org/thread-16460544-1-1.html
87、【全口径】1992-2023年省级,地级市,县区,乡镇的基尼系数,泰尔指数,阿特金森指数大全!
https://bbs.pinggu.org/thread-12999056-1-1.html
88、1990-2024年上市公司企业绿色创新全变量数据大全,近20种方法!附原始数据+详细代码!
https://bbs.pinggu.org/thread-16573254-1-1.html
89、【顶刊变量】2000-2024年上市公司融资约束KZ,SA,FC,WW指数数据,附原始数据和分项系数!
https://bbs.pinggu.org/thread-14599964-1-1.html
90、【全新全面】2015-2023年上市公司ESG分歧8种模型结果,赠多版本ESG原始数据,万能代码!
https://bbs.pinggu.org/thread-13017270-1-1.html
91、【顶刊变量】2007-2024年上市公司企业创新韧性数据合集,含原始数据+测算代码,30+指标!
https://bbs.pinggu.org/thread-16359180-1-1.html
92、【近百个指标】2007-2023年地级市,省级地方债,ZF债,隐性债,城投债等债务数据指标大全!
https://bbs.pinggu.org/thread-13052110-1-1.html
93、【真实可复现】1991-2024年上市公司风险承担水平数据,含原始数据+顶刊多方法测算代码!
https://bbs.pinggu.org/thread-15541152-1-1.html
94、【24准确版】2000-2023年地级市固定资产投资额,已基于此发3篇CSSCI,真实值不造假!
https://bbs.pinggu.org/thread-13075314-1-1.html
95、【顶刊原文指标】2000-2023年上市公司多元化经营指标大全,附赠原始数据,万能测算代码!
https://bbs.pinggu.org/thread-13091651-1-1.html
96、【顶刊变量】1999-2023年上市公司环保处罚数据合集,官方数值不造假,已发3篇CSSCI!
https://bbs.pinggu.org/thread-14164692-1-1.html
97、【推荐】2000-2025年300+地级市全变量全统计指标面板数据,前沿方向全覆盖真实不造假!
https://bbs.pinggu.org/thread-16567738-1-1.html
98、【顶刊全新指标】2000-2023年熵值法省级城乡融合发展水平,赠原始数据,最权威指标体系!
https://bbs.pinggu.org/thread-13163970-1-1.html
99、1990-2024年上市公司企业数字投资/数字固定资产投资/数字无形资产投资+原始数据+代码!
https://bbs.pinggu.org/thread-16429461-1-1.html
100、【顶刊全新】2000-2024年上市公司企业交易成本数据合集,附原始数据+测算代码+文献!
https://bbs.pinggu.org/thread-16562958-1-1.html
二维码

扫码加我 拉你入群

请注明:姓名-公司-职位

以便审核进群资格,未注明则拒绝

昨天 11:22
如果帖子里明确说了有代码,这份资料的代码都会很详细、一目了然,方便使用参考。
二维码

扫码加我 拉你入群

请注明:姓名-公司-职位

以便审核进群资格,未注明则拒绝

昨天 11:32
我的研究方向是应用计量与金融统计,所以您购买后之后有建模选题等问题随时与我沟通,我解答不好的给您问其他教授研究员给您解答。
二维码

扫码加我 拉你入群

请注明:姓名-公司-职位

以便审核进群资格,未注明则拒绝

昨天 11:33
本账号分享的数据承诺不虚假宣传,用心提供服务,您有任何需要直接通过论坛私信我,一定尽力满足!
二维码

扫码加我 拉你入群

请注明:姓名-公司-职位

以便审核进群资格,未注明则拒绝

点击查看更多内容…
栏目导航
热门文章
推荐文章

说点什么

分享

扫码加好友,拉您进群
各岗位、行业、专业交流群