全部版块 我的主页
论坛 提问 悬赏 求职 新闻 读书 功能一区 经管文库(原现金交易版)
1147 10
2025-02-27
【本账号为论坛唯一财经院校在职科研青椒和所在课题组共同分享原创数据的账号,不插值不造假准确版数据,真实可复现24小时秒回答疑(建模选题数据爬取申博考研公开发表C刊等均可帮助)入驻论坛4年好评无数,帮助近百位学子完成毕业论文和几十位青年教师发表核心论文、晋升职称,倒卖本账号资料抄袭我文案者后继无人、诸事不顺、穷苦一生

附件为全新测算的
2003-2023
年上市公司经营风险数据合集附赠全部原始数据、全适用测算代码(可自行替换指标测算企业某方向的风险)和参考文献,多指标全覆盖。同时提供dta和xlsx格式和剔除金融业STPT公司与未剔除的面板数据。2025版准确数值、无一插值拟合,不造假,无遗漏缺失样本,经营风险是热门指标,相关主题多次登顶《金融研究》《金融经济学》、JFE等国内外顶刊,我有信心这是好用版本数据!适合资本市场、公司治理、新质生产力、高质量发展等各大方向的实证研究!适合用作解释变量、被解释变量、中介变量、机制检验、调节变量或稳健性检验等,统计显著性可靠。本人所在课题组已基于此发表1篇CSSCI和1篇SSCI,盲审专家对本指标工作量给予高度评价。

【方法概述】
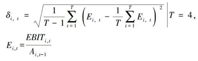
参考学界权威高被引文献即王竹泉(2017)的做法,改进John et al.(2008)与Acharya et al.(2011)提出的指标,有充分的理论证据证明,公司的经营风险与盈利波动性正相关。因此采用企业盈利的波动程度来量化经营风险。模型如下图:
公式.png
如公式所示,利用第t-4年至t-1年(四年)的息税折旧摊销前利润率滚动取值的标准差计算经营风险比如,某公司2007年的经营风险是该公司2003-2006年息税折旧摊销前利润率的标准差,2008年的经营风险是该公司2004-2007年息税折旧摊销前利润率的标准差,该公司以后各年的经营风险以此类推。
另外,由于按这种方法计算的经营风险不服从正态分布,所以进一步计算了代表经营风险的息税折旧摊销前利润率标准差的累积分布概率,
并用息税折旧摊销前利润率标准差的累积分布概率来衡量经营风险Risk,可用作稳健性检验替换指标。(上述涉及的所有原始指标均一起打包在附件中)


网传各种经营风险数据是完完全全的错误数据,造假后的资料!大量运用线性插值法拟合,利润率原始数据出现大量极端值,错漏连篇,非常不可靠;统计口径也有问题,严重有害科研工作;我们完美解决!(欢迎私信询问细节)附件为2025年新版,多重勘误校对后版本,无缺失值、无拟合值、不造假,根据代码做可复现。

【参考文献】
王竹泉,王贞洁,李静.经营风险与营运资金融资决策[J].会计研究,2017,000(005):60-67.

点击下方链接购买↓↓↓(2025年全新无插值不造假可复现数据,别拿盗版公众号资料和我比)



售后服务立送(在线答疑24h回复,之后若更新上市公司风险数据免费给您更新,私信索要


即日起,凡是在论坛下载本ID发布数据的同学,我会尽课题组全力为您提供经济、金融、管理学科的“1v1点对点售后”,即为您发表文章、申请硕博提供精确到期刊、导师的支持。例如,您想申请厦大经济研究院的博士,或考研(保研)的梦校是南开,我会尽全力为您联系到具体的科研秘书或对应的行政人员、教授给您1v1的辅导(我作为沟通媒介)甚至拿到考核真题(至少是历年真题);如果想发表《统计研究》《数量经济技术经济研究》《管理科学》《统计与决策》《财贸经济》《经济经纬》《经济地理》《科技进步与对策》等期刊,我会提供我所在课题组的全力支持(包括以我为中间人联系到个别盲审专家、根据我所在学院发表经验给您针对性的实证指导),请别担心,本人现担任某经管院行政秘书和讲师,提供的数据和服务不夸大其词。某些倒卖数据的公众号、团队和个人请具备最基本的底线。

原创数据,请勿转售获利;数据文件售出后无法退换,与本贴描述保证一致,请确认有需求后购买。
我发布的数据可以实现论坛内24小时在线答疑解惑,欢迎您咨询各大方向的科研数据,批量购买可享优惠。


本人在职科研青椒一枚(数量经济与金融统计方向),深知学术不易,入驻论坛4年分享数据质量有目共睹,好评如潮(附好评截图),包售后,有问题随时交流。


2025年数据服务全新起航!记得喝杯咖啡~感谢您和论坛支持原创整理数据!


附件列表
..png

原图尺寸 163 Bytes

..png

二维码

扫码加我 拉你入群

请注明:姓名-公司-职位

以便审核进群资格,未注明则拒绝

全部回复
2025-2-28 10:08:49
以下为2025热门前沿系列数据,支持数据查询与私信定制:
1、【迄今最全】实证方法与STATA万能命令代码大全,附赠万条傻瓜式命令合集与速查手册!
https://bbs.pinggu.org/thread-12011858-1-1.html
2、【推荐】1991-2022年上市公司组织韧性数据合集,附赠原始数据、万能代码、权威文献!
https://bbs.pinggu.org/thread-12025334-1-1.html
3、【可复现】1999-2023年上市公司产能利用率数据,含原始数据、万能测算代码,权威方法
https://bbs.pinggu.org/thread-12027301-1-1.html
4、【推荐】1990-2023年300+地级市全变量全统计指标面板数据合集,所有研究方向全覆盖!
https://bbs.pinggu.org/thread-12042158-1-1.html
5、【最全变量】2015-2022年1000+县级城市建设(城建)指标数据集,近300变量一网打尽!
https://bbs.pinggu.org/thread-12081060-1-1.html
6、【推荐】2002-2022年地级市、县级市城市建设(城建)指标面板数据,近400变量全覆盖!
https://bbs.pinggu.org/thread-12083628-1-1.html
7、【原创】1992-2022年上市公司各类污染物排放量、碳排放量数据合集,与权威论文一致!
https://bbs.pinggu.org/thread-12106460-1-1.html
8、【全新测算】2000-2023年地级市乡村振兴水平测算结果与原始数据,万能指标一网打尽!
https://bbs.pinggu.org/thread-12114813-1-1.html
9、【独家】2000-2023年上市公司债务融资成本数据,含原始数据、万能代码和6篇权威文献!
https://bbs.pinggu.org/thread-12115721-1-1.html
10、【优质】2000-2023年上市公司商业信用数据,含原始数据、万能测算代码和6篇权威文献!
https://bbs.pinggu.org/thread-12116198-1-1.html
11、【万能数据】2019-2024年上市公司-银行贷款借贷融资数据合集,近50指标,12万观测值!
https://bbs.pinggu.org/thread-12119736-1-1.html
12、【全类别】2000-2024年上市公司、各国、省级经济政策不确定性、环境不确定性指数大全
https://bbs.pinggu.org/thread-12136223-1-1.html
13、【2024最全】2000-2023年上市公司全种类税收变量大合集,三重校对附赠6篇权威文献!
https://bbs.pinggu.org/thread-12186832-1-1.html
14、【推荐】2003-2024年上市公司企业经济增加值EVA数据合集,附详细原始数据、计算说明!
https://bbs.pinggu.org/thread-12204682-1-1.html
15、【原文数据】2010-2024年企业省市15个版本新质生产力数据大全,原始数据和万能代码!
https://bbs.pinggu.org/thread-12206190-1-1.html
16、【最新最全】1990-2023年制造业上市公司指标大全,近2000个变量,勘误了大量错误!!
https://bbs.pinggu.org/thread-12243863-1-1.html
17、【全新】2000-2022年2000+县级统计指标大合集,近90个变量无拟合,适合科研所有方向!
https://bbs.pinggu.org/thread-12256229-1-1.html
18、【推荐】1994-2023年上市公司公众(媒体)关注度数据合集,含原始数据近6000家企业!
https://bbs.pinggu.org/thread-12279599-1-1.html
19、【推荐】2000-2023年上市公司大数据应用(普及)数据合集,附赠原始数据和万能代码!
https://bbs.pinggu.org/thread-12281787-1-1.html
20、【原文数据】2009-2023年全部上市公司绿色治理绩效数据合集,附原始数据,多重勘误!
https://bbs.pinggu.org/thread-12282408-1-1.html
21、【独家最全】2007-2023年上市公司企业合作文化数据合集,附原始数据,近100W数据量!
https://bbs.pinggu.org/thread-12282905-1-1.html
22、【原文数据】1999-2023年上市公司持续绿色创新水平数据合集,赠原始数据,多重校对!
https://bbs.pinggu.org/thread-12286281-1-1.html
23、【独家】2007-2016年税调完美匹配上市公司数据,赠2017年税调面板数据和万能清洗代码!
https://bbs.pinggu.org/thread-13372576-1-1.html
24、【原文数据】2000-2023年全部上市公司企业数字金融认知数据,附原始数据和万能代码!
https://bbs.pinggu.org/thread-12319017-1-1.html
25、【原文数据】2000-2023年上市公司股价同步性数据大全,附原始数据,六种方法结果!!
https://bbs.pinggu.org/thread-12324590-1-1.html
26、【原文数据】2007-2023年上市公司耐心资本数据大全,附原始数据和测算代码,多方法!
https://bbs.pinggu.org/thread-12325188-1-1.html
27、【原文数据】2000-2023年上市公司内部薪酬差距数据大全,附原始数据、万能测算代码!
https://bbs.pinggu.org/thread-12383667-1-1.html
28、【原文数据】2004-2023年企业社会信任数据合集,所有省区,6000家企业,权威多指标!
https://bbs.pinggu.org/thread-12383901-1-1.html
29、【原文数据】2004-2023年上市公司审计师忙碌程度数据合集,附原始数据、万能代码!!
https://bbs.pinggu.org/thread-12397235-1-1.html
30、【原文数据】2000-2023年工业企业-上市公司资源配置效率数据,附完美合并原始数据!!
https://bbs.pinggu.org/thread-12401893-1-1.html
31、【权威】1993-2023年省级、地级市气候风险指数CCPRI大全,中英文对照多版本一网打尽!
https://bbs.pinggu.org/thread-12402799-1-1.html
32、【推荐】2012-2023年上市公司企业供应链恢复力数据,附原始数据,全面更正同类错误!
https://bbs.pinggu.org/thread-12419400-1-1.html
33、【权威推荐】2012-2023年上市公司企业供应链抵抗力数据,全面升级校对、更正错误!!
https://bbs.pinggu.org/thread-12420322-1-1.html
34、【推荐】2006-2023年上市公司人力资本、人员构成、员工结构数据大全,史上指标最多!
https://bbs.pinggu.org/thread-12425095-1-1.html
35、【权威】2002-2023年制造业分行业出口数据合集,完美匹配省级面板,行业最多最新!!
https://bbs.pinggu.org/thread-12468860-1-1.html
36、【真原文数据】2004-2023年全部上市公司战略激进度数据合集,附原始数据、万能代码!
https://bbs.pinggu.org/thread-12489414-1-1.html
37、【更新】2000-2023年全部上市公司股权激励数据大全,近8万观测值多种方法一网打尽!!
https://bbs.pinggu.org/thread-12492732-1-1.html
38、【权威】2005-2023年全部中国企业OFDI对外直接投资数据大全,万家企业几十个指标!!
https://bbs.pinggu.org/thread-12501341-1-1.html
39、【权威推荐】1997-2022年上市公司对外直接投资OFDI数据大全,多指标,近20万观测值!
https://bbs.pinggu.org/thread-12510440-1-1.html
40、【权威】1995-2024年世界各国经济自由度(商业金融贸易投资劳动)合集,含分项数据!
https://bbs.pinggu.org/thread-12511545-1-1.html
41、【指标最多】2003-2023年上市公司市场竞争数据合集,赫芬达尔、勒纳指数、行业集中度!
https://bbs.pinggu.org/thread-12511633-1-1.html
42、【推荐】2000-2024年上市公司地级市环境政策DID数据大全,绿色环保低碳新能源7种方法!
https://bbs.pinggu.org/thread-12519016-1-1.html
43、【权威推荐】2001-2023年上市公司数字技术应用广度、深度数据,附原始数据和分项!!
https://bbs.pinggu.org/thread-12520462-1-1.html
44、【原文数据】1999-2023年上市公司生命周期数据大全,多方法,附原始数据和万能代码!
https://bbs.pinggu.org/thread-12522100-1-1.html
45、【24年最新】2000-2023年上市公司财务杠杆、经营杠杆、综合杠杆数据,6K家企业无遗漏!
https://bbs.pinggu.org/thread-12524105-1-1.html
46、【权威24年版】2014-2023年全球企业绿色供应链数据合集,多指标,附赠珍藏版报告!!
https://bbs.pinggu.org/thread-12525685-1-1.html
47、【权威24最新】2015-2024年上市公司完美匹配ZF采购合同数据,30个指标11万观测值!
https://bbs.pinggu.org/thread-12527094-1-1.html
48、【24最新】1996-2024年全部ZF采购合同公告明细数据大全,几十个指标近500万数据量!
https://bbs.pinggu.org/thread-12530839-1-1.html
49、【权威23最新】1999-2023年上市公司人工智能水平数据合集,附原始数据、分项数据!
https://bbs.pinggu.org/thread-12539794-1-1.html
50、【权威24最新】2014-2024年上市公司绿色债券数据合集,几十个指标5000家企业最全面!
https://bbs.pinggu.org/thread-12540554-1-1.html
51、【权威24最新】1992-2023年省级、地级市、县区级夜间灯光数据大全,囊括所有尺度!!
https://bbs.pinggu.org/thread-12541940-1-1.html
52、【独家24最新】2006-2023年上市公司绿色投资者数据大全,附原始数据、公司信息,自用!
https://bbs.pinggu.org/thread-12551490-1-1.html
53、【独家】2008-2023年上市公司公共数据开放、ZF数据开放,附原始数据、万能代码!
https://bbs.pinggu.org/thread-12551543-1-1.html
54、【权威推荐】2009-2024年上市公司漂绿数据合集,附赠原始数据、测算过程、万能代码!
https://bbs.pinggu.org/thread-12562044-1-1.html
55、【权威!24最新】2000-2023年中国对各国商品贸易进出口数据大全,近300个国家无遗漏!
https://bbs.pinggu.org/thread-12563214-1-1.html
56、【全网独家】1987-2020年世界各国,全国,省级投入产出表官方版数据合集,全指标多口径!
https://bbs.pinggu.org/thread-13078957-1-1.html
57、【24独家权威】1949-2023年高新技术企业全统计指标面板数据,全变量!近50万家企业!
https://bbs.pinggu.org/thread-12569016-1-1.html
58、【推荐】2001-2023年上市公司与商业银行金融科技水平数据,附原始数据和8篇权威文献!
https://bbs.pinggu.org/thread-12570105-1-1.html
59、【全新】1999-2023年上市公司员工学历(受教育程度)与工资薪酬指标大全,几十个指标!
https://bbs.pinggu.org/thread-12571698-1-1.html
60、【真权威】2007-2016年税收调查数据匹配企业指标大全,附万能清洗代码,百万数据量!
https://bbs.pinggu.org/thread-12584243-1-1.html
61、【24独家权威】2017-2022年近300+地级市营商环境指数面板数据,50个分项指标赠送推导!
https://bbs.pinggu.org/thread-12584842-1-1.html
62、【重磅24最全】2000-2023年商业银行全变量指标大全,近一百个指标,适合所有实证研究!
https://bbs.pinggu.org/thread-13163975-1-1.html
63、【24更新】1989-2023年上市公司专利明细数据全指标合集,几十个变量,四百万数据量!
https://bbs.pinggu.org/thread-12598040-1-1.html
64、【顶刊原文数据】2000-2023年上市公司多元化经营指标大全,附赠原始数据,万能测算代码!
https://bbs.pinggu.org/thread-13091651-1-1.html
65、【全新匹配】2012-2023年地级市城市POI兴趣点数据大全,数亿观测值,近50G巨大数据量!
https://bbs.pinggu.org/thread-12633304-1-1.html
66、【24独家】2010-2023年省级制造业分行业出口技术复杂度,含原始数据,公式与测算过程!
https://bbs.pinggu.org/thread-12638082-1-1.html
67、【权威24测算】2003-2023年上市公司治理水平数据合集,附详细原始数据,原文一致!!
https://bbs.pinggu.org/thread-12682927-1-1.html
68、【24全新】2014-2024年ZF绿色采购全变量面板数据,近30万数据量,好指标最全最多!
https://bbs.pinggu.org/thread-12688976-1-1.html
69、2011-2023最全地级市,县区级,省级数字普惠金融指数与广度,深度,数字化程度等分项指标!
https://bbs.pinggu.org/thread-12703954-1-1.html
70、【24最新独家】1957-2024年全指标人工智能企业数据大全,近300万数据量,权威方法匹配
https://bbs.pinggu.org/thread-12706658-1-1.html
71、【完美面板】2005-2023年省级区域创新指标大全,几十个变量适合各大方向!显著性好!
https://bbs.pinggu.org/thread-12709707-1-1.html
72、【24更新】2010-2023年260+地级市电子商务交易额面板数据,学界最权威做法,不插值!
https://bbs.pinggu.org/thread-12726179-1-1.html
73、【独家24】2012-2023年上市公司、省级地级市工业机器人、机器人专利全指标数据合集!
https://bbs.pinggu.org/thread-12829696-1-1.html
74、【24全新】2007-2023年上市公司环保补贴补助大合集,多指标,赠原始数据和万能代码!
https://bbs.pinggu.org/thread-12835002-1-1.html
75、【重磅24原创】1991-2023年上市公司人工智能专利申请与获得数据,全类型,赠方法文档!
https://bbs.pinggu.org/thread-12870715-1-1.html
76、【重磅24原创】1991-2023年300+地级市人工智能专利申请与获得数据,多指标全类型!!
https://bbs.pinggu.org/thread-12870721-1-1.html
77、【独家24权威】2004-2023年上市公司内部交易数据合集,多指标面板近20W观测值!更新!
https://bbs.pinggu.org/thread-12876146-1-1.html
78、【24重磅最新】2000-2023年上市公司研发投入、研发创新数据大全,多指标,显著性好!
https://bbs.pinggu.org/thread-12881214-1-1.html
79、【重磅独家】1986-2024年300+地级市数字经济政策统计数据与词频数据合集,100W观测值!
https://bbs.pinggu.org/thread-12885933-1-1.html
80、【顶刊指标】2003-2023年上市公司企业寻租,超额管理费用数据大全,附原始数据,万能代码
https://bbs.pinggu.org/thread-13420495-1-1.html
81、【独家重磅】1999-2024年全部上市公司关联交易数据大全,多指标多方法近100W观测值!
https://bbs.pinggu.org/thread-12893736-1-1.html
82、【24真权威】2007-2023年上市公司影子银行数据大全,信用中介信用链条多指标全覆盖!
https://bbs.pinggu.org/thread-12895330-1-1.html
83、【权威24做法】2007-2023年商业银行层面影子银行数据大全,几十个变量赠指标定义表!
https://bbs.pinggu.org/thread-12896045-1-1.html
84、【独家变量】1990-2022年上市公司分红送股面板数据,几十个顶刊常用指标,近12W观测!
https://bbs.pinggu.org/thread-12901085-1-1.html
85、【重磅测算】2011-2023年最权威指标体系版上市公司新质生产力水平,原始数据全公开!
https://bbs.pinggu.org/thread-12970063-1-1.html
86、【权威24最全】2000-2023年地级市GDP相关(国民经济)数据合集,几十个指标,赠省级数据!
https://bbs.pinggu.org/thread-12986513-1-1.html
87、【全口径】1992-2023年省级,地级市,县区,乡镇的基尼系数,泰尔指数,阿特金森指数大全!
https://bbs.pinggu.org/thread-12999056-1-1.html
88、【权威24测算】2007-2023年上市公司非控股股东退出威胁数据合集,附原始数据,万能代码!
https://bbs.pinggu.org/thread-13004059-1-1.html
89、【权威!】2000-2023年上市公司定价效率,价格延迟(价格滞后)数据,附原始数据,万能代码
https://bbs.pinggu.org/thread-13013009-1-1.html
90、【权威测算】2015-2023年上市公司ESG分歧8种模型结果,赠多版本ESG原始数据,万能代码!
https://bbs.pinggu.org/thread-13017270-1-1.html
91、【顶刊原文数据】2009-2023年上市公司经营杠杆数据合集,附赠原始数据,万能清洗代码!
https://bbs.pinggu.org/thread-13044538-1-1.html
92、【近百个指标】2007-2023年地级市,省级地方债,ZF债,隐性债,城投债等债务数据指标大全!
https://bbs.pinggu.org/thread-13052110-1-1.html
93、【24全新推荐】2009-2024年全部上市公司风投持股(风险投资)数据大全,几十指标全覆盖!
https://bbs.pinggu.org/thread-13060478-1-1.html
94、【24最准确】2000-2023年地级市固定资产投资额,已基于此发3篇CSSCI,真实值不造假!
https://bbs.pinggu.org/thread-13075314-1-1.html
95、【顶刊原文数据】2000-2023年上市公司多元化经营指标大全,附赠原始数据,万能测算代码!
https://bbs.pinggu.org/thread-13091651-1-1.html
96、【顶刊变量】1999-2023年上市公司环保处罚数据合集,官方数值不造假,已发3篇CSSCI!
https://bbs.pinggu.org/thread-14164692-1-1.html
97、【24顶刊指标】1999-2023年上市公司国企混改,非国有股东治理委派董监高,赠原始数据!
https://bbs.pinggu.org/thread-13137069-1-1.html
98、【顶刊24最新】2000-2023年熵值法省级城乡融合发展水平,赠原始数据,最权威指标体系!
https://bbs.pinggu.org/thread-13163970-1-1.html
99、【SSCI顶刊变量】1991-2023年上市公司绿色创新泡沫(溢出)数据,附原始数据+万能代码!
https://bbs.pinggu.org/thread-14154541-1-1.html
二维码

扫码加我 拉你入群

请注明:姓名-公司-职位

以便审核进群资格,未注明则拒绝

2025-2-28 10:44:52
2025全新各实证方向畅销数据,批量购买优惠折上折:(主页更全欢迎了解)
1、【全面更新】2007-2022年280+地级市绿色全要素生产率、原始数据与12篇权威文献!!!
https://bbs.pinggu.org/thread-11850636-1-1.html
2、【全新】2010-2025年省级地级市行政处罚案件数量与垄断罚款,没收金额各类数据大全
https://bbs.pinggu.org/thread-13935962-1-1.html
3、【已匹配】1998-2014年工业企业数据库和企业专利匹配结果(观测值近500万,手动清洗)
https://bbs.pinggu.org/thread-11223418-1-1.html
4、【指标丰富】1985-2021我国地级市全统计指标面板数据,适用任何研究方向!
https://bbs.pinggu.org/thread-11261776-1-1.html
5、【完美匹配】2000-2014年工企-海关数据库匹配数据,附赠全套上千条匹配代码!
https://bbs.pinggu.org/thread-11314007-1-1.html
6、【完美合并清洗】1998-2015工业企业数据库面板数据,附赠完美匹配代码和原始数据!
https://bbs.pinggu.org/thread-11370017-1-1.html
7、【官方】1981-2024年基金经理个人特征数据大全,含信息,工作经历,教育背景,管理基金等!
https://bbs.pinggu.org/thread-13828930-1-1.html
8、【2025新版】熵值法TOPSIS(熵权)全过程操作代码,赠理论公式+案例数据+详细解读,可复现
https://bbs.pinggu.org/thread-14035798-1-1.html
9、【重磅】2011-2023年省级绿色全要素生产率与分解项,原始数据,附赠控制变量和数理推导!
https://bbs.pinggu.org/thread-13903128-1-1.html
10、【重磅独家!】工业企业-海关-专利三库匹配面板数据!囊括三库所有变量,千万数据量!
https://bbs.pinggu.org/thread-11457013-1-1.html
11、【独家最全】2000-2021年共22年省级常用控制变量,任何方向都适合,权威来源,真实!
https://bbs.pinggu.org/thread-11468141-1-1.html
12、【准确无误】2000-2016海关-上市公司数据库完美匹配,附赠海关指标解释,百万条数据!
https://bbs.pinggu.org/thread-11476865-1-1.html
13、【独家重磅】1998-2014工业企业、专利、污染数据库三库匹配,附赠超详细处理代码!
https://bbs.pinggu.org/thread-11477031-1-1.html
14、【官方】1986-2024年专精特新企业全指标数据大全,财务指标专利股东高管人员信息全覆盖!
https://bbs.pinggu.org/thread-13554964-1-1.html
15、【原创最新最全】2002-2021省级产业结构升级(产业结构合理化、高级化)大合集!!!
https://bbs.pinggu.org/thread-11488825-1-1.html
16、【顶刊全新】2011-2023年31省份数字经济水平熵值法数据,原始数据+指标全公开可复现!
https://bbs.pinggu.org/thread-13942211-1-1.html
17、【最全最新】2001-2021地级市环境规制强度,多种方法原创测算,合集数据一网打尽!!
https://bbs.pinggu.org/thread-11496050-1-1.html
18、【独家】1949-2022专精特新企业信息数据库,4w+样本企业,长达74年间,夸张的数据量!
https://bbs.pinggu.org/thread-11497779-1-1.html
19、【已校对】2000-2016海关数据库分年数据,课题组自用,千万观测值,数十G大小!
https://bbs.pinggu.org/thread-11498525-1-1.html
20、【顶刊变量】2005-2023年上市公司国际化程度+海外业务收入数据,附原始数据+万能代码!
https://bbs.pinggu.org/thread-14204700-1-1.html
21、 2000-2021年上市公司DIB内部控制完整数据,涵盖全部A股公司(已更新2023年)
https://bbs.pinggu.org/thread-11534391-1-1.html
22、【顶刊原文变量】2008-2023年全国统一大市场水平省级面板数据,附原始数据+熵值法过程!
https://bbs.pinggu.org/thread-14091363-1-1.html
23、2005-2021企业诚信文化数据集,附赠原始数据、参考文献、过程代码!42000+观测值!
https://bbs.pinggu.org/thread-11535921-1-1.html
24、1953-2022省级,地级市,县区级金融机构网点数量大合集,附赠金融机构明细数据,百万观测
https://bbs.pinggu.org/thread-11537232-1-1.html
25、【官方正版】1997-2023年省级+上市公司樊纲市场化指数与分项数据,附赠全新万能代码!
https://bbs.pinggu.org/thread-14100781-1-1.html
26、【独家合集】1997-2022我国企业跨国并购海外并购详细数据,数万观测值,真实可靠!!
https://bbs.pinggu.org/thread-11539254-1-1.html
27、【官方】1980-2023年全地级市FDI外商投资额,外商新签合同数,协议投资额,真实值不造假!
https://bbs.pinggu.org/thread-13563345-1-1.html
28、【顶刊原文数据】2000-2023年上市公司数字化转型多版本数据大全,附原始数据,分项指标!
https://bbs.pinggu.org/thread-13507737-1-1.html
29、【官方全新】2002-2023年700+地级市,县级市城市建设(城建)数据大全,近400个稀缺指标!
https://bbs.pinggu.org/thread-13820564-1-1.html
30、【最全!】2000-2022全部A股上市公司审计数据大合集56000+观测值,审计意见审计费用等
https://bbs.pinggu.org/thread-11546924-1-1.html
31、【全面更新】2001-2021文构Wingo上市公司财经文本语调倾向数据合集,全指标,可代查!
https://bbs.pinggu.org/thread-11547345-1-1.html
32、【重磅最新】2012-2024年上市公司绿色并购(绿色兼并收购重组)数据合集,50+指标全覆盖!
https://bbs.pinggu.org/thread-13500846-1-1.html
33、【顶刊原文变量】2000-2022年2700+县级(县区)经济韧性数据合集,含原始数据+万能代码!
https://bbs.pinggu.org/thread-13946424-1-1.html
34、【权威最新】1991-2022全上市公司金融化程度数据,附赠原始数据、详细代码、参考文献
https://bbs.pinggu.org/thread-11548184-1-1.html
35、【三库匹配】1998-2014工企专利知识宽度完美数据集,220万观测值,附赠理论介绍!!
https://bbs.pinggu.org/thread-11548784-1-1.html
36、【一网打尽】1990-2022绿色专利绿色创新数据大合集,涵盖上市公司和省市级所有类型!
https://bbs.pinggu.org/thread-11549385-1-1.html
38、【重磅】1991-2024年上市公司专利引用与被引用数据大全,含各类数量与信息近百个变量!
https://bbs.pinggu.org/thread-13534336-1-1.html
39、【独家最新】2000-2022年400+地级市绿色金融指数,附赠所有原始数据、多篇参考文献!
https://bbs.pinggu.org/thread-11552864-1-1.html
40、【权威真实】2008-2022上市公司企业创新变量合集,45000+观测值,附赠权威参考文献!
https://bbs.pinggu.org/thread-11553460-1-1.html
41、【权威全面】2007-2022年上市公司财务指标分析数据大合集,上百个指标、数十万观测值
https://bbs.pinggu.org/thread-11553656-1-1.html
42、【一网打尽】2001-2022上市公司风险承担水平大合集,附赠原始数据、测算代码!
https://bbs.pinggu.org/thread-11554725-1-1.html
43、【三库合并】2000-2016年上市公司、工业企业全球价值链嵌入度GVC合集,赠送匹配后数据
https://bbs.pinggu.org/thread-11555191-1-1.html
44、【顶刊指标】2002-2024年省级地级市环境规制9大版本数据,赠方法总结和近40篇权威文献!
https://bbs.pinggu.org/thread-13785897-1-1.html
45、【官方全新】2001-2024年上市公司股权质押数据合集,含质押明细,股东信息几十个指标!
https://bbs.pinggu.org/thread-13845612-1-1.html
46、【最新合集】2012-2023上市公司碳排放权交易数据合集,多个指标,附赠详细变量解释!
https://bbs.pinggu.org/thread-11558189-1-1.html
47、【一网打尽】2008-2022最新上市公司能耗数据合集面板数据,3000多类能源,1.4W+观测值
https://bbs.pinggu.org/thread-11558581-1-1.html
48、【全网独家】国内价值链GVC数据合集,原始数据+清洗程序+测算代码+结果+详细说明!!
https://bbs.pinggu.org/thread-11567441-1-1.html
49、【官方最新】2002-2023年全部上市公司出口额数据,完整面板,真实值不造假已发CSSCI!
https://bbs.pinggu.org/thread-13780789-1-1.html
50、【最新合集】2008-2022所有上市公司绿色管理创新数据合集,提供原始数据,多个指标!
https://bbs.pinggu.org/thread-11603482-1-1.html
51、【独家】2006-2022年上市公司连锁股东数据合集,附赠原始数据、过程代码和参考文献!
https://bbs.pinggu.org/thread-11605746-1-1.html
52、【重磅全新】2015-2023年上市公司高质量发展水平,原始数据全公开,采用顶刊指标体系!
https://bbs.pinggu.org/thread-13799809-1-1.html
53、【刚刚更新】2002-2022年间我国省级细分产品出口数据合集,权威HS编码版本100%准确!
https://bbs.pinggu.org/thread-11610399-1-1.html
54、【权威整理】2001-2022年中国省级农产品进出口数据合集,一网打尽所有指标,100%准确
https://bbs.pinggu.org/thread-11617733-1-1.html
55、【完美整理】2014-2022年全球各国数字服务贸易壁垒面板数据,多种壁垒全部包含!!!
https://bbs.pinggu.org/thread-11617766-1-1.html
56、【权威整理】2014-2022年全球各国各地区服务贸易限制指数面板数据,100%全面真实!!
https://bbs.pinggu.org/thread-11617777-1-1.html
57、【顶刊变量】2002-2023年上市公司供应商稳定度与客户稳定度数据,附原始数据+万能代码!
https://bbs.pinggu.org/thread-14124604-1-1.html
58、【独家测算】2007-2022年上市公司绿色全要素生产率及其分解项,赠送8篇权威参考文献!
https://bbs.pinggu.org/thread-11628456-1-1.html
59、【权威整理】2007-2021年各国各行业全球价值链参与度与地位数据、世界银行ADB数据合集
https://bbs.pinggu.org/thread-11628565-1-1.html
60、【官方重磅】2005-2024年上市公司投资者关系管理,网络互动问答明细与实地调研数据合集
https://bbs.pinggu.org/thread-13575978-1-1.html
61、【已更新】2002-2023省级数字经济政策文本词频面板数据,多个方法一网打尽,完美面板
https://bbs.pinggu.org/thread-11635641-1-1.html
62、【史上最全】1996-2022年ZF采购合同详细信息面板数据,200W观测值,独家勘误版本!
https://bbs.pinggu.org/thread-11636641-1-1.html
63、【最全版本】1949-2022年末的我国企业明细信息面板数据大合集,10亿数据量,上百变量
https://bbs.pinggu.org/thread-11636710-1-1.html
64、【独家更新】2007-2022年上市公司企业价值链升级原始数据、中间过程与测算结果!
https://bbs.pinggu.org/thread-11640371-1-1.html
65、【独家合集】2000-2022上市公司供应链效率数据合集,权威方法一网打尽,售后服务完整
https://bbs.pinggu.org/thread-11640390-1-1.html
66、【原创测算】2007-2022年全上市公司产业链整合程度、专业化分工与供应链整合大合集!
https://bbs.pinggu.org/thread-11641096-1-1.html
67、【权威真实】2000-2021年中国海关数据库合集,全部变量,附赠详细代码与变量对照表!
https://bbs.pinggu.org/thread-11647337-1-1.html
68、【权威版本】1990-2022年世界各国的金融指标面板数据全集,上百个指标一次集齐无缺失
https://bbs.pinggu.org/thread-11664399-1-1.html
69、【刚刚更新】我国地级市空间计量矩阵大合集,一网打尽所有空间计量方法,2023多重勘误
https://bbs.pinggu.org/thread-11669375-1-1.html
70、【冬日更新】2000-2022年我国地级市数字经济发展指数,含原始数据和详细介绍文档!!
https://bbs.pinggu.org/thread-11674503-1-1.html
71、【重新测算】2006-2021年最新地级市绿色经济效率,附带校对后原始数据和数理推导!!
https://bbs.pinggu.org/thread-11674629-1-1.html
72、【顶刊变量合集】2000-2023年上市公司碳强度,碳绩效,碳排放量数据大全,附原始数据!!
https://bbs.pinggu.org/thread-13806053-1-1.html
73、【官方最新】2002-2023年全部上市公司出口额数据,完整面板,真实值不造假已发CSSCI!
https://bbs.pinggu.org/thread-13780789-1-1.html
74、【准确版本】2007-2020年制造业细分行业面板数据,行业和指标无一遗漏,来源权威!!
https://bbs.pinggu.org/thread-11689182-1-1.html
75、【官方全新】2000-2023年300+地级市,31省份通货膨胀率CPI,PPI与GDP平减价格指数大全!
https://bbs.pinggu.org/thread-14001715-1-1.html
76、【新年更新O.o】1985-2022年所有上市公司-绿色低碳专利完美匹配数据,包括原始数据!
https://bbs.pinggu.org/thread-11689652-1-1.html
77、1985-2022年上市公司专利知识宽度(创新质量)多种结果、全部原始数据和测算代码!!
https://bbs.pinggu.org/thread-11695462-1-1.html
78、【2024新春版】2002-2023年地级市环境规制环保数据,十余种统计多个版本一网打尽!!
https://bbs.pinggu.org/thread-11701603-1-1.html
79、【新春版本】1990-2023年我国省级全变量全指标面板数据大合集,三千个指标全覆盖!!
https://bbs.pinggu.org/thread-11730173-1-1.html
80、【3月最新】2013-2022年专精特新企业全指标面板数据合集,几十变量一网打尽,无遗漏!
https://bbs.pinggu.org/thread-11742911-1-1.html
81、【春日最新】1997-2023省级市场化指数(含分解项)匹配上市公司数据库合集,最新校对
https://bbs.pinggu.org/thread-11748593-1-1.html
82、【真原创】2010-2023年企业、省市四种方法新质生产力数据合集,原始数据和操作代码!
https://bbs.pinggu.org/thread-11770054-1-1.html
83、【官方数据】1990-2023年省级实际利用外商直接投资额+FDI外商投资水平,美元和RMB均有!
https://bbs.pinggu.org/thread-14189512-1-1.html
84、【原创合集】2023-2024年省级、地级市新质生产力热度指数面板数据,多种指标全包括!
https://bbs.pinggu.org/thread-11779594-1-1.html
85、【官方准确】1978-2023年全地级市进出口总额(含进口额出口额)真实值不造假已发CSSCI!
https://bbs.pinggu.org/thread-13568896-1-1.html
86、2005-2024年我国270+地级市新质生产力面板数据,提供原始数据,多重勘误不插值!
https://bbs.pinggu.org/thread-11807276-1-1.html
87、【真原创】2009-2022年熵值法地级市新质生产力、含原始数据、权重结果与代码!
https://bbs.pinggu.org/thread-11825295-1-1.html
88、【夏日独家】2012-2021年284个地级市地级市新质生产力,熵权法原始数据与计算代码!
https://bbs.pinggu.org/thread-11825327-1-1.html
89、【多种方法合集】2006-2023年上市公司脱实向虚程度/金融化水平合集,附原始数据与代码
https://bbs.pinggu.org/thread-11827714-1-1.html
90、【全新原创】2001-2022年上市公司企业绿色全要素生产率、分解项与测算代码,企业级!
https://bbs.pinggu.org/thread-11839884-1-1.html
92、【全网最全】2010-2023上市公司高管个人特征、董监高个人特质数据,百万数据量!!!
https://bbs.pinggu.org/thread-11850674-1-1.html
93、【全面更新】2000-2022县级统计指标面板数据,80+常用变量,2700+行政区,近7万观测!
https://bbs.pinggu.org/thread-11863574-1-1.html
94、【真实原创】2011-2023年上市公司新质生产力,附原始数据、详细代码与5篇权威文献!!
https://bbs.pinggu.org/thread-11879942-1-1.html
95、【已见刊】2012-2022年省级、地区级数字新质生产力,含原始数据、详细代码描述统计!
https://bbs.pinggu.org/thread-11880615-1-1.html
96、【全新合集】2003-2023年上市公司ZF补贴补助数据大合集,附赠代码和10篇权威文献!!
https://bbs.pinggu.org/thread-11908991-1-1.html
97、【全新测算】1999-2023上市公司全要素生产率TFP,含原始数据、代码和10篇权威文献!!
https://bbs.pinggu.org/thread-11904855-1-1.html
98、【准确测算】2008-2023年地级市前沿科技、人工智能、未来产业数据,附赠8篇权威文献!
https://bbs.pinggu.org/thread-11909707-1-1.html
99、【全网最全】1990-2023年上市公司全指标全变量数据合集,附赠万能清洗代码,1000+指标
https://bbs.pinggu.org/thread-11910659-1-1.html
100、【多重校对】2001-2023年上市公司上下游供应链匹配面板数据合集,附赠6篇权威文献!!
https://bbs.pinggu.org/thread-11911709-1-1.html
101、【全新测算】2005-2021年地级市高质量发展水平数据合集,附赠原始数据和8篇权威文献!
https://bbs.pinggu.org/thread-11928225-1-1.html
102、【官方全新】2007-2023年省级绿色税收全变量全指标数据合集,不插值不造假无缺失值!
https://bbs.pinggu.org/thread-14154114-1-1.html
103、【全网最全】2011-2022年省级农业农村全变量涉农面板数据合集,近40指标一网打尽!!
https://bbs.pinggu.org/thread-11947775-1-1.html
104、【最全合集】1949-2022年省级、地级市、县级碳排放与世界各国各类型碳排放数据大全!
https://bbs.pinggu.org/thread-11969134-1-1.html
105、【原创合集】2013-2024年碳排放权交易明细、碳排放市场数据大全,四重校对与勘误!!
https://bbs.pinggu.org/thread-11981118-1-1.html
106、【顶刊方法合集】1990-2023年上市公司企业代理成本数据合集,附原始数据+万能测算代码!
https://bbs.pinggu.org/thread-14018096-1-1.html
107、【推荐】2006-2023年上市公司创新能力、创新效率、创新质量合集,含原始数据和代码!
https://bbs.pinggu.org/thread-12006056-1-1.html
二维码

扫码加我 拉你入群

请注明:姓名-公司-职位

以便审核进群资格,未注明则拒绝

2025-2-28 15:54:40
感谢亲们的支持,我会继续努力、尽快更新,为您提供更优质的科研指导与数据定制服务!
二维码

扫码加我 拉你入群

请注明:姓名-公司-职位

以便审核进群资格,未注明则拒绝

2025-2-28 19:33:34
确实是非常棒的数据,谢谢“国贸小可爱”的分享,已经购买!
二维码

扫码加我 拉你入群

请注明:姓名-公司-职位

以便审核进群资格,未注明则拒绝

2025-2-28 19:40:20
很详细的数据,谢谢分享。
二维码

扫码加我 拉你入群

请注明:姓名-公司-职位

以便审核进群资格,未注明则拒绝

点击查看更多内容…
相关推荐
栏目导航
热门文章
推荐文章

说点什么

分享

扫码加好友,拉您进群
各岗位、行业、专业交流群