经管之家App
让优质教育人人可得
立即打开
全部版块
我的主页
›
论坛
›
站务区 十一区
›
高校院系合作版
›
中国人民大学统计学院
求条件期望
楼主
c3755
2939
15
收藏
2012-12-10
一个条件期望的推导.doc
大小:(38.5 KB)
马上下载
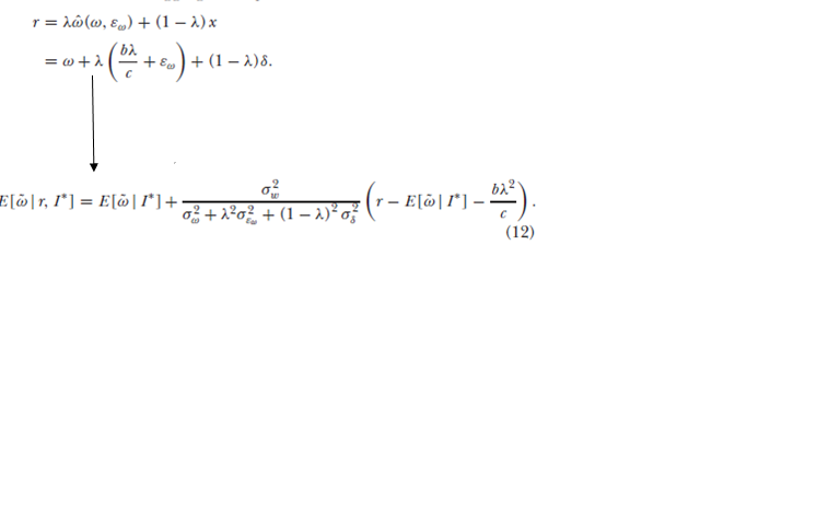
拜求解题过程!
扫码加我 拉你入群
请注明:姓名-公司-职位
以便审核进群资格,未注明则拒绝
全部回复
沙发
1285348053
2012-12-10 10:06:56
下载还要币
扫码加我 拉你入群
请注明:姓名-公司-职位
以便审核进群资格,未注明则拒绝
藤椅
c3755
2012-12-12 15:00:40
不会吧,我没有设定要币
我再修改一下
因为公式很繁琐
用的是图片
扫码加我 拉你入群
请注明:姓名-公司-职位
以便审核进群资格,未注明则拒绝
板凳
c3755
2012-12-12 15:06:37
我刚刚看了,不要币的呀
扫码加我 拉你入群
请注明:姓名-公司-职位
以便审核进群资格,未注明则拒绝
报纸
c3755
2012-12-12 15:11:25
我又整了一张图,应该用币吧
扫码加我 拉你入群
请注明:姓名-公司-职位
以便审核进群资格,未注明则拒绝
地板
lipj
2013-1-11 14:18:52
c3755 发表于 2012-12-12 15:11
我又整了一张图,应该用币吧
是哪本教材上的?
扫码加我 拉你入群
请注明:姓名-公司-职位
以便审核进群资格,未注明则拒绝
点击查看更多内容…
7楼
hejiang686
2013-1-27 22:10:01
同求
扫码加我 拉你入群
请注明:姓名-公司-职位
以便审核进群资格,未注明则拒绝
8楼
hyf871847437
2020-5-7 21:47:45
楼主我不太明白
扫码加我 拉你入群
请注明:姓名-公司-职位
以便审核进群资格,未注明则拒绝
9楼
gao2021
2020-5-8 02:00:45
?这是什么东西呢
扫码加我 拉你入群
请注明:姓名-公司-职位
以便审核进群资格,未注明则拒绝
10楼
2271182460
2020-5-11 21:40:47
?这是什么东西呢
扫码加我 拉你入群
请注明:姓名-公司-职位
以便审核进群资格,未注明则拒绝
11楼
三江鸿
2022-6-19 13:32:45
感谢分享
扫码加我 拉你入群
请注明:姓名-公司-职位
以便审核进群资格,未注明则拒绝
12楼
三江鸿
2022-6-29 18:22:09
点赞支持
扫码加我 拉你入群
请注明:姓名-公司-职位
以便审核进群资格,未注明则拒绝
13楼
三江鸿
2022-7-16 16:30:14
thanks for sharing
扫码加我 拉你入群
请注明:姓名-公司-职位
以便审核进群资格,未注明则拒绝
14楼
三江鸿
2022-8-8 13:17:16
thanks for 你的分享
扫码加我 拉你入群
请注明:姓名-公司-职位
以便审核进群资格,未注明则拒绝
15楼
三江鸿
2022-10-20 12:20:28
年复一年 人气依旧
点个赞续口气
扫码加我 拉你入群
请注明:姓名-公司-职位
以便审核进群资格,未注明则拒绝
16楼
悠悠仔
2023-2-24 16:51:50
点赞分享
扫码加我 拉你入群
请注明:姓名-公司-职位
以便审核进群资格,未注明则拒绝
相关推荐
条件期望与不相关
求条件期望和方差
求大牛们帮解答条件期望的问题: E(ßx|x)=ßx?
我糊涂了,请教一个有关条件期望的简单的小问题。谢谢
求教一道条件期望题!
求助一种概率题 二维变量离散性条件期望值
请教一道题做法 二维连续性随机变量条件期望 感激!
计量里的条件期望怎么求啊
问大家一个条件期望问题
求助,为什么同方差假定这里得到的方差是误差平方的无条件期望值?
栏目导航
中国人民大学统计学院
会计与财务管理
经管文库(原现金交易版)
真实世界经济学(含财经时事)
金融实务版
经管在职研
热门文章
一点写代码的心得:“你可别再重构了!”
2026价值投资者白皮书
2026年世界经济形势与展望(英)
2025新酒饮行业发展报告
现代数学译丛18变分分析与广义微分I 基础理 ...
机器学习不再是经管社科研究选择题,而是下 ...
CDA数据分析师实战:方差分析与F检验的业务 ...
CDA 认证考试大纲 2025 重磅更新:一二级考 ...
新宏观丨扩大内需的最大障碍是什么?
杨威老师的股海捕鱼
推荐文章
26年寒假天津站|Gemini论文写作&数据分析 ...
2026JG学术冬训营:从Stata初高到Python机器 ...
关于如何利用文献的若干建议
关于学术研究和论文发表的一些建议
关于科研中如何学习基础知识的一些建议 (一 ...
一个自编的经济学建模小案例 --写给授课本科 ...
AI智能体赋能教学改革: 全国AI教育教学应用 ...
2025中国AIoT产业全景图谱报告-406页
关于文献求助的一些建议
几种免费下载文献的方法----我的文献应助经
说点什么
分享
微信
QQ空间
QQ
微博
扫码加好友,拉您进群
各岗位、行业、专业交流群