全部版块 我的主页
论坛 经济学论坛 三区 马克思主义经济学
1151 3
2013-09-16

康庄之路--论市场经济条件下的生产关系(一) 扬子江  

引言

整个的资本主义市场经济学的基础理论,都是在一个基本的前提下展开的,这个基本的前提就是以生产资料的私有制为基础的资本主义生产关系。正是在这个前提下,建立起了资本主义的微观经济学,其中包括生产者如何组织生产的生产者行为理论和社会财富如何分配的分配理论;同时也是在这个前提下,建立起了资本主义的宏观经济学,包括国民收入决定理论、就业理论、通货膨胀理论、经济周期理论、经济增长理论、财政与货币政策等等。总之在所有这些理论中,生产关系并不属于研究的范畴,资本主义生产关系是一切研究的基本前提,是永恒不变的。  然而,现实的情况并非如此,市场经济作为一种经济运行方式,它并不是以资本主义生产关系为前提才能运行的。在市场经济条件下,可能存在多种形态的生产关系。如果我们对市场经济条件下的这些生产关系形态进行研究,将会得出与资本主义市场经济学完全不同的结论。


市场经济条件下的第一种生产关系

市场经济条件下的第一种生产关系形态具有资本主义的性质。这种生产关系的特征是: 企业的所有者(资本家)组织各种生产要素(包括资本,劳动,土地,等等),决定各种生产要素的配置比例,决定生产何种产品和生产多少;为各种生产要素支付报酬,并获取生产所得到的利润(扣除生产要素报酬和各项成本之后)。 为得出我们的结论,我们考察,在完全竞争的市场经济条件下,上述的企业如何配置各种生产要素,以实现企业的利润最大化。在本文中,我们只涉及两种最重要的生产要素:资本和劳动。这不会影响我们的讨论和由此得出的结论。 我们假定,企业的资本的数量已经确定,那么企业如何确定参与企业生产的劳动的数量,以实现企业的利润最大化。  关于这一问题,可以直接从西方微观经济学中找到答案: 企业生产的总产量,平均产量和边际产量随着参与生产的劳动的数量的连续投入而变化,其变化规律可以通过下图表示出来: 2.1.png 图一 由于理性的“经济人”假设,企业为实现利润最大化,它所确定的参与生产的劳动的数量一定在A点和B点之间。因为在I阶段,只要增加劳动量的投入,就能够提高MP,从而使TPAP都继续递增,因而企业不会停留在I阶段。企业也不会在III阶段进行生产,因为此阶段TP是递减的。因而企业一定会在II阶段进行生产,亦即将参与生产的劳动的数量确定在A点和B点之间。 为了确定企业究竟是将参与生产的劳动的数量确定在A点和B点之间的哪一点,我们将单位劳动的平均工资AW画在上面的图中。为了实现利润最大化,企业一定会将参与生产的劳动的数量确定在MP线和AW线的交点,即对应的C点上,因为在这一点上,劳动的边际成本恰等于其边际收益。   市场经济条件下的第三种生产关系 为了便于问题的阐述,我们先讨论市场经济条件下的第三种生产关系,最后再讨论市场经济条件下的第二种生产关系。 市场经济条件下的第三种生产关系形态具有社会主义的性质,它的特征是: 国家,或者企业的生产者组织各种生产要素(包括资本,劳动,土地,等等),决定各种生产要素的配置比例,决定生产何种产品和生产多少;为除去劳动之外的各种生产要素支付报酬,并获取生产所得到的利润(扣除生产要素报酬和各项成本之后)然后按照某种方式在企业的生产者中分配这些利润。 在这种生产关系下,企业的生产者具有企业经营的各项权力,企业的生产者仍然符合理性的“经济人”假设。  我们仍然考察,在完全竞争的市场经济条件下,企业的资本的数量已经确定,那么企业如何确定参与企业生产的劳动的数量,以实现企业的利润最大化。 我们注意到,在第一种和第三种生产关系下,企业生产的各项内部条件和外部条件是完全相同的(我们还没有考察,在这两种生产关系下,企业的组织者和生产者的生产积极性的差异,我们没有理由断定哪一种生产关系在这方面具有优势,因而暂且假定在这方面,二者也是没有差异的)。因而,在企业生产的总产量,平均产量和边际产量随着参与生产的劳动的数量的连续投入而变化的规律上是完全相同的。在图一中,则表现为这两种生产关系的各条曲线都是完全相同的(在第三种生产关系中,没有AW这条线)。 我们断定:由于理性的“经济人”假设,企业的生产者会将参与生产的劳动的数量确定在A点,亦即平均产量AP最大的那一点上。因为在A点的左边,每增加一个单位的劳动,都将会带来平均产量的增加,因而会带来每一个生产者的利润的增加,因而每一个生产者都会同意增加这个单位的劳动,而在A点的右边,每增加一个单位的劳动,都会带来平均产量的减少,因而会带来每一个生产者的利润的减少,因而每一个生产者都不会同意增加这个单位的劳动,因而第三种生产关系下参与生产的劳动的数量一定是在A点。  所以,我们已经得出了关于第一种和第三种生产关系的第一个结论: 结论1:第一种生产关系会将参与生产的劳动的数量确定在C点,第三种生产关系会将参与生产的劳动的数量确定在A点,C大于A,在A点,企业的单位劳动的平均产量最高。   第三种生产关系在生产方面的效果 从上面的这一结论出发,我们还可以继续得出如下的重要结论:  结论2:当劳动在生产要素中的比重大于某一数值时,第三种生产关系的生产效率高于第一种生产关系的生产效率。 下面我们来证明这一结论: 首先对生产效率进行如下的定义:生产效率E是生产的总产出TP与总投入TC的比值。亦即 4.1.png 在我们的模型中,TC只由两部分组成:资本C和劳动L。因此: 4.2.png 这样,我们就可以得出第一种生产关系的生产效率 4.3.png   第三种生产关系的生产效率 4.4.png   首先我们找出在什么情况下二者是相等的,即E1=E2 4.5.png 4.6.png
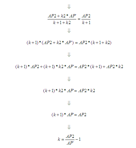
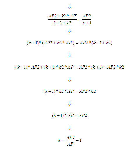
也就是说:  结论3:当 4.7.png 时,第三种生产关系的生产效率与第一种生产关系的生产效率相等。 为了证明我们的结论2,设 4.8.png 因而两种生产关系下的生产效率之差 4.9.png 因而:E’ 4.91.png 成反比例变化,当>0时,E’<0,即第三种生产关系的生产效率低于第一种生产关系的生产效率;当<0时,E’>0,即第三种生产关系的生产效率高于第一种生产关系的生产效率;当=0时,E’=0,即两种生产关系的生产效率相等。 由于上面的定义,所以这个结论就是:当 4.10.png 时,第三种生产关系的生产效率低于第一种生产关系的生产效率;当 4.11.png 时,第三种生产关系的生产效率高于第一种生产关系的生产效率;当 4.12.png 时,两种生产关系的生产效率相等。 上面的推导中已经给出了k的定义:   4.13.png 因而我们得出的结论就是:  在市场经济条件下,对于任何一种生产,企业可以按照第一种生产关系形态来组织生产,或者按照第三种生产关系形态来组织生产。如果该种生产的 4.14.png ,则第一种生产关系形态的生产效率更高;如果该种生产的 4.15.png ,则第三种生产关系形态的生产效率更高;如果该种生产的 4.16.png ,则这两种生产关系形态具有相同的生产效率。  上述的 就是投入到生产中的两种生产要素资本和劳动的比值,因而我们就有了上述的结论2,即:当劳动在生产要素中的比重大于某一数值时,第三种生产关系的生产效率高于第一种生产关系的生产效率。 我们知道,随着生产力的发展,投入到生产中的两种生产要素资本和劳动的比值是呈逐步下降的趋势的,因而我们的结论还可以进一步表述为: 结论4:当社会生产力(或者某一个行业的社会生产力)发展到一定的水平之后,第三种生产关系的生产效率要高于第一种生产关系的生产效率。  如果从另一个角度来考察,我们还可以得出如下的结论:结论5:当实现充分就业时,按照第三种生产关系进行的生产,其生产规模和总产出均大于按照第一种生产关系进行的生产。 这是因为:假定第一种生产关系的单个企业的投入资本是C,投入劳动是L1,单位劳动的平均产出是AP1,第三种生产关系的单个企业的投入资本是C,投入劳动是L2,单位劳动的平均产出是AP2,社会全体劳动的数量是TLL1>L2AP1<AP2。当实现充分就业时,按照第三种生产关系进行的生产,投入的总资本是 4.18.png ,总劳动是TL,生产规模是 4.19.png ,按照第一种生产关系进行的生产,投入的总资本是 4.20.png ,总劳动是TL,生产规模是 4.21.png ,由于 4.22.png ,因而按照第三种生产关系进行的生产,其生产规模大于按照第一种生产关系进行的生产;按照第三种生产关系进行的生产的总产出为 4.23.png ,按照第一种生产关系进行的生产的总产出为 4.24.png ,由于 4.25.png ,因而按照第三种生产关系进行的生产,其总产出大于按照第一种生产关系进行的生产。


附件列表
6.6.png

原图尺寸 643 Bytes

6.6.png

6.5.png

原图尺寸 763 Bytes

6.5.png

6.4.png

原图尺寸 647 Bytes

6.4.png

6.3.png

原图尺寸 612 Bytes

6.3.png

6.2.png

原图尺寸 662 Bytes

6.2.png

6.1.png

原图尺寸 607 Bytes

6.1.png

5.9.png

原图尺寸 1.65 KB

5.9.png

5.8.png

原图尺寸 2.42 KB

5.8.png

5.7.png

原图尺寸 1001 Bytes

5.7.png

5.6.png

原图尺寸 1.58 KB

5.6.png

5.5.png

原图尺寸 18.87 KB

5.5.png

5.4.png

原图尺寸 713 Bytes

5.4.png

5.3.png

原图尺寸 1.77 KB

5.3.png

5.2.png

原图尺寸 1.87 KB

5.2.png

5.1.png

原图尺寸 1.18 KB

5.1.png

4.17.png

原图尺寸 660 Bytes

4.17.png

4.16.png

原图尺寸 832 Bytes

4.16.png

4.15.png

原图尺寸 901 Bytes

4.15.png

4.9.png

原图尺寸 14.41 KB

4.9.png

4.8.png

原图尺寸 1 KB

4.8.png

4.7.png

原图尺寸 895 Bytes

4.7.png

4.6.png

原图尺寸 7.84 KB

4.6.png

4.5.png

原图尺寸 9.75 KB

4.5.png

4.4.png

原图尺寸 789 Bytes

4.4.png

4.3.png

原图尺寸 863 Bytes

4.3.png

4.2.png

原图尺寸 511 Bytes

4.2.png

4.1.png

原图尺寸 582 Bytes

4.1.png

2.1.png

原图尺寸 18.82 KB

2.1.png

6.7.png

原图尺寸 463 Bytes

6.7.png

6.6.png

原图尺寸 643 Bytes

6.6.png

6.5.png

原图尺寸 763 Bytes

6.5.png

6.4.png

原图尺寸 647 Bytes

6.4.png

6.3.png

原图尺寸 612 Bytes

6.3.png

6.2.png

原图尺寸 662 Bytes

6.2.png

6.1.png

原图尺寸 607 Bytes

6.1.png

5.9.png

原图尺寸 1.65 KB

5.9.png

5.8.png

原图尺寸 2.42 KB

5.8.png

5.7.png

原图尺寸 1001 Bytes

5.7.png

5.6.png

原图尺寸 1.58 KB

5.6.png

5.5.png

原图尺寸 18.87 KB

5.5.png

5.4.png

原图尺寸 713 Bytes

5.4.png

5.3.png

原图尺寸 1.77 KB

5.3.png

5.2.png

原图尺寸 1.87 KB

5.2.png

5.1.png

原图尺寸 1.18 KB

5.1.png

4.25.png

原图尺寸 658 Bytes

4.25.png

4.24.png

原图尺寸 469 Bytes

4.24.png

4.23.png

原图尺寸 414 Bytes

4.23.png

4.22.png

原图尺寸 1 KB

4.22.png

4.21.png

原图尺寸 725 Bytes

4.21.png

4.20.png

原图尺寸 542 Bytes

4.20.png

4.19.png

原图尺寸 770 Bytes

4.19.png

4.18.png

原图尺寸 537 Bytes

4.18.png

4.17.png

原图尺寸 660 Bytes

4.17.png

4.16.png

原图尺寸 832 Bytes

4.16.png

4.15.png

原图尺寸 901 Bytes

4.15.png

4.14.png

原图尺寸 866 Bytes

4.14.png

4.13.png

原图尺寸 730 Bytes

4.13.png

4.12.png

原图尺寸 781 Bytes

4.12.png

4.11.png

原图尺寸 827 Bytes

4.11.png

4.10.png

原图尺寸 833 Bytes

4.10.png

6.7.png

原图尺寸 463 Bytes

6.7.png

二维码

扫码加我 拉你入群

请注明:姓名-公司-职位

以便审核进群资格,未注明则拒绝

全部回复
2013-9-16 19:43:55
(斑竹移动)
康庄之路 - 论市场经济条件下的生产关系(二)

第三种生产关系在分配方面的效果

首先我们给出如下的结论:


结论6:由于边际消费倾向递减规律,当社会总收入的分配绝对平均时,导致的社会总储蓄最小(亦即社会总消费最大)。社会总收入的分配的差距越大,则社会总储蓄越大(亦即社会总消费越小)



为了证明这一结论,我们将社会总收入的分配进行一个极大的简化。我们假设,社会总人口简单地分为“富人”和“穷人”这两类,并且“富人”的总人口为m,“穷人”的总人口为n。“富人”的平均收入为W1,“穷人”的平均收入为W2,二者之间的差距为W’,即W’=W1-W2


则我们要证明的命题是:W’0时,社会总储蓄最小。W’ 越大,则社会总储蓄越大。


下面我们来证明这一命题。



设社会全体人口的收入平均值为AW。则



设“富人”的平均收入与社会全体人口的平均收入之差为W1’,则



设“穷人”的平均收入与社会全体人口的平均收入之差为W2’,则



因而我们得出:



为了证明我们的结论,需要应用边际消费倾向递减规律。这一规律的表述为:消费是收入的函数,当收入增加时,收入用于消费的部分亦增加,但是收入每增加一个单位,所带来的消费的增加呈递减的趋势。因而,消费函数是一条向上但渐趋平缓的曲线。如下图实线所示。


图二


我们将上面所提到的一些主要变量标在图上,并设社会平均消费为AC,“富人”的平均消费为C1,“穷人”的平均消费为C2C1AC之差为C1’C2C2AC之差为C2’。然后,我们在图中AB两点之间作一条直线,并将其延长至与W1线相交的G点。并设G点对应的消费水平与C1之间的差为C1” 由于所以


我们来计算由于贫富差距所带来的社会总储蓄的增加量,设为TS。由于社会总储蓄的增加量就等于社会总消费的减少量,则




W’0时,C1”0,所以TS0。当W’>0时,C1”>0,所以TS>0。这样我们就证明了:当社会总收入的分配绝对平均时,社会总储蓄最小(亦即社会总消费最大)。


假定社会总收入不变,社会总人口不变,因而平均收入AW不变,在此前提下,W’增大,则上图中的W2线将左移,W1线将右移(并且:)W2线左移将导致直线AG绕定点B逆时针转动,因而导致W1线不动情况下G点升高;W1线右移将导致直线AG不动情况下直线AG与消费曲线之间的垂直差距加大。实际C”的变化是上述两种运动的和,因而随着W2线左移和W1线右移,C1”必将增大。这样,我们就证明了:社会总收入的分配的差距越大,则社会总储蓄越大(亦即社会总消费越大)。



以下我们来比较第一种生产关系与第三种生产关系之间在分配方面的差异,并得出我们的结论。


在这方面,明显的结论是:第一种生产关系在收入分配上的差距大于第三种生产关系在收入分配上的差距。



因而,第三种生产关系在分配方面的效果是:



结论7:第三种生产关系与第一种生产关系相比,社会收入的分配更加平均化,因而导致更少的社会总储蓄,亦即导致更多的社会总消费。



市场经济条件下经济周期的原因及其解决

市场经济条件下社会经济发展的问题集中地表现在经济周期的存在及其对社会生产的破坏性影响,如果我们找到了市场经济条件下经济周期的原因和解决办法,我们就找到了维持社会经济健康发展的途径。

1 市场经济条件下社会生产实现均衡的必要条件

我们先讨论市场经济条件下,社会生产实现均衡的必要条件。


我们把在当前的社会生产发展水平和条件下,使得社会生产能够实现均衡的消费称为潜在消费(用C1表示),该条件下的投资称为潜在投资(用I1表示)。


注意,该社会生产的均衡是在以下的前提条件下取得的:


1)      完全竞争的市场经济条件。

2)      既定的社会生产发展水平和规模,既不存在生产效率的变化,也不存在生产规模的变化。

3)      没有ZF干预和宏观调控。



需要特别注意的是,上述前提条件中并不包括生产关系形态。因为:如果两种不同的生产关系形态所导致的生产效率和生产规模相同,则这两种生产关系形态下的潜在投资和潜在消费必相等。


在上述的定义下,潜在投资和潜在消费有以下的特征:


1)      二者之和必为社会总支出(设为Y1)。则



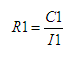
2)      二者之比必然有一个固定的比值。设



是固定的。该比值反应了当前条件下社会生产的产出与投入之间的比值,我们称R1为社会生产的生产比例。它由当前社会生产力水平所导致的生产效率来决定,反映的是社会生产的自然属性。



我们把一定的生产关系形态下,社会生产实际发生的消费称为实际消费(用C2表示),实际发生的投资称为实际投资(用I2表示)。


由于收入不是用于消费,就是用于投资,所以实际投资和实际消费之和为社会总收入(设为Y2)。即



由于社会总收入必等于社会总支出,则必然有




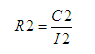
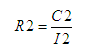
C2I2的大小不仅取决于社会总收入Y2的大小,而且取决于社会总收入在全部人口中的分配,而社会总收入的分配是由当前社会生产的生产关系形态决定的。我们将二者之比值设为R2,则


我们将R2称为社会生产的分配比例,它由当前社会生产的生产关系形态所导致的分配方式来决定,反映的是社会生产的社会属性。



由此我们得出:



结论8:市场经济条件下,社会生产实现均衡的必要条件是:


1)      实际投资I2等于潜在投资I1

2)      实际消费C2等于潜在消费C1


由于


所以上述条件蕴含的一个条件是:




2 市场经济条件下经济周期的原因

在市场经济条件下,R2R1总是相等的吗?


不是的!


这是因为,这二者是由不同的因素所决定的,潜在投资和潜在消费取决于当前的生产发展水平和生产规模,而实际投资和实际消费不仅取决于当前的生产发展水平和生产规模,而且(更多地)取决于由生产关系形态所决定的收入分配方式。因而R2R1并不一定相等,而且在绝大多数情况下,二者都是不相等的,由此我们得出如下的结论:



结论9:市场经济条件下,经济周期的原因是R2不等于R1


这里所阐明的是,只要R2不等于R1,无论是R2大于R1,还是R2小于R1,都会引起社会生产的不均衡从而导致经济周期。


而考察当前资本主义经济周期的特征,我们可以得出如下的结论:


结论10:资本主义经济条件下,经济周期的原因是R2<R1



这是因为,当R2<R1时,说明I2>I1C2<C1。即当前实际投资大于潜在投资,实际消费小于潜在消费。实际投资大于潜在投资表现为社会投资的渐趋高涨和生产能力过剩,实际消费小于潜在消费表现为社会消费能力的相对不足而导致商品的积压和相对过剩,这些特征,与资本主义经济条件下经济周期的所表现的特征是完全一致的。(注意:我们考察的是完全市场竞争和没有ZF宏观调控条件下的资本主义经济周期的特征,不可以将进行了ZF宏观调控之后资本主义经济周期的特征拿来进行比较。)如果R2>R1,则经济周期必然表现出与上述现象相反的特征。



事实上,结论10所反应的规律早已为马克思主义的经典作家所阐明:资本主义的基本矛盾,是生产的社会化和生产资料的私人占有之间的矛盾。… … 资本主义的基本矛盾,表现为生产的无限扩大趋势同劳动群众有支付能力的需求相对狭小之间的矛盾,它是经济危机发生的直接原因。





二维码

扫码加我 拉你入群

请注明:姓名-公司-职位

以便审核进群资格,未注明则拒绝

2013-9-16 19:47:18
(斑竹移动)
康庄之路 - 论市场经济条件下的生产关系(二)

3 资本主义如何解决经济周期问题

上面我们讲述了市场经济条件下社会生产均衡的条件和产生经济周期的原因,以下我们考察一下,资本主义如何解决经济周期问题。

综合资本主义解决经济周期问题的方案,我们可以归纳为以下四类:

第一类,ZF的宏观政策调控,包括财政政策和货币政策的调控。

资本主义的宏观政策调控,包括财政政策和货币政策的调控,试图通过ZF投资,税收,利率,货币供应等手段来对宏观经济进行调整,而达到“熨平”经济周期的作用,这一类方法的共同特点,就是这一类方法均是在生产领域进行的调整,而并不对社会收入的分配进行调整,这一类方法试图通过对投资或者消费的“量”的调整,来达到使社会生产均衡的目标。由于这一类方法,并不调整R2的大小,因而实际上都只能使得实际投资更接近潜在投资,或者实际消费更接近潜在消费,但是不可能实现在实际投资与潜在投资相等的同时,使实际消费等于潜在消费。并且调整的同时,也只能使得社会生产的实际规模,小于潜在投资和潜在消费状况下的社会生产规模,从而导致社会生产资源的浪费。

第二类,对于收入分配的调整。

资本主义实行通过收入政策来解决经济周期问题的理论根据是,经济周期所引起的通货膨胀是由于工资和物价的上涨而引起的,因而需要对工资和物价的上涨进行抑制,其中就包括控制工资的上涨。根据上面我们的分析,控制工资的上涨将使得R2的值变得更小,因而根据我们的分析,该类政策对于缓和经济周期实际上是起反作用的。该类政策的实践的结果,也使得资本主义的经济学自己也承认该类政策是失败的。

第三类,还是对于收入分配的调整。

在资本主义世界,还有一类收入分配的调整政策,其目标是增加社会上穷人的收入,而使得社会财富的分配更加均等化,其典型的代表就是瑞典的“福利国家”理论。虽然资本主义经济学的理论一般并没有把它作为应对经济周期的一种办法,我们还是可以把它放在这里进行讨论。该类方法事实上增加了R2的值,因而事实上可以起到减缓经济周期的作用。但是该类方法,主要是采用高税收和高福利的二次分配政策来实现的。而所有的二次分配政策,都会降低市场配置的作用,从而降低生产效率。

第四类,还是对于收入分配的调整。

这一类,资本主义经济学理论一般同样没有把它作为应对经济周期的一种办法,但是我们仍然可以把它放在这里进行讨论,因为它有助于说明我们的结论。

这一类主要体现为资本主义世界的以下两种现象:

第一是上世纪30年代大萧条之后工会的迅速发展。以美国为例,20世纪30年代开始,美国工会迅速发展,工会会员占劳动力的百分比迅速上升。(参见萨缪尔森《经济学》第12版1056页)

第二是上世纪70年代开始于美国的“员工持股计划”。此后,“员工持股计划”在西方主要资本主义国家取得了很大的发展,并且在提高员工报酬和企业实力两方面都获得了积极的效果。这种“员工持股计划”,实际上就是本文下面将要讲到的市场经济条件下第二种生产关系的一种具体实现。

该类现象的共同特点,是在一次分配中增加了劳动者的收入,从而增大了R2的值。该类现象,可以说是资本主义社会中唯一的可以有效减缓经济周期的力量。

4 经济周期问题的根本解决

通过以上的分析我们已经可以得出如下的结论:

结论11:市场经济条件下解决经济周期问题的根本途径是调整R2的值,使得R2等于R1,从而使得实际投资等于潜在投资,实际消费等于潜在消费。

而根据上述的结论8,我们可以得出以下的结论:

结论12:第三种生产关系下的R2大于第一种生产关系下的R2。

进一步根据上述的结论11,我们得出:

结论13:第一种生产关系下的经济周期问题,可以通过最终过渡到第三种生产关系来解决。

由于R1是由当前社会生产力水平所导致的生产效率决定的,随着社会生产力的发展,R1将逐渐变大。这将进一步强化我们的上述结论。

七 市场经济条件下的第二种生产关系

通过以上的讨论,我们已经得出了以下的结论:随着社会生产力的发展,第一种生产关系下的经济周期问题,可以通过最终过渡到第三种生产关系来解决。那么,当社会生产力发展到一定水平时,市场经济的生产关系是否会由第一种生产关系直接过渡到第三种生产关系呢?我们认为不是的,因为在市场经济条件下,还存在第二种生产关系。

市场经济条件下的第二种生产关系有以下两种具体的形式:

市场经济条件下的第二种生产关系之一:

由企业的生产资料的所有者和生产者共同决定各种生产要素的配置比例,决定生产何种产品和生产多少;为各种生产要素支付报酬(包括工资),并按照一定的比例在生产资料的所有者和生产者之间分配生产所得到的利润(扣除生产要素报酬和各项成本之后)。

市场经济条件下的第二种生产关系之二:

由企业的生产资料的所有者和生产者共同决定各种生产要素的配置比例,决定生产何种产品和生产多少;为各种生产要素支付报酬(不包括工资,因而在两要素的生产中,只需为资本支付报酬),并按照一定的比例在生产资料的所有者和生产者之间分配生产所得到的利润(扣除生产要素报酬和各项成本之后)。

这两种具体的形式在本文所讨论的问题范围之内,其效果是相同的,因而以下的讨论不再区分这两种具体的形式。

通过对第二种生产关系的特征的分析,我们很容易得出如下的结论:

结论14:第二种生产关系在生产方面,分配方面,对于经济周期的影响方面,其作用都介于第一种生产关系与第三种生产关系之间。亦即:在生产方面,随着社会生产力的发展,首先是第一种生产关系的生产效率最高,然后是第二种,然后是第三种;在分配方面,在同样的社会生产力水平之下,第二种生产关系产生的社会总消费高于第一种,第三种生产关系产生的社会总消费高于第二种;在对经济周期的影响方面,在同样的R1水平之下,第一种,第二种,第三种生产关系对应的R2值依次递增。

我们还注意到,在第二种生产关系中,在生产资料的所有者和生产者之间分配利润的比例并不是固定的,而是可以根据需要不断进行调整的。因而对于生产方面,分配方面,对经济周期的影响方面,均可以在第一种和第三种生产关系所带来的效果之间逐步地进行调整,从而实现从第一种生产关系到第三种生产关系的平滑的过渡。

因而我们就有如下的结论:

结论15:社会主义市场经济条件下,随着社会生产力的发展,生产关系可以通过渐进的方式进行调整,而使社会生产不断适应生产力的提高,这种调整即是由第一种生产关系过渡到第二种生产关系,然后逐步过渡到第三种生产关系。
二维码

扫码加我 拉你入群

请注明:姓名-公司-职位

以便审核进群资格,未注明则拒绝

2013-9-16 19:50:00
(斑竹移动)
康庄之路 - 论市场经济条件下的生产关系(四)
八 若干重要的理论问题

通过以上的讨论,我们可以对下面的若干重要的理论问题给出明确的答案。

1. 我国目前的市场经济是资本主义的,还是社会主义的?

答案是,是社会主义的。

我国在改革开放的初期,以邓小平为核心的老一辈无产阶级革命家,以极大的政治勇气和魄力,将马克思主义与中国的实际国情相结合,提出了建设有中国特色的社会主义的理论。这些理论,主要包括社会主义初级阶段的理论,和建设社会主义市场经济体制的理论。在此基础上,建立和发展了我国的社会主义市场经济。按照这个理论建立和发展起来的市场经济,绝不是资本主义的。虽然在社会主义的初级阶段,由于社会生产力水平的限制,在我国的市场经济中,有大量资本主义性质的成分存在,但是这丝毫不能改变我国市场经济的社会主义性质,恰恰相反,这正是我国的建设有中国特色的社会主义的理论之创造性和革命性的体现。

我国的市场经济的进一步发展,将充分证明我国的市场经济是社会主义的,而不是资本主义的。

2. 我国目前的分配制度是按劳分配,还是按资分配?

答案是,是按资分配为主,而不是“按劳分配为主体、多种分配方式并存”。

我国目前私有制经济占据主导地位,因此相应的分配制度当然是按资分配,而不是按劳分配。

但是,我国也有为数不少的国有企业,那么它们的分配制度,是按劳分配的吗?也不是的,因为国有企业的利润,有很大一部分需要上缴,而不是发给职工,所以这些企业的分配制度,也不是按劳分配。如果从劳动者报酬占比的角度分析,这种分配制度在现阶段大致与按资分配相当。(同时我们应当认识到国有企业的这种分配制度的一个显著特点,就是上缴利润的比例可以灵活地进行调整,如果要增大劳动者报酬占比,如果要实行按劳分配,国有企业的这种分配制度具有先天的优越性。)

我国目前的分配制度,只能实行按资分配,而不能实行按劳分配,是因为我国的社会生产力水平仍然比较低下,不具备实行按劳分配的条件。

3. 私有制和公有制哪个更适合市场经济的发展?

对于这个问题,有的人的答案是私有制,有的人的答案是公有制,然而,正确的答案应该是:不一定。

私有制和公有制哪个更适合市场经济的发展,这取决于当前社会生产力的发展水平(而与社会制度是资本主义制度还是社会主义制度无关!)。在市场经济发展的初期,当社会生产力水平相对比较低下时,(无论社会制度是资本主义制度还是社会主义制度,)私有制更适合市场经济的发展。但是当市场经济进一步发展,当社会生产力提高到一定程度时,公有制更适合市场经济的发展。

4. 中国的经济体制改革向何处去?

现在有一个普遍的观点,认为中国前30年的经济体制改革,主要完成了两件事情,一个是价格的自由化,即市场经济体制的建立和发展,一个是企业非国有,即私有制经济的建立和发展,这种观点认为,经过30年的时间,从1978年到2008年,中国经济体制改革的核心问题已经基本解决。

这种观点进一步认为,中国将按照亚洲四小龙类似的模式,完成经济的高速增长,也就是说,到达与亚洲四小龙相当的经济水平后,中国的经济高速增长也将会结束。

以上的观点是完全错误的。当前许许多多的经济学者,从资本主义经济学的观点出发来考察中国的经济,结果只能得出完全错误的结论。

中国的经济体制改革,前30年完成了市场经济体制以及私有制经济的建立和发展,这只是完成了经济体制改革的第一个重要的阶段,并使得社会经济在这个经济体制下高速地增长。然而,中国经济体制改革下一步的道路,绝不会按照资本主义国家的道路去发展。在这一阶段,将充分体现社会主义制度的优越性;在这一阶段,与经济体制改革的第一个重要的阶段一样,也需要极大的政治勇气和魄力,这就是,将马克思主义与中国的国情相结合,按照社会生产力的发展状况,提出建设中国特色社会主义的新的理论,不断地推进经济体制的改革;在这一阶段,经济体制改革的目标将是:公有制和按劳分配,并为下一步的经济发展创造条件;在这一阶段,中国经济将实现完全超越资本主义的真正的经济腾飞。

九 结论

在文章的最后,复述一下我们得出的结论:

市场经济并不是资本主义特有的现象,在市场经济条件下,并不一定必然存在资本主义性质的生产关系。从理论上讲,市场经济条件下存在着三种生产关系。

在市场经济发展的初期,组织社会生产的生产关系首先表现为资本主义的生产关系。随着社会生产力的发展,这种生产关系将逐渐阻碍生产力的进一步发展。在社会主义市场经济条件下,随着社会生产力的发展,生产关系可以通过渐进的方式进行调整,而使社会生产不断适应生产力的提高,这种调整即是由第一种生产关系过渡到第二种生产关系,然后逐步过渡到第三种生产关系。

社会主义市场经济条件下,私有制经济在相当长时间内和相当范围内都会存在,只有随着社会生产力的发展,公有制经济才有可能最终完全取代私有制经济。

以上三种生产关系,在分配方式上分别对应按资分配,按生产要素分配和按劳分配。因而社会主义市场经济条件下,随着社会生产力的发展,社会收入的分配方式亦将由以按资分配过渡到按生产要素分配,然后过渡到按劳分配。

伴随着上述的发展过程,将逐步实现全体社会成员的财富分配平均化和实现共同富裕。

在社会主义市场经济条件下,市场的经济周期问题可以通过生产方式的逐步调整来渐进地解决,并且,这种生产方式的逐步调整又会反过来促进社会生产力的进一步发展。

社会主义市场经济与资本主义市场经济的本质区别,在于社会主义市场经济可以通过生产关系的逐步调整来解决社会生产发展过程中的问题,这是社会主义制度优越性的最集中的体现。社会主义市场经济始终代表先进社会生产力的发展要求,它不断地革新自己,为使社会经济进入到下一个经济时代,即非市场经济时代创造体制上和物质上的条件。

资本主义市场经济学既不研究生产力,也不研究生产关系,并且将资本主义的生产关系作为基本前提和永恒不变的因素,企图找出在此基础上的“普适”的经济规律;而社会主义市场经济学则不然,社会主义市场经济学认为社会生产力是发展的,随着社会生产力的发展,生产关系可以而且应该顺应其要求进行调整,所以社会主义市场经济学研究在市场经济条件下,随着社会生产力的发展,在生产关系不断调整状况下的社会经济的发展规律。

(作者QQ:340234085)
二维码

扫码加我 拉你入群

请注明:姓名-公司-职位

以便审核进群资格,未注明则拒绝

相关推荐
栏目导航
热门文章
推荐文章

说点什么

分享

扫码加好友,拉您进群
各岗位、行业、专业交流群