全部版块 我的主页
论坛 计量经济学与统计论坛 五区 计量经济学与统计软件 Stata专版
4169 4
2013-10-12

Does anyone know how to calculate the average cross-sectional correlation?


I have time series for 2000 stocks.


I wonder, how can I calculate the average correlation of stock returns for the 2000 stocks?


Could anyone provide some insights?


Thank you a lot!



二维码

扫码加我 拉你入群

请注明:姓名-公司-职位

以便审核进群资格,未注明则拒绝

全部回复
2013-10-12 17:59:51
Example:
数据为:

DateVar1Var2Var3

01-01-2012

711.73

719.914

725.446

01-01-2013

349.3

345.6

446.7

01-01-2014

349.3

569.3

224.5

01-01-2015

600

997.9

875.4

01-01-2016

349.3

455.6

993.2



要算Var1, var2, var3之间的average correlation.


二维码

扫码加我 拉你入群

请注明:姓名-公司-职位

以便审核进群资格,未注明则拒绝

2013-10-12 18:06:29
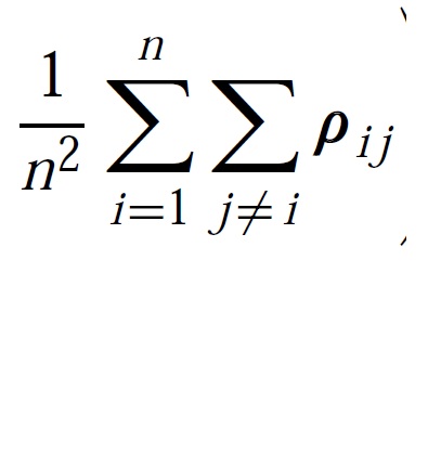
如图所示公式
附件列表
correlation.jpg

原图尺寸 18.17 KB

correlation.jpg

二维码

扫码加我 拉你入群

请注明:姓名-公司-职位

以便审核进群资格,未注明则拒绝

2013-10-13 05:15:17
自己顶一下!
二维码

扫码加我 拉你入群

请注明:姓名-公司-职位

以便审核进群资格,未注明则拒绝

2013-10-13 11:31:37
做一个correlation matrix然后求就容易了。用mata。
二维码

扫码加我 拉你入群

请注明:姓名-公司-职位

以便审核进群资格,未注明则拒绝

相关推荐
栏目导航
热门文章
推荐文章

说点什么

分享

扫码加好友,拉您进群
各岗位、行业、专业交流群