经管之家App
让优质教育人人可得
立即打开
全部版块
我的主页
›
论坛
›
计量经济学与统计论坛 五区
›
计量经济学与统计软件
›
EViews专版
请教! 怎么做两个时间序列的arma模型 eviews
楼主
风神cc
1175
1
收藏
2013-11-26
x和y是两个时间序列,怎么做y与x的arma(1,2)模型?
扫码加我 拉你入群
请注明:姓名-公司-职位
以便审核进群资格,未注明则拒绝
全部回复
沙发
风神cc
2013-11-26 23:37:09
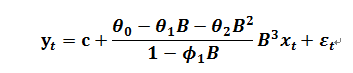
追加一下,模型形式如下附件里的图,请问怎么用eviews实现
附件列表
问题.png
原图尺寸 1.96 KB
问题形式
问题.png
原图尺寸 1.96 KB
扫码加我 拉你入群
请注明:姓名-公司-职位
以便审核进群资格,未注明则拒绝
相关推荐
用eviews建立arma模型的课件
关于eviews估计ARMA模型的问题
可否用eviews简历ARMA模型预测中间数据呢?
EVIEWS ARMA模型 自相关和偏相关图定阶求助 在线等
eviews里如何用ARMA模型对原始数据进行预测
eviews做arma模型的检验问题 ,请高手指点 谢谢
eviews中如何根据相关图确定拖尾还是截尾,如何确定arma模型的p,q
请问Eviews能不能做ARMA模型分位数的回归
EVIEWS ARMA模型预测
Eviews怎么判断ARMA模型的pq,求助!!!
栏目导航
EViews专版
经管文库(原现金交易版)
真实世界经济学(含财经时事)
学道会
学术资源/课程/会议/讲座
winbugs及其他软件专版
热门文章
CDA数据分析脱产就业班于2026年3月7日开班! ...
天堂的证据(〔美〕埃本·亚历山大)
半导体行业分析手册之二:混合键合设备,AI ...
芜湖造船厂为我国高端船舶制造自主创新再添 ...
表格结构数据特征与CDA数据分析师:精准适配 ...
CDA 认证考试大纲 2025 重磅更新:一二级考 ...
在概率与代码之间:Agent Skills 是 AI 的枷 ...
新宏观丨豆包,传统经济学与商学对全球性债 ...
失去的三十年:平成日本经济史(【日】野口 ...
硅光芯片代工爆发式增长,重构全球半导体产 ...
推荐文章
2026JG学术冬训营:从Stata初高到Python机器 ...
【必看】【本版版规,欢迎发悬赏贴求助】
【新课】26年3月|Gemini辅助论文写作与数据 ...
关于如何利用文献的若干建议
关于学术研究和论文发表的一些建议
关于科研中如何学习基础知识的一些建议 (一 ...
一个自编的经济学建模小案例 --写给授课本科 ...
AI智能体赋能教学改革: 全国AI教育教学应用 ...
2025中国AIoT产业全景图谱报告-406页
关于文献求助的一些建议
说点什么
分享
微信
QQ空间
QQ
微博
扫码加好友,拉您进群
各岗位、行业、专业交流群