全部版块 我的主页
论坛 提问 悬赏 求职 新闻 读书 功能一区 经管百科 爱问频道
1748 0
2014-06-30

      人一天的活动时间是恒定的,学生也一样。可以将学生的活动时间简单的分为两部分:学习时间与娱乐时间。

      首先,我们假设学生都是短视自私的。相对于未来长期的收益,学生更加追逐短期的快感。人们对于短期的收益有一定程度的非理性。

      其次,假设学习与娱乐在短期都能带给学生正的效用。

       再次,假设学习与娱乐分别由不同的厂商生产。学习的厂商可以是教育部,学校,家庭教师;娱乐的厂商则多种多样,可以是游戏公司,篮球俱乐部,电视台等等。在此我们忽略不同学习形式和不同娱乐形式给学生带来的效用差异,也就是假设电子游戏与篮球带给学生的边际效用相等;上学与家教带给学生的边际效用相同——其实前者大多数学生都喜欢,后者都讨厌。

       最后,假设学生对学习和娱乐进行消费,消费货币为时间,由于时间是完全中性的(相信在讨论这种问题的时候,不需要考虑相对论)。那么时间对学习与娱乐进行购买时不需要考虑通货膨胀。学生每次消费X1单位学习,X2单位娱乐。

假设学生的效用函数为

       1.jpg

       其中,,为学生对于两种产品的质量评价权重,学生对产品的评价越高,那么权重越大,这种产品的效用会导致学生总效用更大的增值。

       假设学生花费在学习上的时间为常数T,花费在学习上的时间为T1,花费在娱乐上的时间为T2。显然


       2.jpg


进一步假设时间的最小单位为t,也就是说,学生在进行选择时,每次消费至少为t的时间。那么,上式可以写成


       3.jpg

在时间约束不变的情况下,要求学生效用最大化,即

      

S.T.      

      

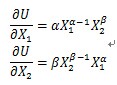
求解偏导数可得
       4.jpg
       学生从学习上获得的边际效用需要与从娱乐上获得的边际效用相等,不然边际效用较高的一方会获得更多的时间,一直到两者相等为止。由

       6.jpg

得:

      7.jpg


带入 可得

       8.jpg

       因为为常数,所以学生对于学习与娱乐的消费量,仅仅与其质量权重相关。产品对学生的吸引力越大,学生就会越在该产品上花费自己的时间。

       现在我们比较一下学习产品与娱乐产品的质量差别,企业在生产产品时,投入越多,产品的质量越有保证。

       以电子游戏与教科书为例,好的游戏公司肯花上亿美元来编一款电子游戏,那么是否有公司愿意花费上亿美元来编一本教科书?答案不言而喻。同样,将企业花费的成本转换为劳动时间计算,一款好游戏从开发到上市,往往需要几年的时间,游戏公司的相关工作人员花费几乎所有的工作时间来攻关一款游戏,而从没听说过哪本教科书需要数百位老师花费一两年时间全心全意地来编写它。

       你说我们要不要爱学习?




如果想看更通俗的版本,请看这里

二维码

扫码加我 拉你入群

请注明:姓名-公司-职位

以便审核进群资格,未注明则拒绝

相关推荐
栏目导航
热门文章
推荐文章

说点什么

分享

扫码加好友,拉您进群
各岗位、行业、专业交流群