关于最近SEM学习有些困惑,向各位老师请教:
1验证性因素分析:
对于效度检验中的因素载荷,是否按照下图将每一对潜变量均设置为双向箭头即相关关系,然后从中得到建构效度和每对潜变量相关系数,进而得到效度值?还是结合结构模型一起运算,统合模型得到的因素载荷计算效度值?
 
2路径分析:
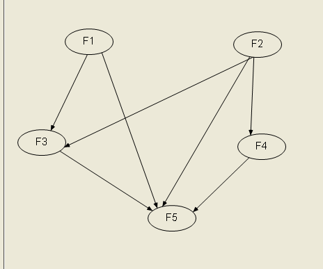
对于路径分析,看了吴明隆老师的《amos的操作与应用》和《结构方程模型的原理与应用》,发现进行潜变量设置关系时,给予不存在单向箭头的潜变量之间设置了双向箭头,也就是说下图中F1和F2,F1和F4,F4和F3之间必须加双向箭头,请问这是必须的吗
