经管之家App
让优质教育人人可得
立即打开
全部版块
我的主页
›
论坛
›
计量经济学与统计论坛 五区
›
计量经济学与统计软件
【一元线性回归中残差的方差的求解过程】&【三种检验之间的关系】
楼主
guo.bailing
28233
5
收藏
2010-10-28
悬赏
18
个论坛币
已解决
还是何晓群应用回归分析书上的题目。
有两题:
1、检验三种检验的关系。这题不知道怎么解。
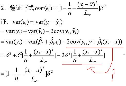
2、求一元线性回归残差的方差的过程,其中划线的部分那两步不懂,希望高人指点。
最佳答案
fanatic
查看完整内容
第一题中有打印错误。r应该在根号外面。也可以先把F分布的式子写出来,开个方就得到t分布的表达式了。 这两题的推导我的一些材料里面有,本来想输入成文档的,由于自己的不熟练,时间花去了也没弄好,所以就拍了照片给你看看。照片见附件。 希望能有所帮助。如果我笔记上没写明白,大家一起讨论交流。
扫码加我 拉你入群
请注明:姓名-公司-职位
以便审核进群资格,未注明则拒绝
全部回复
沙发
fanatic
2010-10-28 19:32:21
第一题中有打印错误。r应该在根号外面。也可以先把F分布的式子写出来,开个方就得到t分布的表达式了。
这两题的推导我的一些材料里面有,本来想输入成文档的,由于自己的不熟练,时间花去了也没弄好,所以就拍了照片给你看看。照片见附件。
希望能有所帮助。如果我笔记上没写明白,大家一起讨论交流。
附件列表
QQ1.png
原图尺寸 419.54 KB
QQ2.png
原图尺寸 420.37 KB
QQ3.png
原图尺寸 446.5 KB
扫码加我 拉你入群
请注明:姓名-公司-职位
以便审核进群资格,未注明则拒绝
藤椅
guo.bailing
2010-10-29 17:10:23
怎么没人会啊???
增加到18币了,,,高人指点一下啊
扫码加我 拉你入群
请注明:姓名-公司-职位
以便审核进群资格,未注明则拒绝
板凳
scheutsch
2012-1-12 18:54:29
我正好这两天在搞这道题。。。。
扫码加我 拉你入群
请注明:姓名-公司-职位
以便审核进群资格,未注明则拒绝
报纸
youling2013
2014-5-25 11:39:53
赞!!!
扫码加我 拉你入群
请注明:姓名-公司-职位
以便审核进群资格,未注明则拒绝
地板
sppector
2017-11-5 11:24:03
学习了!!
扫码加我 拉你入群
请注明:姓名-公司-职位
以便审核进群资格,未注明则拒绝
相关推荐
[建议]一元线性回归例题
一元线性回归的条件,急救!!
一元线性回归的条件,急救!!
一元线性回归显著性检验的问题
一元线性回归
关于一元线性回归的问题
在一元线性回归中,如果X的方差变为原来的两倍,相关系数r和回归系数b和协方差分别如
关于SPSS中一元线性回归F值的显著性问题
一元线性回归预测时,一个自变量得到N多个结果
一元线性回归t检验的意义
栏目导航
计量经济学与统计软件
金融类
经管文库
stata专版
行业分析报告
文献求助专区
热门文章
表格结构数据的核心特征及具象实例解析
下载到假资源如何退单
高教现代数学基础23 矩阵计算六讲 徐树方,钱 ...
安徽全省一盘棋发力汽车产业
【24顶刊热点!】2000-2024上市公司股价崩盘 ...
现代数学基础21 控制论中的矩阵计算 徐树方
求Journal of Computational and Graphical ...
【24重磅,详细,顶刊热点!】2000-2024上市公 ...
查找文献Digital mapping of soil organic ...
《技术的本质》epub版本
推荐文章
2026JG学术冬训营:从Stata初高到Python机器 ...
【必看】【本版版规,欢迎发悬赏贴求助】
26年寒假天津站|Gemini论文写作&数据分析 ...
关于如何利用文献的若干建议
关于学术研究和论文发表的一些建议
关于科研中如何学习基础知识的一些建议 (一 ...
一个自编的经济学建模小案例 --写给授课本科 ...
AI智能体赋能教学改革: 全国AI教育教学应用 ...
2025中国AIoT产业全景图谱报告-406页
关于文献求助的一些建议
说点什么
分享
微信
QQ空间
QQ
微博
扫码加好友,拉您进群
各岗位、行业、专业交流群