经管之家App
让优质教育人人可得
立即打开
全部版块
我的主页
›
论坛
›
提问 悬赏 求职 新闻 读书 功能一区
›
经管文库(原现金交易版)
上市公司非条件稳健性的度量Stata代码(1998-2021年)
楼主
Whatsappp
1837
2
收藏
2022-09-04
非条件稳健性
【指标说明】
Givoly and Hayn(2000)基于会计应计和经营性现金流通常存在反转关系的假设,提出持续性的负的应计可以作为会计稳健性的代理变量。
借鉴前人的做法,并考虑样本容量,
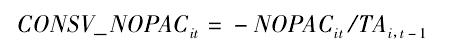
本文取各年的非经营性应计项(NOPAC)除以上年末总资产的比值的相反数作为应计模型计算出的公司非条件稳健性水平。
其中,NOPAC是非经营性应计项目,计算方式为NOPAC=总应计-经营性应计(其中,总应计=净利润+
折旧-经营活动产生的现金流;经营性应计=应收账款变动额+存货变动额+预付账款变动额-应付账款变动额-
应交税金变动额);比率取负值是为了与稳健性程度变化方向一致,即该数值越大,稳健性水平越高。
【数据区间】
原始数据区间:1998-2021年
【参考文献】
会计稳健性与公司融资约束——基于两类稳健性视角的研究(张金鑫)
【数据截图】
【描述性统计】
【数据下载】
上市公司非条件稳健性的度量Stata代码(1998-2021年).zip
大小:(17.45 MB)
只需: RMB 29元
马上下载
本附件包括:
会计稳健性与公司融资约束——基于两类稳健性视角的研究(张金鑫).caj
数据.xlsx
非条件稳健性处理代码.do
非条件稳健性水平.dta
非条件稳健性水平.xlsx
扫码加我 拉你入群
请注明:姓名-公司-职位
以便审核进群资格,未注明则拒绝
全部回复
沙发
Whatsappp
2022-9-9 23:11:03
STATA论文复刻实证分析
OLS模型、Heckman两阶段模型、PSM+DID模型、固定效应模型和中介效应模型
战略差异度、内部控制质量与股价崩盘风险
公司过度投资会传染吗?附Stata代码、数据和结果
企业风险承担、内部控制与审计费用附数据和代码-2020年版本
营改增对房地产上市公司经营绩效影响的实证研究包含数据和代码
【论文实证】包含三因子模型和Fama and MacBeth两步回归代码
控制权、现金流权与股价同步性(附Stata代码、数据和结果)2007-2020
论文常用数据
上市公司多个大股东数据整理Stata代码[2006-2021]
高管团队异质性数据处理Stata代码[2008-2020]
上市公司高管海外背景整理代码[2008-2020]
上市公司总经理董事长政治关联数据整理[2008-2020]
上市公司高管团队内部治理数据整理[2005-2020]
上市公司政治背景数据补全[2008-2020]
上市公司CEO权力指标[2008-2020]
上市公司CEO社会资本[2008-2020]
总经理CEO个人特征数据[2008-2020]
总经理CEO任期数据[2008-2020]
董事长任期数据[2008-2020]
董事长个人特征数据[2008-2020]
上市公司交叉持股数据[2004-2021]
上市公司过度负债数据计算Stata代码[2005-2021]
上市公司网络搜索指数[2011-2021]
宏观经济不确定GARCH模型计算Stata代码[2000-2020]
国际化速度和国际化节奏计算Stata代码[2001-2021]
上市公司绿色专利数据大全[1990-2020]
上市公司专利引用数据大全[1990-2020]
会计论文必备数据-会计信息质量数据大全[1991-2021]
上市公司关键审计事项[2016-2021]
机构投资者调研数据大全[更新至2022年6月]
经济政策不确定性指数EPU数据整理中国和美国[1995-2021]
高管薪酬数据超强整理[2005-2021]
主营业务收入分地区、分行业、分产品数据主营构成[2000-2021]
证监会行业薪酬统计[2000-2021]
Wind研发支出数据大全[包含费用化/资本化/研发人员][2006-2021]
华证ESG评级数据企业环境、社会和治理绩效[2009-2021]
[季度]华证ESG评级数据企业环境、社会和治理绩效[2009-2021]
中国百强会计师事务所排名数据(中注协百强数据)[2003-2020]
常用工具变量-本科院校密度数据[2003-2020]
信息披露的投资者保护作用Stata代码[2001-2021]
上市公司信息披露及时性[1990-2021]
年末沪深300成本股名单整理[2005-2021]
董监高责任险数据[2002-2021]
媒体关注度数据大全包含网络和报刊报道[2001-2020]
沪深上市公司媒体关注数据包含媒体报道报刊和网络明细数据[2001-2020]
内部控制指数[2001-2020]
上市公司监管问询函数据大全[20014-2019]
上市公司名义所得税率数据[1990-2021]
股票回购明细数据大全[更新至2022年3月]
个股买卖价差-相对报价价差和相对有效价差[2003-2022.8]
沪深A股投资者调研明细数据[2013-2020]
上市公司分析师预测指标数据大全[更新至2022年8月]
财务费用明细数据(利息支出、利息收入、汇兑净损益、金融机构费用)[2000-2020]
沪深A股是否四大、分析师关注数量、研报关注度数据、信息披露考评数据[2001-2020]
A股上市公司业绩预告/业绩预警数据大全[2000-2021]
上市公司债务融资成本基础数据[1998-2020]
HHI赫芬达尔指数行业市场竞争度数据整理[1990-2019]
投资者情绪指数月度数据[2003-2020]
中央产业政策和省级产业政策[最新至十三五规划]
中央产业政策和省级产业政策数据整理[2000-2020]
A股上市公司股价崩盘风险数据NCSKEW DUVOL Crash [1991-2020]
上市公司高新技术企业数据处理Stata代码[2000-2020]
中国经济政策不确定性指数 (陆尚勤和黄昀编制)[2022年8月30日更新]
上市公司专利申请和授权数据[1990-2021]
上市公司研发人员数量和比例数据整理[2015-2020年]
上市公司知情交易概率VPIN日数据[2003-2021.4]
中国商业银行竞争度计算Stata代码(勒纳指数Lerner)[2009-2020]
上市公司股权质押数据大全[2000-2021]
企业家信心指数季度数据[2001-2021]
每股社会贡献价值[2000-2021]
上市公司非条件稳健性的度量Stata代码[1998-2021年]
上市公司股权质押数据大全[2000-2020]
金融错配程度/信贷错配程度[1999-2021]
沪深300指数日度、周度、月度、年度交易数据[2005-2022]
重污染行业上市公司[1992-2020]
上市公司管理者过度自信指标衡量==并购频率==[2000-2021]
上市公司管理者过度自信指标衡量==盈利预测偏差==[2000-2021]
重污染行业上市公司[1992-2020]
控股股东股权质押数据处理Stata代码[2007-2020]
投资者异质信念Stata代码[1992-2021]
面板数据调节效应和中介效应代码
杠杆操纵的测度[2007-2020]
董事会非正式层级[2001-2020]
货币政策MP[1994-2021]
上市公司共同机构所有权数据[2003-2020]
审计委员会[2003-2021]
风险管理委员会[2003-2021]
商道融绿ESG评级[2015-2021]
市场丰腴度1996-2021]
Z值Z-Score模型-破产风险指标整理[2000-2021]
日/周/月/季/年无风险利率(三个月定期银行存款利率)[1989-2022]
日、周、月、年Amihud指标合集流动性指标[1990-2021]
对外担保/违规担保/关联担保[2003-2021]
扫码加我 拉你入群
请注明:姓名-公司-职位
以便审核进群资格,未注明则拒绝
藤椅
Whatsappp
2023-4-18 17:44:57
2022年版本
https://bbs.pinggu.org/thread-11193485-1-1.html
扫码加我 拉你入群
请注明:姓名-公司-职位
以便审核进群资格,未注明则拒绝
相关推荐
如何用stata计算各个上市公司年度的收益率波动率
求stata 操作指导~
上市公司高管外部薪酬差距计算Stata代码(附2005-2019年数据和结果)
上市公司历史业绩预期差距计算Stata代码(附2001-2019年数据和结果)
上市公司非条件稳健性的度量Stata代码(1998-2020年)
【推荐】上市公司异常审计费用计算Stata代码(附2008-2020年数据)
上市公司高管外部薪酬差距计算Stata代码(附2005-2021年数据和结果)
【推荐】上市公司异常审计费用计算Stata代码(附2008-2021年数据)
上市公司历史业绩预期差距计算Stata代码(附2001-2021年数据和结果)
上市公司高管相对薪酬差距指标整理Stata代码(附2005-2021年数据)
栏目导航
经管文库(原现金交易版)
经管类求职与招聘
行业分析报告
世界经济与国际贸易
经管在职博
计量经济学与统计软件
热门文章
2024年合集 ESG评级数据大全(彭博 华证 Wi ...
中国企业高质量发展展望穿越周期与聚力创新
中国企业高质量发展展望穿越周期与聚力创新
《那年2003:我双手插兜,搞钱不知什么叫对 ...
求文献“Using Survey Information for Imp ...
在概率与代码之间:Agent Skills 是 AI 的枷 ...
CDA数据分析脱产就业班于2026年3月7日开班! ...
参数估计:CDA数据分析师的核心推断工具,用 ...
通用指标与场景指标:CDA数据分析师的核心分 ...
GeoSaaS永久会员版
推荐文章
2026JG学术冬训营:从Stata初高到Python机器 ...
【必看】【本版版规,欢迎发悬赏贴求助】
【新课】26年3月|Gemini辅助论文写作与数据 ...
关于如何利用文献的若干建议
关于学术研究和论文发表的一些建议
关于科研中如何学习基础知识的一些建议 (一 ...
一个自编的经济学建模小案例 --写给授课本科 ...
AI智能体赋能教学改革: 全国AI教育教学应用 ...
2025中国AIoT产业全景图谱报告-406页
关于文献求助的一些建议
说点什么
分享
微信
QQ空间
QQ
微博
扫码加好友,拉您进群
各岗位、行业、专业交流群