全部版块 我的主页
论坛 提问 悬赏 求职 新闻 读书 功能一区 悬赏大厅
2509 6
2017-07-16
悬赏 50 个论坛币 未解决
IV2O6EIT616%{J%F9(B_MIQ.png

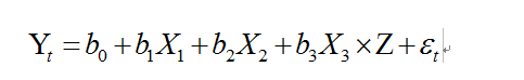
研究关注的是Z(连续变量,股权激励强度)与X3的交互项的系数b3,而非对于因变量Yt的影响,为了控制内生性问题,是否可以采用倾向得分匹配法(PSM),匹配出控制组(未实施股权激励),然后去掉Z变量,进行分组回归?对比实验组与控制组b3的显著性和大小,来判断股权激励实施与否对于交互项的系数b3的影响?

或者应该怎样设计实证方案?


二维码

扫码加我 拉你入群

请注明:姓名-公司-职位

以便审核进群资格,未注明则拒绝

全部回复
2017-7-17 16:32:08
最小二乘法????
二维码

扫码加我 拉你入群

请注明:姓名-公司-职位

以便审核进群资格,未注明则拒绝

2017-7-18 09:12:25
gc13141112 发表于 2017-7-17 16:32
最小二乘法????
最小二乘做了,想再做一个PSM
二维码

扫码加我 拉你入群

请注明:姓名-公司-职位

以便审核进群资格,未注明则拒绝

2017-7-18 10:27:39
psm无法解决内生性问题,其实只是将OLS变为控制非线性的选择效应,所以也并不能解决不可观测变量带来的自选择问题!!!
二维码

扫码加我 拉你入群

请注明:姓名-公司-职位

以便审核进群资格,未注明则拒绝

2017-7-18 15:26:38
jason26258 发表于 2017-7-18 10:27
psm无法解决内生性问题,其实只是将OLS变为控制非线性的选择效应,所以也并不能解决不可观测变量带来的自选 ...
可是看见一些论文采用PSM来解决内生性问题
二维码

扫码加我 拉你入群

请注明:姓名-公司-职位

以便审核进群资格,未注明则拒绝

2017-7-18 17:04:11
你这个设计方案解决的是样本自选择问题
二维码

扫码加我 拉你入群

请注明:姓名-公司-职位

以便审核进群资格,未注明则拒绝

点击查看更多内容…
相关推荐
栏目导航
热门文章
推荐文章

说点什么

分享

扫码加好友,拉您进群
各岗位、行业、专业交流群