全部版块 我的主页
论坛 提问 悬赏 求职 新闻 读书 功能一区 经管文库(原现金交易版)
71 4
2026-03-18
【原创整理,严禁任何团队和个人转载获利,转载必究!】

            上市公司资本深化相关研究是近年来研究的热点方向之一,企业资本深化可以用于金融学和企业经济等领域的研究,并在各类顶级刊物中频繁出现。附件内为附件内为由本人及所在课题组自用整理、严谨测度、多重校验2000-2024上市公司资本深化、企业资本深化水平、资本深化速度数据大合集!包括上市公司企业固定资产净额、固定资本投资额、员工人数等非常详细的原始数据,以及参考C刊文献测算的上市公司资本深化速度、资本深化水平,共计2大最终测度指标,累计涵盖6w+观测值数量,5000+样本企业,已整理好的面板数据可直接用于回归分析本数据集研究价值较高,一个数据集将上市公司资本深化数据所需数据一网打尽!

          本数据集经过多次校验,由本人及所在课题组自用整理并提供售后咨询服务,欢迎大家私信交流!

          本团队分享的所有原创自用数据都会及时更新,点击关注我,即可第一时间免费获取后续更新数据!购买则一份数据即可满足您不同时期的数据需求,充分节约您的宝贵时间!充分节约您的时间与精力!


【温馨提示】本人及所在团队致力于向大家分享高质量、科学准确的科研数据,长期以来好评如潮,数据质量有目共睹。近期发现论坛上出现部分账号倒卖本账号分享的原创数据,甚至连数据介绍文案都原封不动抄袭,查重率100%,实在令人不齿(在此就不一一点名,我们将保留追究其责任的权利。连文案都要抄袭,数据质量如何令人信服?。作为论坛首批原创数据分享者,我们深知一份好数据对学术研究的重要性,我们在论坛此唯一账号,其他类似账号均为假冒,请大家注意甄别,其他渠道购买将无法获得质量保证与售后服务,批量购买欢迎私信联系,可享受优惠。


              附件内所有文件均包括excel、dta格式面板数据无偿赠送非常详细的参考文献原文(均为权威C刊的高被引文献!!)非常详细的Stata指标测算全过程参考代码、原始数据(包括手工收集整理的上市公司固定资产净额、固定资本投资额、员工人数非常详细的原始数据,指标构建所需的各个变量都可直接查到,指标来源有依据,充分保证数据真实性、准确性,绝对同于市面上其他粗制滥造数据!!)以及2024更新版本上市公司年度信息!本数据集适用于所有涉及上市公司资本深化方向的实证研究与理论分析,更是非常适合在此基础上进行拓展研究,能够帮助大家高效上手,完成科研任务!   

          此外,本数据集已为您匹配完成2000-2023上市公司常用财务指标面板数据,包括总资产、负债合计、流动负债合计、短期借款、一年到期长期负债、长期负债、长期借款、应付债券、股东权益合计、主营业务利润、税前总利润、实际所得税、净利润、债务利息支出、流动比率、存货周转率、长期负债比率、资产收益率、净资产收益率、每股收益、主营收入增长率、息税前盈余、流动资产比率、应计总利息比率、企业平均含息负债、期初含息负债、期末含息负债、资本支出等33+关键变量,可与上市公司面板数据匹配用于回归,累计涵盖6.7w+观测值数量,5600+样本企业!

          本数据集来源正规,由我手动收集、整理,与同门多次核对,观测值数量全面,市面上的上市公司资本深化相关数据,年份较短(大部分只到2022年),还有人用插值法拟合,错误值太多,本数据集更新至2024年观测值无误差,亲测效果良好,不含拟合处理,均为来自数据库的原始数据!


附件内容简介:
1、2000-2024上市公司资本深化、企业资本深化水平、资本深化速度数据:包括上市公司固定资产净额、固定资本投资额、员工人数等非常详细的原始数据,以及参考C刊文献测算的上市公司资本深化速度、资本深化水平,共计2大最终测度指标,累计涵盖6w+观测值数量,5000+样本企业,已整理好的面板数据可直接用于回归分析,极具研究价值!

附件内包括非常详细的stata指标测算参考代码、参考文献原文、所有原始数据文件,可逐一核验准确性,大家可放心数据质量!


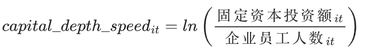
指标测度方法:参考C刊文献做法从存量和增量两个维度对企业资本深化进行衡量:采用企业人均固定资产净额的对数值衡量资本深化水平,以反映企业资本深化的存量状态;采用企业人均固定资本投资额的对数值衡量资本深化速度,以刻画企业资本深化的增量变化。

截屏2026-03-18 22.22.08.png

截屏2026-03-18 22.22.14.png


3、2000-2024上市公司资本深化、企业资本深化水平、资本深化速度原始数据:包括上市公司企业固定资产净额、固定资本投资额、员工人数等非常详细的原始数据指标构建所需的各个变量都可直接查到,指标来源有依据,充分保证数据真实性、准确性!


4无偿赠送!2000-2024更新版本的上市公司年度基本信息,包括上市公司所属行业及代码、法定代表人、成立日期、上市日期、经营范围、主营业务、注册地址、注册资本、所在省份、所在地级市、行业名称、行业代码等36+变量,累计涵盖6.7w+观测值数量,5600+样本企业,可与上市公司数据进行匹配,适用范围广泛!(市价超30元+!)


点击下方链接购买:


数据来源:上市公司数据库等途径手动整理而成,本数据集为课题组自用数据经过我和同门师兄妹多次人工审核、校对;同时,数据的处理过程也咨询了我的导师,请大家放心使用,承诺良心数据!

            欢迎大家购买,收集整理这份数据的成本远超售价!请大家支持原创,请勿转卖!

          目前我应用经济学博士在读,如您有更具体的数据需求,请私信我详细说明,如有数据定制需求,可直接私信,我将秉持着严谨、科学的研究态度为您提供满意的数据服务。我所售数据均为承诺售后服务的,所有论坛私信都会及时回复,您在使用本数据集的过程中有任何疑问可随时联系,帮助大家到满意为止!如有任何疑问,欢迎私信沟通,恭候您的数据需求!

二维码

扫码加我 拉你入群

请注明:姓名-公司-职位

以便审核进群资格,未注明则拒绝

全部回复
昨天 22:35
本数据集为课题组自用数据,原始数据均来自上市公司数据库等官方途径,数据的处理过程参考C刊权威文献做法,请大家放心使用,承诺良心数据!本团队所分享数据均为承诺售后服务的,大家在使用本数据集的过程中如有任何关于数据的疑问都可以私信联系(本人论坛随时在线,所有私信看到都将于第一时间回复),帮助大家到满意为止!
二维码

扫码加我 拉你入群

请注明:姓名-公司-职位

以便审核进群资格,未注明则拒绝

昨天 22:35

欢迎查看本团队分享的自用原创实证数据,如有其他数据需求活批量购买,欢迎私信联系,可享受优惠~

1.   【24自用测度,顶刊变量!】2000-2024地级市银行竞争度,省级银行竞争度合集,HHI.CR3,CR5

https://bbs.pinggu.org/thread-16005886-1-1.html

2.   【顶刊热点,24重磅!】2007-2024上市公司供应链韧性,供应链抵抗力,供应链恢复力,附代码

https://bbs.pinggu.org/thread-16005548-1-1.html

3.   【24重磅更新,顶刊方法!】1991-2024上市公司组织韧性,企业韧性合集,3大方法一网打尽

https://bbs.pinggu.org/thread-16005019-1-1.html

4.   【顶刊方法,自用整理!】2007-2024上市公司污染物排放量,企业污染排放明细数据,4大指标

https://bbs.pinggu.org/thread-16004900-1-1.html

5.   【24更新,热点变量!】2007-2024上市公司ZF补助,ZF补贴数据合集,3大测度指标!

https://bbs.pinggu.org/thread-16004754-1-1.html

6.   【顶刊指标,24重磅更新!】2000-2024上市公司有效价差,相对有效价差数合集,Roll模型

https://bbs.pinggu.org/thread-16001133-1-1.html

7.   【24重磅,顶刊热点】2000-2024上市公司供应链金融,供应链金融水平,python文本分析

https://bbs.pinggu.org/thread-16000747-1-1.html

8.   【24重磅,已校验!】2000-2024上市公司上市公司国际化,海外业务收入,海外销售收入合集

https://bbs.pinggu.org/thread-15998138-1-1.html

9.   【24顶刊热点!】2000-2024上市公司股价崩盘风险合集,NCSKEW,DUVOL,CRASH,stata代码

https://bbs.pinggu.org/thread-15997806-1-1.html

10. 【顶刊方法,24重磅!】2007-2024上市公司金融化程度,企业金融化数据大合集,附stata代码

https://bbs.pinggu.org/thread-15996960-1-1.html

11. 【24更新,热点变量!】2000-2024上市公司广告支出,宣传推广费用,广告支出金额合集

https://bbs.pinggu.org/thread-15996576-1-1.html

12. 【24热点,附代码!】2008-2024上市公司过度金融化程度,是否过度金融化合集,附原始数据

https://bbs.pinggu.org/thread-15995849-1-1.html

13. 【重磅,自用整理!】2011-2023我国31省文旅产业融合发展水平,文旅融合数据合集,熵值法

https://bbs.pinggu.org/thread-15993981-1-1.html

14. 【重磅,指标详尽!】2011-2023省级文旅产业融合发展水平,文旅融合数据,熵权topsis法!

https://bbs.pinggu.org/thread-15993949-1-1.html

15. 【C刊方法,24重磅!】2001-2024上市公司资管新规,企业金融强监管合集,附代码,原始数据

https://bbs.pinggu.org/thread-15992820-1-1.html

16. 【C刊指标,24重磅!】2000-2024上市公司机构投资者:短期/长期机构投资者持股数量/比例

https://bbs.pinggu.org/thread-15992372-1-1.html

17. 【顶刊方法,24重磅!】1991-2024上市公司创新产出,创新效率,创新投入合集,12大核心指标

https://bbs.pinggu.org/thread-15991573-1-1.html

18. 【区域创新】1991-2024省级专利申请与专利获得,地级市专利申请与专利授权,4份数据

https://bbs.pinggu.org/thread-15991300-1-1.html

19. 【24更新,热点变量!】2006-2024上市公司研发支出,企业研发费用数据,附变量说明文件!

https://bbs.pinggu.org/thread-15990553-1-1.html

20. 【24重磅,企业专利!】1991-2024上市公司专利获得情况,专利授权情况,专利分类号合集!

https://bbs.pinggu.org/thread-15989226-1-1.html

21. 【24重磅,企业创新!】1991-2024上市公司专利申请情况,发明/实用新型申请专利分类号

https://bbs.pinggu.org/thread-15988852-1-1.html

22. 【绿地投资】2007-2022中国对外绿地投资fdi markets与上市公司匹配数据,企业OFDI

https://bbs.pinggu.org/thread-15988206-1-1.html

23. 【区域绿色创新】1991-2024省级绿色专利申请与获得,市级绿色专利申请与获得,4份数据

https://bbs.pinggu.org/thread-15988056-1-1.html

24. 【热点,24重磅更新!】1991-2024上市公司绿色专利获得,绿色专利授权情况,16w观测值

https://bbs.pinggu.org/thread-15986290-1-1.html

25. 【24重磅,热点!】1991-2024上市公司绿色专利申请合集,绿色发明专利/绿色实用新型专利

https://bbs.pinggu.org/thread-15986281-1-1.html

26. 【24重磅,热点指标!】1991-2024上市公司绿色创新数据合集,绿色专利申请/绿色专利授权

https://bbs.pinggu.org/thread-15986142-1-1.html

27. 【顶刊方法,24常用!】2000-2024上市公司对外开放程度,外来文化冲击,市场化进程数据!

https://bbs.pinggu.org/thread-15981188-1-1.html

28. 【热点,24更新版本!】1990-2024上市公司市场地位,市场占有率,市场势力范围,附参考代码

https://bbs.pinggu.org/thread-15977129-1-1.html

29. 【24热点,顶刊方法!】2008-2024上市公司高管超额薪酬,管理者超额薪酬合集,4大指标

https://bbs.pinggu.org/thread-15976681-1-1.html

30. 【24重磅,顶刊变量!】2000-2023传统企业跨界数字创新,数字技术融合创新/数字创新质量

https://bbs.pinggu.org/thread-15942494-1-1.html

31. 【24重磅,附代码!】1999-2024上市公司资产误定价,资产误定价水平,行业回归价值估值法

https://bbs.pinggu.org/thread-15939774-1-1.html

32. 【24更新,热点变量!】2003-2024上市公司社会捐赠,慈善捐赠,社会责任承担,慈善捐赠倾向

https://bbs.pinggu.org/thread-15939195-1-1.html

33. 【重磅更新,7大数据!】1990-2024上市公司数字化转型,数字化转型程度,数字化转型指数

https://bbs.pinggu.org/thread-15937685-1-1.html

34. 【24重磅,顶刊方法!】2000-2023上市公司数字化转型程度工具变量,数字化转型工具变量

https://bbs.pinggu.org/thread-15924396-1-1.html

35. 【热点,24更新!】2001-2024上市公司客户重要性,审计客户重要性水平,附代码,原始数据

https://bbs.pinggu.org/thread-15924343-1-1.html

36. 【24重磅更新!】2000-2024上市公司儒家文化,传统文化,中华文化,基于孔庙遗存/明清进士

https://bbs.pinggu.org/thread-15922171-1-1.html

37. 【24更新,常用DID】2010-2024社会信用体系建设试点,社会信用体系改革试点DID数据

https://bbs.pinggu.org/thread-15921015-1-1.html

38. 【24自用更新,详细!】2009-2024八批自由贸易试验区,片区名单,自由贸易试验区建设DID

https://bbs.pinggu.org/thread-15917599-1-1.html

39. 【顶刊变量,24更新!】2000-2024上市公司并购行为/外部扩张:并购次数,并购金额,附代码!

https://bbs.pinggu.org/thread-15913182-1-1.html

40. 25更新,自用整理!】2001-2025互联网数据中心企业名单,互联网数据中心许可证企业数据

https://bbs.pinggu.org/thread-15906407-1-1.html

41. 【24热点,自用整理!】1990-2024上市公司地区市场公平竞争程度,市场公平竞争环境合集

https://bbs.pinggu.org/thread-15906159-1-1.html

42. 【24重磅,自用整理!】1990-2024上市公司资产结构,企业脱虚向实程度,附代码,参考文献

https://bbs.pinggu.org/thread-15894340-1-1.html

43. 【24更新,热点指标!】2000-2024上市公司数据资产化,企业数据资产化程度,文本分析法

https://bbs.pinggu.org/thread-15891592-1-1.html

44. 【24自用更新】1997-2024分省份市场化指数分项指数上市公司匹配数据,樊纲市场化指数

https://bbs.pinggu.org/thread-15886991-1-1.html

45. 【24重磅,顶刊方法!】2011-2024上市公司耐心资本:关系型债务/稳定型股权,附原始数据!

https://bbs.pinggu.org/thread-15881398-1-1.html

46. 【顶刊方法,24更新!】2015-2024上市公司新质生产力数据合集,熵值法,附原始数据!

https://bbs.pinggu.org/thread-15841574-1-1.html

47. 【24重磅,顶刊变量!】2000-2024上市公司高管环保认知,高管绿色认知.附代码,原始数据

https://bbs.pinggu.org/thread-15784407-1-1.html

48. 【24更新,热点变量!】2004-2024上市公司绿色投资者关注,绿色机构投资者注意力,附代码

https://bbs.pinggu.org/thread-15783776-1-1.html

49. 【24更新,重磅整理!】2000-2024上市公司动态能力合集,包括创新能力,吸收能力,适应能力

https://bbs.pinggu.org/thread-15681692-1-1.html

50. 【24顶刊指标!】2008-2024上市公司研发操纵,企业研发操纵程度,附stata代码,原始数据!

https://bbs.pinggu.org/thread-15675659-1-1.html

51. 【热点变量,24自用!】2005-2024上市公司治理水平,企业治理数据,主成分分析,附原始数据

https://bbs.pinggu.org/thread-15665001-1-1.html

52. 【24更新,自用整理!】1990-2024上市公司商业信用融资,商业信用数据,附代码,原始数据!

https://bbs.pinggu.org/thread-15655243-1-1.html

53. 【24整理,顶刊方法!】2000-2024上市公司非效率投资,非效率投资程度,Richardson模型!

https://bbs.pinggu.org/thread-15655219-1-1.html

54. 【顶刊指标,24更新!】2000-2024上市公司忙碌独董人数,忙碌独董比例,是否聘任忙碌独董!

https://bbs.pinggu.org/thread-15629597-1-1.html

55. 【24更新,顶刊方法!】2008-2024上市公司税负粘性,企业税负粘性水平,3大指标 stata代码

https://bbs.pinggu.org/thread-15617956-1-1.html

56. 【24重磅更新!】2003-2024上市公司连锁股东,连锁股东虚拟变量,连锁股东持股比例附代码

https://bbs.pinggu.org/thread-15612770-1-1.html

57. 【顶刊指标,24重磅!】2008-2024上市公司环境信息披露质量,绿色信息披露质量,stata代码

https://bbs.pinggu.org/thread-15606220-1-1.html

58. 【自用整理,24更新!】2000-2024上市公司税收优惠,企业税收优惠,附stata代码,原始数据

https://bbs.pinggu.org/thread-15605834-1-1.html

59. 【24重磅更新,自用!】2018-2024上市公司漂绿,伪社会责任,漂绿程度,环境信息披露质量

https://bbs.pinggu.org/thread-15605553-1-1.html

60. 【24重磅,顶刊方法!】2000-2024上市公司声誉,企业声誉合集,附stata代码与原始数据!

https://bbs.pinggu.org/thread-15605186-1-1.html

61. 【24重磅!】2000-2024上市公司代理成本,经营费用率,管理费用率,资产周转率,大股东占用

https://bbs.pinggu.org/thread-15588100-1-1.html

62. 【顶刊方法,24重磅!】1985-2024我国省级地级市区县数实融合,数数融合,实实融合大合集!

https://bbs.pinggu.org/thread-15577445-1-1.html

63. 【首发数据,自用整理!】2005-2022上市公司业绩说明会问答文本数据,超80w观测值!

https://bbs.pinggu.org/thread-15568025-1-1.html

64. 【详细整理,24更新!】2015-2024ZF绿色采购,ZF绿色采购产品明细数据,超14w观测值

https://bbs.pinggu.org/thread-15567677-1-1.html

65. 【热点指标,24更新!】2000-2024上市公司过度负债程度,杠杆率水平,去杠杆程度,附文献!

https://bbs.pinggu.org/thread-15556470-1-1.html

66. 【24重磅,顶刊变量!】2000-2024上市公司违规次数,是否违规,违规行为数据,附原始数据!

https://bbs.pinggu.org/thread-15556088-1-1.html

67. 【热点变量,23重磅!】2001-2023上市公司业财融合,业财一体化数据,附stata与python代码

https://bbs.pinggu.org/thread-15532867-1-1.html

68. 【24重磅,顶刊变量!】1990-2024上市公司信息不对称程度,股票流动性,非流动性比率!

https://bbs.pinggu.org/thread-15532862-1-1.html

69. 【24重磅,热点变量!】2006-2024上市公司财务柔性,现金柔性,负债柔性数据,附stata代码

https://bbs.pinggu.org/thread-15532552-1-1.html

70. 【顶刊方法,23热点!】2004-2023上市公司绿色投资者关注,绿色机构投资者注意力,6大指标

https://bbs.pinggu.org/thread-15529746-1-1.html

71. 【24重磅,顶刊指标】2005-2024上市公司全要素生产率, 附代码OP/LP/OLS/GMM/FE五大方法

https://bbs.pinggu.org/thread-15520569-1-1.html

72. 【热点变量,24重磅更新!】2009-2024上市公司华证ESG评级,企业ESG评级数据,2大指标!

https://bbs.pinggu.org/thread-15489891-1-1.html

73. 【24重磅更新,顶刊方法!】2001-2024上市公司分析师关注度,研报关注度合集,4大核心指标

https://bbs.pinggu.org/thread-15487817-1-1.html

74. 【24重磅更新,顶刊变量!】2000-2024上市公司诉讼风险,诉讼次数,诉讼金额合集,附代码

https://bbs.pinggu.org/thread-15484385-1-1.html

75. 【24重磅更新,已校验,140G!】1991-2024上市公司年报文本数据,pdf与txt格式,14w年报数

https://bbs.pinggu.org/thread-15447233-1-1.html

76. 【重磅热点,23自用整理!】2000-2023上市公司高管数字化背景,数字化背景高管,附代码!

https://bbs.pinggu.org/thread-15444225-1-1.html

77. 【顶刊方法,常用did!】2007-2023我国省级农业社会化服务试点政策DID合集,附原始名单

https://bbs.pinggu.org/thread-15401523-1-1.html

78. 【顶刊做法,23自用!】2000-2023上市公司并购溢价,并购溢价率合集,2大指标,附代码文献!

https://bbs.pinggu.org/thread-15312071-1-1.html

79. 【24重磅,热点变量!】2000-2024上市公司风险承担水平,企业盈余波动性合集,4大核心指标

https://bbs.pinggu.org/thread-15235214-1-1.html

80. 【23更新,顶刊方法!】2000-2023上市公司银企关系,银行企业关联关系合集,附参考文献!

https://bbs.pinggu.org/thread-15132490-1-1.html

81. 【24重磅,多版本,附代码!】2001-2024上市公司控制变量,常用控制变量,企业基础数据合集

https://bbs.pinggu.org/thread-15130396-1-1.html

82. 【23整理,热点变量!】2007-2023上市公司超级明星发明家,超级明星发明家数量/虚拟变量!

https://bbs.pinggu.org/thread-15122109-1-1.html

83. 【重磅,自用,25更新!】2005-2025期货高频数据,期货商品指数/期货主力连续1分钟合集!

https://bbs.pinggu.org/thread-15105282-1-1.html

84. 【重磅,24更新,顶刊方法!】2000-2024上市公司投服中心行权,监管型小股东行权DID数据!

https://bbs.pinggu.org/thread-15084942-1-1.html

85. 【重磅,25更新,78w观测值!】2003-2025上市公司分析师报告文本,企业研报文本合集,自用!

https://bbs.pinggu.org/thread-15076029-1-1.html

86. 【23更新,热点指标!】2008-2023上市公司国际化程度,企业国际化水平合集,主成分分析法

https://bbs.pinggu.org/thread-15065186-1-1.html

87. 【23自用,顶刊方法!】2000-2023上市公司高管纵向兼任,董事长纵向兼任,总经理纵向兼任!

https://bbs.pinggu.org/thread-15035480-1-1.html

88. 【23热点,附代码!】2005-2023上市公司国际化程度,企业海外经营,国际化深度合集,附文献

https://bbs.pinggu.org/thread-15033469-1-1.html



二维码

扫码加我 拉你入群

请注明:姓名-公司-职位

以便审核进群资格,未注明则拒绝

昨天 22:35
欢迎点击【主题】查看我分享的所有原创自用数据,所有数据均承诺售后服务,欢迎关注~
1.   【24自用,稀缺指标!】2000-2024上市公司绿色创新边界:专利质量,知识宽度,技术相似度https://bbs.pinggu.org/thread-16108176-1-1.html
2.   【顶刊方法,24重磅!】2000-2024上市公司投融资期限错配:短债长用,短贷长投,短债长投
https://bbs.pinggu.org/thread-16108123-1-1.html
3.   【稀缺,24重磅更新!】2000-2024上市公司绿色化转型水平,企业绿色转型大合集,文本分析!
https://bbs.pinggu.org/thread-16106604-1-1.html
4.   【稀缺,25重磅更新!】2000-2025美股上市公司年报10-K/20-F数据,HTML格式,20w观测值!
https://bbs.pinggu.org/thread-16098296-1-1.html
5.   【稀缺,24重磅整理!】2001-2024上市公司智能化投资,智能化投资水平合集,3大核心指标
https://bbs.pinggu.org/thread-16098021-1-1.html
6.   【24重磅,顶刊方法!】2000-2024上市公司财务重述,是否发生财务重述合集,附stata代码
https://bbs.pinggu.org/thread-16097887-1-1.html
7.   【24顶刊方法,重磅更新!】2002-2024上市公司会计信息可比性,企业会计信息可比性大合集
https://bbs.pinggu.org/thread-16092693-1-1.html
8.   【24顶刊热点!】2000-2024上市公司风险承担,系统风险承担与特质风险承担合集,3大指标
https://bbs.pinggu.org/thread-16077478-1-1.html
9.   【稀缺文本,24自用!】2006-2024上市公司社会责任报告,CSR报告,ESG报告,可持续发展报告
https://bbs.pinggu.org/thread-16077398-1-1.html
10. 【25重磅,稀缺资源!】1991-2025A股上市公司招股说明书,招股书意向书文本合集,PDF/TXT
https://bbs.pinggu.org/thread-16077330-1-1.html
11. 【顶刊热点,24更新!】2001-2024上市公司智算中心,互联网数据中心,IDC经营许可证数据
https://bbs.pinggu.org/thread-16077257-1-1.html
12. 【热点变量,24重磅!】2003-2024上市公司明星分析师跟踪,明星分析师跟踪数量大合集
https://bbs.pinggu.org/thread-16074267-1-1.html
13. 【24重磅,顶刊指标!】2000-2024上市公司信息披露质量,企业信息披露质量KV指数,2大指标
https://bbs.pinggu.org/thread-16074183-1-1.html
14. 【24重磅,顶刊方法!】2001-2024上市公司债务融资成本,外部融资成本合集,3大核心指标
https://bbs.pinggu.org/thread-16067032-1-1.html
15. 【稀缺,25自用整理!】2000-2025美股上市公司招股说明书文本,美股企业招股书HTML合集
https://bbs.pinggu.org/thread-16063617-1-1.html
16. 【24重磅,热点指标!】2000-2024上市公司高管风险偏好,管理者风险偏好合集,主成分分析
https://bbs.pinggu.org/thread-16063556-1-1.html
17. 【热点变量,24更新!】2000-2024上市公司审计质量,审计报告激进度,审计意见激进度合集
https://bbs.pinggu.org/thread-16063485-1-1.html
18. 【常用DID,24重磅更新!】2000-2024上市公司融资融券明细情况,企业融资融券DID数据合集
https://bbs.pinggu.org/thread-16063441-1-1.html
19. 【顶刊方法,24重磅!】2012-2024上市公司创新模式:突破式创新/渐进式创新合集,8大指标
https://bbs.pinggu.org/thread-16060236-1-1.html
20. 【热点,24重磅!】2009-2024上市公司高管薪酬粘性,企业高管薪酬粘性合集,附stata代码
https://bbs.pinggu.org/thread-16060161-1-1.html
21. 【25更新,重磅整理!】2001-2025我国三板上市公司年报文本,新三板上市公司年报PDF+TXT
https://bbs.pinggu.org/thread-16060087-1-1.html
22. 【自用整理,25重磅!】2000-2025港股上市公司年报文本数据,港股年报PDF+TXT,超4万份!
https://bbs.pinggu.org/thread-16060021-1-1.html
23. 【稀缺,24重磅更新】2000-2024上市公司投资者异质信念,年度平均换手率/超额收益率数据
https://bbs.pinggu.org/thread-16056826-1-1.html
24. 【24热点指标!】2007-2024上市公司供应链成本分摊,单向供应链成本分摊合集,附原始数据
https://bbs.pinggu.org/thread-16056681-1-1.html
25. 【24顶刊变量】2004-2024上市公司国企混改,混合所有制改革,非国有企业资本参股DID数据
https://bbs.pinggu.org/thread-16056611-1-1.html
26. 【热点DID,24更新!】2002-2024上市公司供应链创新与应用试点,供应链创新试点DID数据
https://bbs.pinggu.org/thread-16053654-1-1.html
27. 【24重磅,热点指标!】2008-2024上市公司会计信息透明度,收益激进度/收益平滑度,附代码
https://bbs.pinggu.org/thread-16053571-1-1.html
28. 【顶刊变量,24重磅!】2006-2024上市公司国企混改,企业混合所有制改革,股权融合度数据
https://bbs.pinggu.org/thread-16053508-1-1.html
29. 【24更新,热点变量!】2005-2024上市公司供应链话语权,供应商话语权,客户话语权合集
https://bbs.pinggu.org/thread-16046342-1-1.html
30. 【重磅,24顶刊文献!】2000-2024上市公司数字技术风险暴露水平,数字技术风险暴露数据
https://bbs.pinggu.org/thread-16046293-1-1.html
31. 【重磅,24顶刊方法!】2001-2024上市公司数据资产,数据资产信息披露水平python文本分析
https://bbs.pinggu.org/thread-16044696-1-1.html
32. 【稀缺,24重磅更新!】2019-2024上市公司能源消耗量,企业能耗合集,统一折算为标准煤
https://bbs.pinggu.org/thread-16042938-1-1.html
33. 【顶刊方法,24重磅!】2001-2024上市公司供应链网络,供应链空间距离合集,附stata代码
https://bbs.pinggu.org/thread-16042881-1-1.html
34. 【24稀缺,自用整理!】2019-2024上市公司碳排放,温室气体排放量合集,来源ESG报告原文!
https://bbs.pinggu.org/thread-16042790-1-1.html
35. 【重磅合集,24更新!】2005-2024上市公司权益资本成本,股权融资成本CAPM,PEG,MPEG,OJ
https://bbs.pinggu.org/thread-16039728-1-1.html
36. 【24稀缺,热点指标!】2011-2025公司IPO、IPO上市公司财务数据合集,附原始数据!
https://bbs.pinggu.org/thread-16038044-1-1.html
37. 【24更新,顶刊变量!】2005-2024上市公司股票发行注册制,注册制改革合集,附参考代码
https://bbs.pinggu.org/thread-16038039-1-1.html
38. 【多方法,24顶刊变量!】2000-2024上市公司绿色创新泡沫,绿色专利泡沫大合集,6大指标!
https://bbs.pinggu.org/thread-16033668-1-1.html
39. 【24稀缺,顶刊方法!】2000-2024上市公司创新边界:专利质量,知识宽度,技术相似度合集!
https://bbs.pinggu.org/thread-16033523-1-1.html
40. 【24重磅更新,热点变量!】2005-2024上市公司高管超额薪酬水平,高管绝对薪酬水平合集https://bbs.pinggu.org/thread-16026592-1-1.html
41. 【顶刊热点,24更新!】2000-2024上市公司环境不确定性:环境动态性/环境丰富性,附代码
https://bbs.pinggu.org/thread-16026347-1-1.html
42. 【24顶刊指标,重磅!】2001-2024上市公司高管团队稳定性,高管团队长期稳定性数据大合集
https://bbs.pinggu.org/thread-16026230-1-1.html
43. 【24重磅,6大指标!】2000-2024上市公司高管纵向兼任,董事长纵向兼任,总经理纵向兼任
https://bbs.pinggu.org/thread-16025837-1-1.html
44. 【顶刊方法,24热点】2005-2024上市公司管理者过度自信,高管过度自信合集,基于高管薪酬
https://bbs.pinggu.org/thread-16025716-1-1.html
45. 【24热点,重磅!】2000-2024上市公司管理者过度自信,高管过度自信合集,高管特征打分法
https://bbs.pinggu.org/thread-16025689-1-1.html
46. 【24重磅,详细】2001-2024上市公司管理者过度自信,高管过度自信合集,基于高管投资决策https://bbs.pinggu.org/thread-16025629-1-1.html
47. 【24更新,热点!】2000-2024上市公司审计延迟天数,审计师努力程度数据,附代码原始数据
https://bbs.pinggu.org/thread-16025510-1-1.html
48. 【24重磅,顶刊方法】2001-2024上市公司分析师预测质量,分析师盈余预测误差/预测分歧度
https://bbs.pinggu.org/thread-16022995-1-1.html
49. 【顶刊变量,24重磅!】2000-2024上市公司股价同步性SYN,股价信息含量合集,附stata代码
https://bbs.pinggu.org/thread-16022418-1-1.html
50. 【顶刊变量,24更新!】2000-2024上市公司定价效率,价格滞后,市场定价效率合集,附代码
https://bbs.pinggu.org/thread-16021302-1-1.html
51. 【24更新,34w观测值!】2017-2024新三板上市公司供应链研究数据大合集,3大核心数据
https://bbs.pinggu.org/thread-16020786-1-1.html
52. 【重磅,90w观测值!】2017-2024我国排污许可证企业名单,企业污染排放许可证数据大合集
https://bbs.pinggu.org/thread-16020782-1-1.html
53. 【顶刊热点,24更新!】2012-2024上市公司供应链透明度,企业供应链透明度合集,2大指标
https://bbs.pinggu.org/thread-16019881-1-1.html
54. 【24合集,重磅!】2001-2024上市公司供应链研究合集,供应链集中度,前五大客户/供应商
https://bbs.pinggu.org/thread-16019194-1-1.html
55. 【24更新,热点变量!】2000-2024上市公司是否属于技术快速更迭行业,企业技术更迭合集
https://bbs.pinggu.org/thread-16017427-1-1.html
56. 【顶刊变量,24测度!】2005-2024地级市ZF环境规制强度,ZF环保意识,ZF环保治理词频统计
https://bbs.pinggu.org/thread-16015866-1-1.html
57. 【24重磅,多版本!】2000-2024我国地级市三次产业增加值,产业结构升级,产业结构高级化
https://bbs.pinggu.org/thread-16015622-1-1.html
58. 【24重磅,顶刊方法!】2000-2024上市公司金融错配程度,信贷错配程度,金融资源错配合集
https://bbs.pinggu.org/thread-16013809-1-1.html5
59. 【顶刊热点,熵权法!】2011-2023我国省级经济高质量发展,经济高质量发展水平数据合集
https://bbs.pinggu.org/thread-16012542-1-1.html
60. 【重磅整理,熵值法!】2011-2023我国省级经济高质量发展,经济高质量发展水平数据合集
https://bbs.pinggu.org/thread-16012513-1-1.html
61. 【24自用测度,顶刊变量!】2000-2024地级市银行竞争度,省级银行竞争度合集,HHI.CR3,CR5
https://bbs.pinggu.org/thread-16005886-1-1.html
62. 【顶刊热点,24重磅!】2007-2024上市公司供应链韧性,供应链抵抗力,供应链恢复力,附代码
https://bbs.pinggu.org/thread-16005548-1-1.html
63. 【24重磅更新,顶刊方法!】1991-2024上市公司组织韧性,企业韧性大合集,3大方法一网打尽
https://bbs.pinggu.org/thread-16005019-1-1.html
64. 【顶刊方法,自用整理!】2007-2024上市公司污染物排放量,企业污染排放明细数据,4大指标
https://bbs.pinggu.org/thread-16004900-1-1.html
65. 【24更新,热点变量!】2007-2024上市公司ZF补助,ZF补贴数据合集,3大测度指标!
https://bbs.pinggu.org/thread-16004754-1-1.html
66. 【顶刊指标,24重磅更新!】2000-2024上市公司有效价差,相对有效价差数合集,Roll模型
https://bbs.pinggu.org/thread-16001133-1-1.html
67. 【24重磅,顶刊热点】2000-2024上市公司供应链金融,供应链金融水平合集,python文本分析https://bbs.pinggu.org/thread-16000747-1-1.html
二维码

扫码加我 拉你入群

请注明:姓名-公司-职位

以便审核进群资格,未注明则拒绝

半小时前
谢谢分享!
二维码

扫码加我 拉你入群

请注明:姓名-公司-职位

以便审核进群资格,未注明则拒绝

栏目导航
热门文章
推荐文章

说点什么

分享

扫码加好友,拉您进群
各岗位、行业、专业交流群