【原创整理,严禁任何团队和个人转载获利,转载必究!】
上市公司市场定价效率是近年来研究的热点方向之一,将企业市场定价效率与企业创新、投资效率、冗余管理等领域问题的实证研究更是如日中天。附件内为自用整理、严谨测度、多重校验的2000-2024上市公司定价效率、价格滞后、市场定价效率数据大合集,2大核心指标!包括上市公司综合市场回报率、日个股回报率等非常详细的原始数据,以及参考来自《经济研究》等C刊文献构建的衡量上市公司定价效率的2大最终测度指标,累计涵盖6.6w+观测值数量,5000+样本企业,已整理好的面板数据可直接匹配后用于回归!本数数据集研究价值较高,一个数据集将上市公司定价效率研究所需数据一网打尽!
本数据集过多次校验,由本人及所在课题组自用整理并提供售后咨询服务,欢迎大家私信交流!
本团队分享的所有原创自用数据都会及时更新,点击关注我,即可第一时间免费获取后续更新数据!购买则一份数据即可满足您不同时期的数据需求,充分节约您的宝贵时间!充分节约您的时间与精力!
【温馨提示】本人及所在团队致力于向大家分享高质量、科学准确的科研数据,长期以来好评如潮,数据质量有目共睹。近期发现论坛上出现部分账号倒卖本账号分享的原创数据,甚至连数据介绍文案都原封不动抄袭,查重率100%,实在令人不齿(在此就不一一点名,我们将保留追究其责任的权利。连文案都要抄袭,数据质量如何令人信服?)。作为论坛首批原创数据分享者,我们深知一份好数据对学术研究的重要性,我们在论坛此唯一账号,其他类似账号均为假冒,请大家注意甄别,其他渠道购买将无法获得质量保证与售后服务,批量购买欢迎私信联系,可享受优惠。
附件内所有文件均包括excel、dta格式面板数据,无偿赠送您非常详细的参考文献原文(均为C刊的高被引文献!!)、非常详细的stata测算全过程代码(真正实现数据真实且可复现,参考价值较高!)、原始数据(包括手工收集整理的测度企业市场定价效率的所有原始数据,指标构建所需的各个变量都可直接查到,指标来源有依据,充分保证数据真实性、准确性,绝对同于市面上其他粗制滥造数据!!)以及2024更新版本上市公司年度信息!本数据集适用于所有涉及企业定价效率方向的实证研究与理论分析,更是非常适合在此基础上进行拓展研究,能够帮助大家高效上手,完成科研任务!
此外,本数据集已为您匹配完成2000-2024上市公司常用财务指标面板数据,包括总资产、负债合计、流动负债合计、短期借款、一年到期长期负债、长期负债、长期借款、应付债券、股东权益合计、主营业务利润、税前总利润、实际所得税、净利润、债务利息支出、流动比率、存货周转率、长期负债比率、资产收益率、净资产收益率、每股收益、主营收入增长率、息税前盈余、流动资产比率、应计总利息比率、企业平均含息负债、期初含息负债、期末含息负债、资本支出等33+关键变量,可与上市公司面板数据匹配用于回归,累计涵盖6.7w+观测值数量,5600+样本企业!
本数据集来源正规,由我手动收集、整理,与同门多次核对,观测值数量全面,市面上的上市公司定价效率相关数据,年份较短(大部分只到2022年),还有人用插值法拟合,错误值太多,此数据集更新到2024年,观测值无误差,亲测效果良好,不含拟合处理,均为来自数据库的原始数据!
附件内容简介:
1、2000-2024上市公司定价效率、价格滞后、市场定价效率数据:包括上市公司综合市场回报率、日个股回报率等非常详细的原始数据,以及参考来自《经济研究》等C刊文献构建的衡量上市公司定价效率的2大最终测度指标,累计涵盖6.6w+观测值数量,5000+样本企业,已整理好的面板数据可直接匹配后用于回归,研究价值较高!
附件内包括非常详细的stata指标测算参考代码、参考文献原文、所有原始数据文件,可逐一核验准确性,大家可放心数据质量!
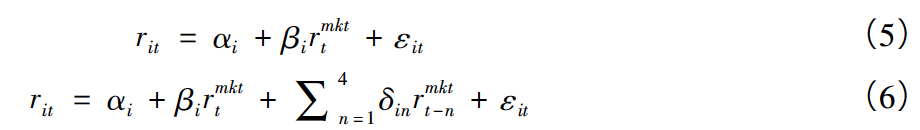
指标测度方法:借鉴Hou和Moskowitz(2005)的方法,基于股票收益率与市场收益率及其滞后值的回归系数和决定系数衡量市场的定价效率。首先基于年度内的日交易数据对以下两个方程分别进行估计:
其中,rit是第t日股票i的收益率,rtmkt是第t日的市场收益率(将市场中所有股票收益率根据流通市值进行加权),rt−nmkt表示滞后n日的市场收益率。然后基于决定系数R2和R2构建市场定价效率指标:
effi1取值越小,表明股票收益率对过去市场信息的依赖程度越低,股票用来吸收市场信息所需的时间越短,从而定价效率越高。
同时,还可以用方程(6)中的解释变量参数的相对大小来衡量股票收益率对滞后市场收益率的依赖程度,构建另一个市场定价效率指标:
其中,effi2反映了滞后一期市场收益率回归系数在所有回归系数中所占的比重,其值越小,表明市场定价效率越高。
篇幅限制无法展示详细的指标体系说明与测算方法,您如有疑惑可私信我,我将及时回复!
2、2000-2024上市公司定价效率、价格滞后、市场定价效率数据:包括上市公司综合市场回报率、日个股回报率等非常详细的原始数据,指标构建所需的各个变量都可直接查到,指标来源有依据,充分保证数据真实性、准确性!
3、无偿赠送!2000-2024年更新版本的上市公司年度基本信息,包括上市公司所属行业及代码、法定代表人、成立日期、上市日期、经营范围、主营业务、注册地址、注册资本、所在省份、所在地级市、行业名称、行业代码等39+变量,可与上市公司数据进行匹配,适用范围广泛!(市价超30元+!)
点击下方链接购买:
数据来源:上市公司数据库等途径手动整理而成,本数据集为课题组自用数据,经过我和同门师兄妹多次人工审核、校对;同时,数据的处理过程也咨询了我的导师,请大家放心使用,承诺良心数据!
欢迎大家购买,收集整理这份数据的成本远超售价!请大家支持原创,请勿转卖!
目前我应用经济学博士在读,如您有更具体的数据需求,请私信我详细说明,如有数据定制需求,可直接私信,我将秉持着严谨、科学的研究态度为您提供满意的数据服务。我所售数据均为承诺售后服务的,所有论坛私信都会及时回复,您在使用本数据集的过程中有任何疑问可随时联系,帮助大家到满意为止!如有任何疑问,欢迎私信沟通,恭候您的数据需求!
【顶刊变量,24更新!】2000-2024上市公司定价效率,价格滞后,市场定价效率合集,附代码
大小:85 Bytes
只需: RMB 9888 元 马上下载
【顶刊变量,24更新!】2000-2024上市公司定价效率,价格滞后,市场定价效率合集,附代码
欢迎查看本团队分享的自用原创实证数据,如有其他数据需求活批量购买,欢迎私信联系,可享受优惠~
1. 【24自用测度,顶刊变量!】2000-2024地级市银行竞争度,省级银行竞争度合集,HHI.CR3,CR5
https://bbs.pinggu.org/thread-16005886-1-1.html
2. 【顶刊热点,24重磅!】2007-2024上市公司供应链韧性,供应链抵抗力,供应链恢复力,附代码
https://bbs.pinggu.org/thread-16005548-1-1.html
3. 【24重磅更新,顶刊方法!】1991-2024上市公司组织韧性,企业韧性合集,3大方法一网打尽
https://bbs.pinggu.org/thread-16005019-1-1.html
4. 【顶刊方法,自用整理!】2007-2024上市公司污染物排放量,企业污染排放明细数据,4大指标
https://bbs.pinggu.org/thread-16004900-1-1.html
5. 【24更新,热点变量!】2007-2024上市公司ZF补助,ZF补贴数据合集,3大测度指标!
https://bbs.pinggu.org/thread-16004754-1-1.html
6. 【顶刊指标,24重磅更新!】2000-2024上市公司有效价差,相对有效价差数合集,Roll模型
https://bbs.pinggu.org/thread-16001133-1-1.html
7. 【24重磅,顶刊热点】2000-2024上市公司供应链金融,供应链金融水平,python文本分析
https://bbs.pinggu.org/thread-16000747-1-1.html
8. 【24重磅,已校验!】2000-2024上市公司上市公司国际化,海外业务收入,海外销售收入合集
https://bbs.pinggu.org/thread-15998138-1-1.html
9. 【24顶刊热点!】2000-2024上市公司股价崩盘风险合集,NCSKEW,DUVOL,CRASH,stata代码
https://bbs.pinggu.org/thread-15997806-1-1.html
10. 【顶刊方法,24重磅!】2007-2024上市公司金融化程度,企业金融化数据大合集,附stata代码
https://bbs.pinggu.org/thread-15996960-1-1.html
11. 【24更新,热点变量!】2000-2024上市公司广告支出,宣传推广费用,广告支出金额合集
https://bbs.pinggu.org/thread-15996576-1-1.html
12. 【24热点,附代码!】2008-2024上市公司过度金融化程度,是否过度金融化合集,附原始数据
https://bbs.pinggu.org/thread-15995849-1-1.html
13. 【重磅,自用整理!】2011-2023我国31省文旅产业融合发展水平,文旅融合数据合集,熵值法
https://bbs.pinggu.org/thread-15993981-1-1.html
14. 【重磅,指标详尽!】2011-2023省级文旅产业融合发展水平,文旅融合数据,熵权topsis法!
https://bbs.pinggu.org/thread-15993949-1-1.html
15. 【C刊方法,24重磅!】2001-2024上市公司资管新规,企业金融强监管合集,附代码,原始数据
https://bbs.pinggu.org/thread-15992820-1-1.html
16. 【C刊指标,24重磅!】2000-2024上市公司机构投资者:短期/长期机构投资者持股数量/比例
https://bbs.pinggu.org/thread-15992372-1-1.html
17. 【顶刊方法,24重磅!】1991-2024上市公司创新产出,创新效率,创新投入合集,12大核心指标
https://bbs.pinggu.org/thread-15991573-1-1.html
18. 【区域创新】1991-2024省级专利申请与专利获得,地级市专利申请与专利授权,4份数据
https://bbs.pinggu.org/thread-15991300-1-1.html
19. 【24更新,热点变量!】2006-2024上市公司研发支出,企业研发费用数据,附变量说明文件!
https://bbs.pinggu.org/thread-15990553-1-1.html
20. 【24重磅,企业专利!】1991-2024上市公司专利获得情况,专利授权情况,专利分类号合集!
https://bbs.pinggu.org/thread-15989226-1-1.html
21. 【24重磅,企业创新!】1991-2024上市公司专利申请情况,发明/实用新型申请专利分类号
https://bbs.pinggu.org/thread-15988852-1-1.html
22. 【绿地投资】2007-2022中国对外绿地投资fdi markets与上市公司匹配数据,企业OFDI
https://bbs.pinggu.org/thread-15988206-1-1.html
23. 【区域绿色创新】1991-2024省级绿色专利申请与获得,市级绿色专利申请与获得,4份数据
https://bbs.pinggu.org/thread-15988056-1-1.html
24. 【热点,24重磅更新!】1991-2024上市公司绿色专利获得,绿色专利授权情况,16w观测值
https://bbs.pinggu.org/thread-15986290-1-1.html
25. 【24重磅,热点!】1991-2024上市公司绿色专利申请合集,绿色发明专利/绿色实用新型专利
https://bbs.pinggu.org/thread-15986281-1-1.html
26. 【24重磅,热点指标!】1991-2024上市公司绿色创新数据合集,绿色专利申请/绿色专利授权
https://bbs.pinggu.org/thread-15986142-1-1.html
27. 【顶刊方法,24常用!】2000-2024上市公司对外开放程度,外来文化冲击,市场化进程数据!
https://bbs.pinggu.org/thread-15981188-1-1.html
28. 【热点,24更新版本!】1990-2024上市公司市场地位,市场占有率,市场势力范围,附参考代码
https://bbs.pinggu.org/thread-15977129-1-1.html
29. 【24热点,顶刊方法!】2008-2024上市公司高管超额薪酬,管理者超额薪酬合集,4大指标
https://bbs.pinggu.org/thread-15976681-1-1.html
30. 【24重磅,顶刊变量!】2000-2023传统企业跨界数字创新,数字技术融合创新/数字创新质量
https://bbs.pinggu.org/thread-15942494-1-1.html
31. 【24重磅,附代码!】1999-2024上市公司资产误定价,资产误定价水平,行业回归价值估值法
https://bbs.pinggu.org/thread-15939774-1-1.html
32. 【24更新,热点变量!】2003-2024上市公司社会捐赠,慈善捐赠,社会责任承担,慈善捐赠倾向
https://bbs.pinggu.org/thread-15939195-1-1.html
33. 【重磅更新,7大数据!】1990-2024上市公司数字化转型,数字化转型程度,数字化转型指数
https://bbs.pinggu.org/thread-15937685-1-1.html
34. 【24重磅,顶刊方法!】2000-2023上市公司数字化转型程度工具变量,数字化转型工具变量
https://bbs.pinggu.org/thread-15924396-1-1.html
35. 【热点,24更新!】2001-2024上市公司客户重要性,审计客户重要性水平,附代码,原始数据
https://bbs.pinggu.org/thread-15924343-1-1.html
36. 【24重磅更新!】2000-2024上市公司儒家文化,传统文化,中华文化,基于孔庙遗存/明清进士
https://bbs.pinggu.org/thread-15922171-1-1.html
37. 【24更新,常用DID】2010-2024社会信用体系建设试点,社会信用体系改革试点DID数据
https://bbs.pinggu.org/thread-15921015-1-1.html
38. 【24自用更新,详细!】2009-2024八批自由贸易试验区,片区名单,自由贸易试验区建设DID
https://bbs.pinggu.org/thread-15917599-1-1.html
39. 【顶刊变量,24更新!】2000-2024上市公司并购行为/外部扩张:并购次数,并购金额,附代码!
https://bbs.pinggu.org/thread-15913182-1-1.html
40. 25更新,自用整理!】2001-2025互联网数据中心企业名单,互联网数据中心许可证企业数据
https://bbs.pinggu.org/thread-15906407-1-1.html
41. 【24热点,自用整理!】1990-2024上市公司地区市场公平竞争程度,市场公平竞争环境合集
https://bbs.pinggu.org/thread-15906159-1-1.html
42. 【24重磅,自用整理!】1990-2024上市公司资产结构,企业脱虚向实程度,附代码,参考文献
https://bbs.pinggu.org/thread-15894340-1-1.html
43. 【24更新,热点指标!】2000-2024上市公司数据资产化,企业数据资产化程度,文本分析法
https://bbs.pinggu.org/thread-15891592-1-1.html
44. 【24自用更新】1997-2024分省份市场化指数分项指数上市公司匹配数据,樊纲市场化指数
https://bbs.pinggu.org/thread-15886991-1-1.html
45. 【24重磅,顶刊方法!】2011-2024上市公司耐心资本:关系型债务/稳定型股权,附原始数据!
https://bbs.pinggu.org/thread-15881398-1-1.html
46. 【顶刊方法,24更新!】2015-2024上市公司新质生产力数据合集,熵值法,附原始数据!
https://bbs.pinggu.org/thread-15841574-1-1.html
47. 【24重磅,顶刊变量!】2000-2024上市公司高管环保认知,高管绿色认知.附代码,原始数据
https://bbs.pinggu.org/thread-15784407-1-1.html
48. 【24更新,热点变量!】2004-2024上市公司绿色投资者关注,绿色机构投资者注意力,附代码
https://bbs.pinggu.org/thread-15783776-1-1.html
49. 【24更新,重磅整理!】2000-2024上市公司动态能力合集,包括创新能力,吸收能力,适应能力
https://bbs.pinggu.org/thread-15681692-1-1.html
50. 【24顶刊指标!】2008-2024上市公司研发操纵,企业研发操纵程度,附stata代码,原始数据!
https://bbs.pinggu.org/thread-15675659-1-1.html
51. 【热点变量,24自用!】2005-2024上市公司治理水平,企业治理数据,主成分分析,附原始数据
https://bbs.pinggu.org/thread-15665001-1-1.html
52. 【24更新,自用整理!】1990-2024上市公司商业信用融资,商业信用数据,附代码,原始数据!
https://bbs.pinggu.org/thread-15655243-1-1.html
53. 【24整理,顶刊方法!】2000-2024上市公司非效率投资,非效率投资程度,Richardson模型!
https://bbs.pinggu.org/thread-15655219-1-1.html
54. 【顶刊指标,24更新!】2000-2024上市公司忙碌独董人数,忙碌独董比例,是否聘任忙碌独董!
https://bbs.pinggu.org/thread-15629597-1-1.html
55. 【24更新,顶刊方法!】2008-2024上市公司税负粘性,企业税负粘性水平,3大指标 stata代码
https://bbs.pinggu.org/thread-15617956-1-1.html
56. 【24重磅更新!】2003-2024上市公司连锁股东,连锁股东虚拟变量,连锁股东持股比例附代码
https://bbs.pinggu.org/thread-15612770-1-1.html
57. 【顶刊指标,24重磅!】2008-2024上市公司环境信息披露质量,绿色信息披露质量,stata代码
https://bbs.pinggu.org/thread-15606220-1-1.html
58. 【自用整理,24更新!】2000-2024上市公司税收优惠,企业税收优惠,附stata代码,原始数据
https://bbs.pinggu.org/thread-15605834-1-1.html
59. 【24重磅更新,自用!】2018-2024上市公司漂绿,伪社会责任,漂绿程度,环境信息披露质量
https://bbs.pinggu.org/thread-15605553-1-1.html
60. 【24重磅,顶刊方法!】2000-2024上市公司声誉,企业声誉合集,附stata代码与原始数据!
https://bbs.pinggu.org/thread-15605186-1-1.html
61. 【24重磅!】2000-2024上市公司代理成本,经营费用率,管理费用率,资产周转率,大股东占用
https://bbs.pinggu.org/thread-15588100-1-1.html
62. 【顶刊方法,24重磅!】1985-2024我国省级地级市区县数实融合,数数融合,实实融合大合集!
https://bbs.pinggu.org/thread-15577445-1-1.html
63. 【首发数据,自用整理!】2005-2022上市公司业绩说明会问答文本数据,超80w观测值!
https://bbs.pinggu.org/thread-15568025-1-1.html
64. 【详细整理,24更新!】2015-2024ZF绿色采购,ZF绿色采购产品明细数据,超14w观测值
https://bbs.pinggu.org/thread-15567677-1-1.html
65. 【热点指标,24更新!】2000-2024上市公司过度负债程度,杠杆率水平,去杠杆程度,附文献!
https://bbs.pinggu.org/thread-15556470-1-1.html
66. 【24重磅,顶刊变量!】2000-2024上市公司违规次数,是否违规,违规行为数据,附原始数据!
https://bbs.pinggu.org/thread-15556088-1-1.html
67. 【热点变量,23重磅!】2001-2023上市公司业财融合,业财一体化数据,附stata与python代码
https://bbs.pinggu.org/thread-15532867-1-1.html
68. 【24重磅,顶刊变量!】1990-2024上市公司信息不对称程度,股票流动性,非流动性比率!
https://bbs.pinggu.org/thread-15532862-1-1.html
69. 【24重磅,热点变量!】2006-2024上市公司财务柔性,现金柔性,负债柔性数据,附stata代码
https://bbs.pinggu.org/thread-15532552-1-1.html
70. 【顶刊方法,23热点!】2004-2023上市公司绿色投资者关注,绿色机构投资者注意力,6大指标
https://bbs.pinggu.org/thread-15529746-1-1.html
71. 【24重磅,顶刊指标】2005-2024上市公司全要素生产率, 附代码OP/LP/OLS/GMM/FE五大方法
https://bbs.pinggu.org/thread-15520569-1-1.html
72. 【热点变量,24重磅更新!】2009-2024上市公司华证ESG评级,企业ESG评级数据,2大指标!
https://bbs.pinggu.org/thread-15489891-1-1.html
73. 【24重磅更新,顶刊方法!】2001-2024上市公司分析师关注度,研报关注度合集,4大核心指标
https://bbs.pinggu.org/thread-15487817-1-1.html
74. 【24重磅更新,顶刊变量!】2000-2024上市公司诉讼风险,诉讼次数,诉讼金额合集,附代码
https://bbs.pinggu.org/thread-15484385-1-1.html
75. 【24重磅更新,已校验,140G!】1991-2024上市公司年报文本数据,pdf与txt格式,14w年报数
https://bbs.pinggu.org/thread-15447233-1-1.html
76. 【重磅热点,23自用整理!】2000-2023上市公司高管数字化背景,数字化背景高管,附代码!
https://bbs.pinggu.org/thread-15444225-1-1.html
77. 【顶刊方法,常用did!】2007-2023我国省级农业社会化服务试点政策DID合集,附原始名单
https://bbs.pinggu.org/thread-15401523-1-1.html
78. 【顶刊做法,23自用!】2000-2023上市公司并购溢价,并购溢价率合集,2大指标,附代码文献!
https://bbs.pinggu.org/thread-15312071-1-1.html
79. 【24重磅,热点变量!】2000-2024上市公司风险承担水平,企业盈余波动性合集,4大核心指标
https://bbs.pinggu.org/thread-15235214-1-1.html
80. 【23更新,顶刊方法!】2000-2023上市公司银企关系,银行企业关联关系合集,附参考文献!
https://bbs.pinggu.org/thread-15132490-1-1.html
81. 【24重磅,多版本,附代码!】2001-2024上市公司控制变量,常用控制变量,企业基础数据合集
https://bbs.pinggu.org/thread-15130396-1-1.html
82. 【23整理,热点变量!】2007-2023上市公司超级明星发明家,超级明星发明家数量/虚拟变量!
https://bbs.pinggu.org/thread-15122109-1-1.html
83. 【重磅,自用,25更新!】2005-2025期货高频数据,期货商品指数/期货主力连续1分钟合集!
https://bbs.pinggu.org/thread-15105282-1-1.html
84. 【重磅,24更新,顶刊方法!】2000-2024上市公司投服中心行权,监管型小股东行权DID数据!
https://bbs.pinggu.org/thread-15084942-1-1.html
85. 【重磅,25更新,78w观测值!】2003-2025上市公司分析师报告文本,企业研报文本合集,自用!
https://bbs.pinggu.org/thread-15076029-1-1.html
86. 【23更新,热点指标!】2008-2023上市公司国际化程度,企业国际化水平合集,主成分分析法
https://bbs.pinggu.org/thread-15065186-1-1.html
87. 【23自用,顶刊方法!】2000-2023上市公司高管纵向兼任,董事长纵向兼任,总经理纵向兼任!
https://bbs.pinggu.org/thread-15035480-1-1.html
88. 【23热点,附代码!】2005-2023上市公司国际化程度,企业海外经营,国际化深度合集,附文献
https://bbs.pinggu.org/thread-15033469-1-1.html
1.【23热点,附代码!】2005-2023上市公司国际化程度,企业海外经营,国际化深度合集,附文献
https://bbs.pinggu.org/thread-15033469-1-1.html
2.【23推荐,自用整理!】2007-2023上市公司合格境外机构投资者持股,QFII数量合集,附文献!
https://bbs.pinggu.org/thread-15029369-1-1.html
3.【详细,热点DID!】2013-2023上市公司投服中心行权,投服中心持股行权DID合集,附文献!
https://bbs.pinggu.org/thread-15025174-1-1.html
4.【23更新,顶刊方法!】2007-2023上市公司CEO继任情况,CEO是否继任合集,附原始数据,文献
https://bbs.pinggu.org/thread-15021611-1-1.html
5.【24更新,热点指标!】2015-2024年ZF数字采购明细数据合集,20w+观测值,附参考文献!
https://bbs.pinggu.org/thread-15021594-1-1.html
6.【24更新,热点指标!】2000-2024上市公司环境不确定性,企业不确定性,2大指标,附代码!
https://bbs.pinggu.org/thread-14994531-1-1.html
7.【顶刊方法,附代码!】2001-2023上市公司数字赋能,数字化转型水平,词频-逆文本频率法!
https://bbs.pinggu.org/thread-14990188-1-1.html
8.【24更新,热点指标!】2001-2024上市公司链主企业,供应链“链主”企业数据合集,附文献!
https://bbs.pinggu.org/thread-14976342-1-1.html
9.【热点变量,详细整理!】2005-2023上市公司诚信文化,企业诚信水平合集,附代码,原始数据
https://bbs.pinggu.org/thread-14955037-1-1.html
10.【23重磅,自用整理,超37G!】2021-2023美国专利明细数据合集,210+变量,800w+专利数量
https://bbs.pinggu.org/thread-14949730-1-1.html
11.【顶刊变量,23热点!】2007-2023上市公司投机文化,彩票文化,博彩文化合集,6大核心变量!
https://bbs.pinggu.org/thread-14941078-1-1.html
12.【23重磅,顶刊方法!】2010-2023上市公司留抵退税政策DID,税收政策,税制改革合集
https://bbs.pinggu.org/thread-14909019-1-1.html
13.【重磅,详细整理!】1998-2023企业/省份层面ZF引导基金,ZF引导基金投资事件合集!
https://bbs.pinggu.org/thread-14905292-1-1.html
14.【23详细,自用整理!】2009-2023上市公司绿色治理机会主义行为数据合集,附参考文献原文
https://bbs.pinggu.org/thread-14904805-1-1.html
15.【23重磅,热点变量!】2009-2023上市公司漂绿,企业漂流程度,伪社会责任,附原始数据代码
https://bbs.pinggu.org/thread-14899675-1-1.html
16.【23推荐,热点变量!】2007-2023上市公司技术封锁,技术封锁程度,年报/MD&A文本分析
https://bbs.pinggu.org/thread-14890486-1-1.html
17.【重磅,23热点变量!】2000-2023上市公司组织惯性数据大合集,2大核心指标,附stata代码!
https://bbs.pinggu.org/thread-14888845-1-1.html
18.【重磅,顶刊指标!】2000-2023传统企业跨界数字创新,数字技术融合创新/数字创新质量!
https://bbs.pinggu.org/thread-14873741-1-1.html
19.【23重磅,附代码!】2004-2023上市公司数字领导力,数字化领导力合集,附参考文献原文!
https://bbs.pinggu.org/thread-14869792-1-1.html
20.【23更新,热门DID】2007-2023我国数字产业集群政策DID数据大合集,附参考文献原文!
https://bbs.pinggu.org/thread-14869790-1-1.html
21.【23详细,热点变量!】2005-2024上市公司财务共享,财务共享服务数据合集,C刊文献做法
https://bbs.pinggu.org/thread-14864452-1-1.html
22.【23重磅,顶刊方法!】2000-2023上市公司突破式创新,突破式创新程度python代码,3大指标
https://bbs.pinggu.org/thread-14860443-1-1.html
23.【重磅自用】2010-2023上市公司审计委员会独立性/独董比例,审计委员会专业性/财务背景
https://bbs.pinggu.org/thread-14844058-1-1.html
24.【重磅,23更新!】2000-2023上市公司红色文化,基于国家级烈士纪念设施测度,15大指标!
https://bbs.pinggu.org/thread-14835942-1-1.html
25.【热点变量,23自用!】2000-2023上市公司监管距离,金融监管距离数据,附代码,参考文献
https://bbs.pinggu.org/thread-14830904-1-1.html
26.【热点指标,23自用】2000-2023中国气候政策不确定性,省级,地级市气候政策不确定性CCPU
https://bbs.pinggu.org/thread-14799370-1-1.html
27.【23自用,顶刊做法!】2003-2023上市公司供应链持股比例,首次供应链持股数据,3大指标
https://bbs.pinggu.org/thread-14799052-1-1.html
28.【重磅,23自用!】1999-2023上市公司贸易政策不确定性,企业贸易政策不确定性,文本分析
https://bbs.pinggu.org/thread-14798047-1-1.html
29.【顶刊变量,23自用!】2000-2023上市公司运营韧性,单位生产成本营业收入数据,附代码!
https://bbs.pinggu.org/thread-14792607-1-1.html
30.【23自用,热点变量!】2003-2023上市公司财务欺诈,财务欺诈次数,附原始数据,参考文献
https://bbs.pinggu.org/thread-14787374-1-1.html
31.【24重磅,自用!】1990-2024上市公司ZF引导基金投资,企业受到ZF引导资金投资合集!
https://bbs.pinggu.org/thread-14782405-1-1.html
32.【顶刊方法,异质性分组】2000-2023上市公司异质性分组,高科技行业/重污染行业分组合集
https://bbs.pinggu.org/thread-14777843-1-1.html
33.【23自用,附原始指标!】2012-2023我国银行流动性创造,表内流动性创造,表外流动性创造
https://bbs.pinggu.org/thread-14775941-1-1.html
34.【23重磅,自用整理!】2012-2023我国各省直辖市低空经济,无人机企业相关数据合集!
https://bbs.pinggu.org/thread-14774292-1-1.html
35.【23自用,C刊指标!】2002-2023上市公司董事会非正式层级清晰度,Gini系数测度,附代码!
https://bbs.pinggu.org/thread-14771359-1-1.html
36.【顶刊方法,23自用!】2004-2023上市公司财务违规,财务违规次数,财务违规程度,附代码!
https://bbs.pinggu.org/thread-14770218-1-1.html
【23自用,热点指标!】2007-2023债券信用利差,债券信用评级利差,附原始数据,stata代码
https://bbs.pinggu.org/thread-14747941-1-1.html
37.【重磅,23热点!】2005-2023上市公司数字化转型速度,数字化转型节奏,数字化转型程度!
https://bbs.pinggu.org/thread-14742399-1-1.html
38.【自用,23热点!】2000-2023上市公司内部控制质量,内部控制有效性,内部控制评级大合集
https://bbs.pinggu.org/thread-14737769-1-1.html
39.【23自用,热点变量!】2000-2023上市公司双元创新平衡性,双元创新互补性,4大指标!
https://bbs.pinggu.org/thread-14737567-1-1.html
40.【23顶刊方法!】2000-2023上市公司高管环保背景,环保背景高管数量,附代码,原始数据
https://bbs.pinggu.org/thread-14732449-1-1.html
41.【热点变量,23更新!】2003-2023上市公司财务舞弊,财务舞弊次数,财务违规合集,附文献!
https://bbs.pinggu.org/thread-14691238-1-1.html
42.【23重磅,自用整理!】2003-2023上市公司每股社会贡献,社会责任表现,社会责任投入水平!
https://bbs.pinggu.org/thread-14690523-1-1.html
43.【详细整理,23更新!】2007-2023我国600家银行基础数据,银行控制变量合集,450+变量!
https://bbs.pinggu.org/thread-14520717-1-1.html
44.【已校验,变量详细!】1990-2023上市公司基础数据,控制变量大合集,超1400+变量!
https://bbs.pinggu.org/thread-14505376-1-1.html
45.【23更新,顶刊变量!】2000-2023上市公司超额商誉,超额商誉水平,附stata代码,原始数据!
https://bbs.pinggu.org/thread-14501354-1-1.html
46.【顶刊方法,23更新!】2008-2023上市公司绿色战略导向数据,2大指标,stata代码原始数据!
https://bbs.pinggu.org/thread-14499991-1-1.html
47.【稀缺,核心变量!】2000-2023上市公司绿色战略行为,绿色战略行动,stata代码,原始数据!
https://bbs.pinggu.org/thread-14495298-1-1.html
48.【重磅,23更新!】2011-2024上市公司关键核心技术专利,关键核心技术创新,附权威文献!
https://bbs.pinggu.org/thread-14450518-1-1.html
49.【重磅,23更新】2004-2023上市公司独立董事履职行为,独立董事参会,stata代码,原始数据
https://bbs.pinggu.org/thread-14447715-1-1.html
50.【自用整理,23更新!】2000-2023上市公司并购溢价,并购溢价率合集,stata代码,原始数据!
https://bbs.pinggu.org/thread-14415426-1-1.html
51.【常用did,23更新!】2003-2023自由贸易试验区建设与上市公司匹配DID数据,附参考文献!
https://bbs.pinggu.org/thread-14415421-1-1.html
52.【重磅,23更新!】2002-2023上市公司间接数字化转型,直接数字化转型合集,附原始数据!
https://bbs.pinggu.org/thread-14406308-1-1.html
53.【详细整理,23更新!】2000-2023服务贸易创新发展试点与上市公司匹配DID数据,完整面板!
https://bbs.pinggu.org/thread-14393595-1-1.html
54.【稀缺,23更新!】2010-2023上市公司税负粘性,企业税负粘性水平,附stata代码,原始数据!
https://bbs.pinggu.org/thread-14392782-1-1.html
55.【23更新,顶刊方法!】2008-2023上市公司对外担保.担保规模,高风险担保,附代码原始数据
https://bbs.pinggu.org/thread-14392439-1-1.html
56.【23更新,顶刊方法!】2000-2023上市公司违规次数,违规行为,违规处罚,8大指标,附代码!
https://bbs.pinggu.org/thread-14389369-1-1.html
57.【重磅推荐,23更新!】2010-2023上市公司环境代理成本,绿色代理成本,附代码,原始数据
https://bbs.pinggu.org/thread-14389338-1-1.html
58.【自用,23更新】2000-2023上市公司签字会计师繁忙度,签字审计师繁忙度,附代码原始数据
https://bbs.pinggu.org/thread-14381566-1-1.html
59.【稀缺数据,23更新!】2000-2023上市公司控制变量季度面板数据,20w+观测值,附stata代码
https://bbs.pinggu.org/thread-14376822-1-1.html
60.【23更新,附代码!】2000-2023上市公司超额雇员,政策性负担,社会性负担合集,原始数据
https://bbs.pinggu.org/thread-14376177-1-1.html
61.【重磅,24更新!】2000-2024上市公司信息披露质量KV指数,2大指标,附代码,原始数据
https://bbs.pinggu.org/thread-14366123-1-1.html
62.【指标详细,23更新】2011-2023省级城乡融合发展指数,城乡融合发展水平合集,附原始数据
https://bbs.pinggu.org/thread-14351000-1-1.html
63.【稀缺,自用整理】2004-2022省级农产品出口技术复杂度,农产品出口竞争力,代码原始数
https://bbs.pinggu.org/thread-14343958-1-1.html
64.【详细,自用整理!】2008-2023上市公司绿色投资者数量,绿色投资者持股比例数据,附代码
https://bbs.pinggu.org/thread-14342811-1-1.html
65.【准确校验,23更新!】2014-2023全球企业绿色供应链指数CITI,企业气候行动指数CATI合集
https://bbs.pinggu.org/thread-14341139-1-1.html
66.【重磅更新,校验无误!】1990-2023省级外商直接投资水平,实际利用外商直接投资额合集
https://bbs.pinggu.org/thread-14340099-1-1.html
67.【热点变量,23更新!】2006-2023上市公司多个大股东,第一大股东持股比例,原始数据!
https://bbs.pinggu.org/thread-14322343-1-1.html
68.【重磅,自用整理!】2008-2023上市公司高管公职经历,高管政治关联合集,附代码,原始数据
https://bbs.pinggu.org/thread-14315018-1-1.html
69.【自用,稀缺数据!】2012-2022上市公司出口技术复杂度,企业出口竞争力,附代码,原始数据
https://bbs.pinggu.org/thread-14313158-1-1.html
70.【顶刊方法,23更新!】2007-2023上市公司国际化速度,国际化节奏数据,附原始数据,代码!
https://bbs.pinggu.org/thread-14307331-1-1.html
71.【重磅,23更新!】2001-2023上市公司管理层诚信承诺,管理层诚信水平,附原始数据,文献!
https://bbs.pinggu.org/thread-14281036-1-1.html
72.【自用,详细,23更新!】2007-2023上市公司数据资产信息披露程度大合集,年报文本分析!
https://bbs.pinggu.org/thread-14279475-1-1.html
73.【详细,已校验,23更新!】2000-2023上市公司法制环境,地区法制环境,市场化指数大合集!
https://bbs.pinggu.org/thread-14265943-1-1.html
74.【稀缺数据,23更新!】2000-2023上市公司纵向一体化,专业化分工合集,附代码,原始数据!
https://bbs.pinggu.org/thread-14265046-1-1.html
75.【重磅,23整理!】2001-2023上市公司竞争文化合集,年报文本分析法,附原始数据,参考文献
https://bbs.pinggu.org/thread-14246940-1-1.html
76.【重磅,附代码,23更新!】2008-2023上市公司绩效期望落差,业绩预期差距,原始数据!
https://bbs.pinggu.org/thread-14239804-1-1.html
77.【核心变量,23更新!】2009-2023商业银行风险承担z值,银行zscore大合集,附原始数据
https://bbs.pinggu.org/thread-14233968-1-1.html
78.【24更新,无缺漏!】2008-2024企业绩效评价标准值数据大合集,pdf与excel两大权威版本!
https://bbs.pinggu.org/thread-14229898-1-1.html
79.【重磅整理,3大模型!】2001-2023上市公司权益资本成本,股权融资成本,附代码,原始数据!
https://bbs.pinggu.org/thread-14201162-1-1.html
80.【顶刊指标,23更新!】2006-2023上市公司高管团队异质性合集,6大指标,附代码原始数据!
https://bbs.pinggu.org/thread-14194671-1-1.html
81.【详细校验,25更新!】2025我国城市发展指数,城市发展环境指数合集,赠送原始数据!
https://bbs.pinggu.org/thread-14194156-1-1.html
82.【自用整理,23更新!】2010-2023上市公司供应链成本分担,单向供应链成本分担,附文献!
https://bbs.pinggu.org/thread-14163552-1-1.html
扫码加好友,拉您进群



收藏
