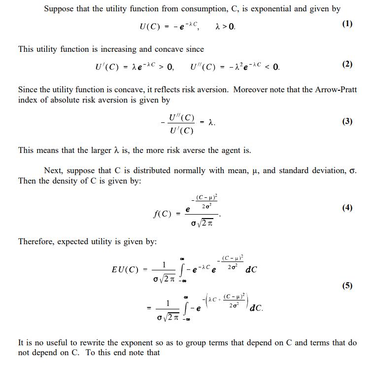
常数绝对风险厌恶(CARA)效用函数是一种在金融和经济学中常见的模型,用来描述投资者如何在面对不确定性和风险时做出决策。对于具有这种效用偏好的投资者来说,其效用函数通常形式为:
\[ U(w) = -e^{-\alpha w} \]
其中 \(w\) 是财富水平,而 \(\alpha > 0\) 则是常数绝对风险厌恶参数。
在你提到的期望效用变形问题中,我们假设一个投资者面对一个投资组合选择的问题。投资者的投资收益由随机变量 \(r\) 表示,所以实际财富 \(W = w_0 + r\cdot w\) ,其中 \(w_0\) 是初始财富,而 \(w\) 是投资的金额。
根据 CARA 效用函数,投资者从最终财富获得的效用是:
\[ U(W) = -e^{-\alpha (w_0 + rw)} \]
为了最大化期望效用,我们需要计算这个表达式的期望值,并找到使该期望值最大的 \(w\) 值。这意味着我们对 \(U(W)\) 按照投资收益的概率分布进行积分(或求和)。对于连续随机变量的情况:
\[ E[U(W)] = -\int e^{-\alpha (w_0 + rw)} f(r) dr \]
其中,\(f(r)\) 是 \(r\) 的概率密度函数。
但是,在实际的数学处理中,我们通常会利用一些性质来简化计算。在 CARA 效用函数的情况下,我们可以利用指数函数的一些特殊性质进行变形。例如,上式可以写成:
\[ E[U(W)] = -e^{-\alpha w_0} \int e^{-\alpha rw} f(r) dr \]
注意到 \(w_0\) 是一个常数,并且可以从积分中提出来,而内部的积分正好是 \(r\) 的指数分布的期望值乘以 \(-\alpha w\)。最终的形式会依赖于具体的投资收益分布函数。
在你给出的例子中,如果投资收益遵循某个特定的概率分布(比如正态分布),那么上述过程将会进一步简化,并且可以通过求导等方式找到最优投资量 \(w^*\)。
简单来说,期望效用的变形主要是利用了 CARA 效用函数的特殊形式和概率积分的一些性质。
此文本由CAIE学术大模型生成,添加下方二维码,优先体验功能试用