全部版块 我的主页
论坛 提问 悬赏 求职 新闻 读书 功能一区 经管文库(原现金交易版)
5871 11
2022-06-01

上市公司僵尸企业

FN识别法修正




计算说明  

      僵尸企业识别条件:扣除各类补贴后实际利润总额连续若干年之和为负,即:

204327okrcxddk34in4f4p.jpg



      其中,本文选取T=2(即连续三年)作为基准识别结果。
      按照该识别条件,为了计算一家企业的实际利润,需要计算政府补贴和信贷补贴。信贷补贴用最低应付利息与实际支付利息之差衡量。
      在计算信贷补贴时,需要计算每年的最低利率和最低应付利息。其中,最低短期贷款利率可以用一年期贷款基础利率(Loan Prime Rate, 简称LPR),即最优贷款利率数据来表示,但是2013年中国央行才开始实行集中报价机制,本文根据每一年调息前后的时间区间和贷款基准利率,加权平均得到各年不同期限的平均贷款利率。这里假设样本企业的短期贷款期限满足均匀分布,由此将期限为6个月(含)和6个月至1年(含)的贷款基准利率年化平均后得到短期最优贷款利率,计算公式如下:

204327mccg6cpo4hmgdgrb.jpg




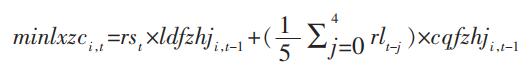
      考虑到长期贷款利息对应的期限皆为1年,长期最优贷款利率为1—3年(含)贷款基准利率、3- 5年(含)、5年以上贷款基准利率的算术平均。计算t年的最低应付利息minlxzc:

204709hm7alela9psall9h.jpg



      其中,rs为短期最优贷款利率,rl为长期最优贷款利率,ldfzhj为流动负债所代表的短期借款,cqfzhj为长期负债所代表的长期借款。由此计算出信贷补贴:

204824rs49snin3h4z4jih.jpg



      其中,lxzc为利息支出。

      最后,将净利润减去上述政府补贴与信贷补贴之和,得到扣除补贴后的实际利润:

205000bslh7c0mc5dhrrlr.jpg



      其中,profit为净利润;govsub为政府补贴。

      考虑到在满足总体识别条件的企业中有一部分存续期超过三年,但尚未盈利的创业型企业可能会被错误识别成僵尸企业。若这类企业能连续三年持续获得外部的股权融资,则说明其成长性较好,能获得资本市场的认可,虽然暂时尚未盈利,但应该从僵尸企业中排除出去,为此,在前面的识别条件之上提出修正条件:排除连续三年净资产持续增加的企业,即排除符合如下条件的企业

224623cfhk2f4emfse2l45.jpg



      其中,syzqy为净资产。

利用上市公司数据进行识别时,考虑到退市制度可能导致上市公司有更加强烈的盈余管理动机,需要对上述识别方法略做调整。根据监管要求,上市公司终止上市,一般先从特别处理开始(包括退市风险警示和其他特别处理)。如果被特别处理的上市公司改善了经营状况,则可申请撤销特别处理(即摘帽);监管机构根据暂停上市的公司在规定期间内的经营情况,对其恢复上市或终止上市。退市预警、暂停上市和强制终止上市等退市制度,在财务指标和窗口期方面都有硬性规定。如果业绩不佳的上市公司不愿退市,往往会选择进行盈余管理。其常见手法是,通过对会计报表的调整,使公司在某年出现巨额亏损,将利润后移,以使后续年份出现微薄盈利,进而出现两年亏损、一年微利的周期特征。为此,对连续三年扣除补贴后的实际利润总额进行平滑时,将分别对t-2—t年、t-1一t+1年、t一t+2年的三个连续三年的实际利润总额进行加总,若以上三个总和只要有一个小于0,则该企业在t年被识别为是僵尸企业。在前述识别方法其他条件不变的情况下,这一调整降低了上市公司因提前或滞后亏损而被遗漏识别的可能性,而并未改变本文识别方法的基本思路。




参考文献(经管之家momingqimiao7)

  • 黄少卿, 陈彦. 中国僵尸企业的分布特征与分类处置[J]. 中国工业经济, 2017(3):20.


数据说明(经管之家momingqimiao7)

  • 代码格式:do文件(Stata14/15/16/17),需要安装包可以到该贴下载: 下载地址
  • 数据对象:选择2008-2021年全部A股上市公司数据,剔除金融行业,剔除已退市公司,剔除缺失值
* 版明:经管之家momingqimiao7
* 仅供学习参考,请勿私自转卖,谢谢合作
结果说明
数据截图
QQ截图20220601173858.jpg

各年数据量

QQ截图20220601173917.jpg
分年僵尸企业比例

QQ截图20220601173909.jpg


附件下载力度

QQ截图20220601174018.jpg

上市公司僵尸企业Stata代码(2009-2021年).zip
大小:(8.28 MB)

只需: RMB 58元  马上下载

本附件包括:

  • Wind基础数据.xlsx
  • 中国僵尸企业的分布特征与分类处置_黄少卿.pdf
  • 人民币贷款基准利率.xlsx
  • 僵尸企业结果.dta
  • 僵尸企业结果.xlsx
  • 公司文件.dta
  • 基础数据.dta
  • 处理代码[momingqimiao7].do
  • 贷款利率.dta







经管之家:momingiqmiao7
欢迎关注,分享更多实用的数据,独家发布,请勿私自转卖


关注帖子索引2020年】【帖子索引2021年】【使用常见问题

点击查看更多帖子】【Stata软件下载】【Stata免费学习资料






二维码

扫码加我 拉你入群

请注明:姓名-公司-职位

以便审核进群资格,未注明则拒绝

全部回复
2022-6-1 23:06:38
  上市公司常用基础数据集合

包含财务指标、公司治理、交易数据(更新至2021年)
https://bbs.pinggu.org/thread-11036326-1-1.html


季度版本
https://bbs.pinggu.org/thread-11053751-1-1.html

常用控制变量集合
https://bbs.pinggu.org/thread-11043247-1-1.html


实证分析常用代码整理合集
https://bbs.pinggu.org/thread-10980403-1-1.html



【必备】A股上市公司基础信息(行业、省份、城市、区域、高新技术企业、上市年份等)
https://bbs.pinggu.org/thread-10538441-1-1.html

★筛选数据★ 沪深A股是否ST、*ST或PT数据整理
https://bbs.pinggu.org/thread-10946316-1-1.html

上市公司论文实证分析筛选样本所用数据指标
https://bbs.pinggu.org/thread-10705229-1-1.html


会计类专题数据

会计信息可比性https://bbs.pinggu.org/thread-11046316-1-1.html
会计信息可比性改进方法https://bbs.pinggu.org/thread-11046955-1-1.html
应计盈余管理(操控性应计利润)https://bbs.pinggu.org/thread-11044941-1-1.html
应计盈余管理DD模型和McNicols模型https://bbs.pinggu.org/thread-11046048-1-1.html
应计盈余管理非线性琼斯模型https://bbs.pinggu.org/thread-10681821-1-1.html
真实盈余管理【常用方法】https://bbs.pinggu.org/thread-11047874-1-1.html
真实盈余管理【拓展方法】https://bbs.pinggu.org/thread-11047887-1-1.html
归类变更盈余管理https://bbs.pinggu.org/thread-11056411-1-1.html
审计质量/审计报告激进性https://bbs.pinggu.org/thread-11056056-1-1.html
客户与审计师不匹配关系https://bbs.pinggu.org/thread-11056358-1-1.html
客户重要性https://bbs.pinggu.org/thread-11056452-1-1.html
融资约束SA指数https://bbs.pinggu.org/thread-11042386-1-1.html
融资约束KZ指数https://bbs.pinggu.org/thread-10630184-1-1.html
融资约束WW指数https://bbs.pinggu.org/thread-10615267-1-1.html
破产风险/破产倾向 Altman Z-Scorehttps://bbs.pinggu.org/thread-10598994-1-1.html
Ohlson破产概率指标O-Scorehttps://bbs.pinggu.org/thread-10622453-1-1.html
投资效率 OLS模型 营业收入增长率https://bbs.pinggu.org/thread-11055328-1-1.html
投资效率 OLS模型 托宾Qhttps://bbs.pinggu.org/thread-11055328-1-1.html
投资效率 GMM模型https://bbs.pinggu.org/thread-11055328-1-1.html
Biddle模型和Chen模型投资效率https://bbs.pinggu.org/thread-11055935-1-1.html
会计稳健性C-Scorehttps://bbs.pinggu.org/thread-11052606-1-1.html
财务柔性(现金柔性+负债融资柔性)https://bbs.pinggu.org/thread-11060747-1-1.html
高管超额薪酬和绝对薪酬数据https://bbs.pinggu.org/thread-11049485-1-1.html
管理者超额薪酬https://bbs.pinggu.org/thread-11049469-1-1.html
劳动投资效率冗余雇佣/雇佣不足https://bbs.pinggu.org/thread-11060650-1-1.html
企业内部薪酬差距https://bbs.pinggu.org/thread-11042271-1-1.html
企业外部薪酬差距https://bbs.pinggu.org/thread-11042304-1-1.html
企业避税活动/税收激进度/税收规避https://bbs.pinggu.org/thread-10620164-1-1.html
企业税负粘性https://bbs.pinggu.org/thread-11055290-1-1.html
信息披露质量KV指数https://bbs.pinggu.org/thread-10904861-1-1.html
异常审计费用https://bbs.pinggu.org/thread-10960531-1-1.html
收益激进度和收益平滑度https://bbs.pinggu.org/thread-10617089-1-1.html
盈余激进度和盈余平滑度https://bbs.pinggu.org/thread-10617131-1-1.html
企业生命周期(现金流组合)https://bbs.pinggu.org/thread-11039173-1-1.html
企业生命周期(李云鹤文献)https://bbs.pinggu.org/thread-10618145-1-1.html
政府补助https://bbs.pinggu.org/thread-11049408-1-1.html
经营风险https://bbs.pinggu.org/thread-10629671-1-1.html
连锁股东https://bbs.pinggu.org/thread-11055005-1-1.html
透明度综合指标TRANShttps://bbs.pinggu.org/thread-10686335-1-1.html
深交所信息披露考评结果https://bbs.pinggu.org/thread-10686325-1-1.html
供应商集中度和销售集中度https://bbs.pinggu.org/thread-10687473-1-1.html
审计师行业专长https://bbs.pinggu.org/thread-10616370-1-1.html
审计意见和审计费用、是否四大、是否十大https://bbs.pinggu.org/thread-10625489-1-1.html
税收征管力度https://bbs.pinggu.org/thread-10783416-1-1.html
研发操纵https://bbs.pinggu.org/thread-10658755-1-1.html
成本粘性https://bbs.pinggu.org/thread-11049166-1-1.html
短债长投https://bbs.pinggu.org/thread-10523284-1-1.html
债务融资成本Costhttps://bbs.pinggu.org/thread-10635239-1-1.html
上市公司对外担保https://bbs.pinggu.org/thread-11060806-1-1.html
系统风险承担和特质风险承担https://bbs.pinggu.org/thread-10701972-1-1.html
合成控制法SCM案例--包含稳健性检验/安慰剂检验https://bbs.pinggu.org/thread-7026273-1-1.html
CRITIC赋值法确定权重计算综合指标https://bbs.pinggu.org/thread-10758720-1-1.html
治理效率/治理水平https://bbs.pinggu.org/thread-10767425-1-1.html
企业投资羊群行为https://bbs.pinggu.org/thread-10877649-1-1.html
现金流操控程度https://bbs.pinggu.org/thread-10775706-1-1.html
审计师工作量压力https://bbs.pinggu.org/thread-107919276-1-1.html
管理层语调操纵https://bbs.pinggu.org/thread-10792309-1-1.html
上市公司僵尸企业识别https://bbs.pinggu.org/thread-10861632-1-1.html


事件研究系列

事件研究Stata代码更新(绘走势图、直接生成最终结果表格)https://bbs.pinggu.org/thread-7006714-1-1.html
事件研究Stata代码更新 增加分组https://bbs.pinggu.org/thread-8070617-1-1.html
事件研究BHAR计算https://bbs.pinggu.org/thread-10535704-1-1.html
事件研究-常量均值模型(针对股指)https://bbs.pinggu.org/thread-7020229-1-1.html

二维码

扫码加我 拉你入群

请注明:姓名-公司-职位

以便审核进群资格,未注明则拒绝

2022-6-2 10:14:12
经济金融方面数据

年度股价崩盘风险https://bbs.pinggu.org/thread-10886419-1-1.html
季度股价崩盘风险https://bbs.pinggu.org/thread-10888385-1-1.html
股价崩盘风险扩展指数模型https://bbs.pinggu.org/thread-108913910-1-1.html
股价崩盘风险年报披露后365天https://bbs.pinggu.org/thread-11022859-1-1.html
年度股价同步性https://bbs.pinggu.org/thread-10897537-1-1.html
季度股价同步性https://bbs.pinggu.org/thread-10948192-1-1.html
月度股价同步性https://bbs.pinggu.org/thread-10994604-1-1.html
当年5月至次年4月股价同步性https://bbs.pinggu.org/thread-10589754-1-1.html
羊群效应CSSD、CSADhttps://bbs.pinggu.org/thread-10897843-1-1.html
流动性指标(换手率、Amihud、超额换手率)https://bbs.pinggu.org/thread-10887033-1-1.html
机构投资者羊群行为LSV模型https://bbs.pinggu.org/thread-11049067-1-1.html
Fama-French三因子模型https://bbs.pinggu.org/thread-10908175-1-1.html
中国版Fama-French三因子模型https://bbs.pinggu.org/thread-10908224-1-1.html
Fama-French五因子模型https://bbs.pinggu.org/thread-10429468-1-1.html
年度特质波动率/月度特质波动率https://bbs.pinggu.org/thread-10893659-1-1.html
月度日均特质波动率和特质偏度https://bbs.pinggu.org/thread-10893695-1-1.html
优化的股票特质收益率https://bbs.pinggu.org/thread-10897945-1-1.html
月度股价崩盘事件https://bbs.pinggu.org/thread-10989163-1-1.html
大股东是否股权质押数据https://bbs.pinggu.org/thread-8165275-1-1.html
大股东是否股权质押数据https://bbs.pinggu.org/thread-9730644-1-1.html
控股股东股权质押数据整理https://bbs.pinggu.org/thread-8615706-1-1.html
和讯网社会责任报告https://bbs.pinggu.org/thread-10602192-1-1.html
和讯网社会责任报告明细https://bbs.pinggu.org/thread-10637065-1-1.html
融资融券数据整理https://bbs.pinggu.org/thread-10939520-1-1.html
沪港通/深港通整理https://bbs.pinggu.org/thread-8243889-1-1.html
沪深300指数成分股历年调整https://bbs.pinggu.org/thread-10973403-1-1.html
中证500指数成分股历年调整https://bbs.pinggu.org/thread-10973743-1-1.html
环境不确定计算https://bbs.pinggu.org/thread-10605711-1-1.html
环境不确定(环境动态性和环境丰富性 )https://bbs.pinggu.org/thread-10605792-1-1.html
企业风险承担Riskhttps://bbs.pinggu.org/thread-11042438-1-1.html
https://bbs.pinggu.org/thread-10988151-1-1.html
机构投资者异质性https://bbs.pinggu.org/thread-11030598-1-1.html
【机构投资者期限】长期和短期机构投资者持股比例https://bbs.pinggu.org/thread-10685058-1-1.html
机构投资者持股数据https://bbs.pinggu.org/thread-10607278-1-1.html
市场调整法股票超额回报率https://bbs.pinggu.org/thread-11018065-1-1.html
证券分析师盈余预测误差和分歧度数据https://bbs.pinggu.org/thread-10694035-1-1.html
机构投资者实地调研https://bbs.pinggu.org/thread-10606861-1-1.html
市场化指数推算至2020年  制度环境测度https://bbs.pinggu.org/thread-8494420-1-1.html
市场化指数推算至2021年  制度环境测度https://bbs.pinggu.org/thread-10978178-1-1.html
市场化指数推算至2021年细分指标https://bbs.pinggu.org/thread-10985352-1-1.html
股权性质是否国企(Wind)https://bbs.pinggu.org/thread-11015235-1-1.html
有效价差和相对有效价差  Roll模型https://bbs.pinggu.org/thread-10638665-1-1.html
多元化经营https://bbs.pinggu.org/thread-8647145-1-1.html
上市公司全要素生产率LP方法https://bbs.pinggu.org/thread-10626957-1-1.html
上市公司全要素生产率OP方法https://bbs.pinggu.org/thread-10632669-1-1.html
管理者过度自信https://bbs.pinggu.org/thread-10672522-1-1.html
CEO过度自信(持股变动)https://bbs.pinggu.org/thread-10861287-1-1.html
投资者关注度https://bbs.pinggu.org/thread-10621883-1-1.html
研发投入/研发支出数据https://bbs.pinggu.org/thread-9124829-1-1.html
海外业务收入/海外销售收入https://bbs.pinggu.org/thread-11049070-1-1.html
产品市场集中度和竞争力https://bbs.pinggu.org/thread-11060358-1-1.html
赫芬达尔HHI指数和勒纳指数
超额商誉https://bbs.pinggu.org/thread-10641603-1-1.html
历史业绩预期差距https://bbs.pinggu.org/thread-10630172-1-1.html
业绩预告准确性和精确性https://bbs.pinggu.org/thread-10650566-1-1.html
分析师关注度https://bbs.pinggu.org/thread-10030257-1-1.html
战略差异度Strategy(王百强)https://bbs.pinggu.org/thread-10645363-1-1.html
战略差异度Strategy(叶康涛)https://bbs.pinggu.org/thread-10621139-1-1.html
战略调整度https://bbs.pinggu.org/thread-10622517-1-1.html
管理者能力https://bbs.pinggu.org/thread-10666462-1-1.html
公司治理水平https://bbs.pinggu.org/thread-11053391-1-1.html
管理层权力数据https://bbs.pinggu.org/thread-10672919-1-1.html
管理层权力数据-主成分分析https://bbs.pinggu.org/thread-10675555-1-1.html
关键审计事项https://bbs.pinggu.org/thread-9620455-1-1.html
高管薪酬粘性https://bbs.pinggu.org/thread-10618584-1-1.html
高管超额在职消费https://bbs.pinggu.org/thread-10619017-1-1.html
乐观偏差https://bbs.pinggu.org/thread-10683166-1-1.html
投资者情绪指标计算https://bbs.pinggu.org/thread-10966997-1-1.html
投资者意见分歧和股价效应https://bbs.pinggu.org/thread-10665016-1-1.html
企业金融化程度https://bbs.pinggu.org/thread-11044613-1-1.html
企业过度金融化程度https://bbs.pinggu.org/thread-10795592-1-1.html
学术型和直观型股票博彩指数https://bbs.pinggu.org/thread-10909996-1-1.html
资产误定价https://bbs.pinggu.org/thread-11043396-1-1.html
定价效率(收益率与市场收益率相关系数)https://bbs.pinggu.org/thread-10904849-1-1.html
定价效率/价格延迟指标(Hou&Moskowitz)https://bbs.pinggu.org/thread-10904834-1-1.html
【剩余收益模型RIM】上市公司资本市场估值偏误计https://bbs.pinggu.org/thread-10777383-1-1.html
资本市场定价效率(李善民)https://bbs.pinggu.org/thread-10416661-1-1.html
创新投入创新产出创新效率(2006-2020年)https://bbs.pinggu.org/thread-10771195-1-1.html
投资者异质信念(2000-2020年)https://bbs.pinggu.org/thread-10831005-1-1.html


权益资本成本
PEG模型/CAPM模型/OJ模型/MPEG模型
合集  https://bbs.pinggu.org/thread-10689710-1-1.html

二维码

扫码加我 拉你入群

请注明:姓名-公司-职位

以便审核进群资格,未注明则拒绝

2022-7-4 13:06:07
谢谢分享
二维码

扫码加我 拉你入群

请注明:姓名-公司-职位

以便审核进群资格,未注明则拒绝

2023-2-13 15:30:50
请问是完全按照论文作者的方法得出来的数据吗
二维码

扫码加我 拉你入群

请注明:姓名-公司-职位

以便审核进群资格,未注明则拒绝

2023-2-13 17:18:10
zhaonan_0729 发表于 2023-2-13 15:30
请问是完全按照论文作者的方法得出来的数据吗
您好,方法是一样的
二维码

扫码加我 拉你入群

请注明:姓名-公司-职位

以便审核进群资格,未注明则拒绝

点击查看更多内容…
相关推荐
栏目导航
热门文章
推荐文章

说点什么

分享

扫码加好友,拉您进群
各岗位、行业、专业交流群