全部版块 我的主页
论坛 提问 悬赏 求职 新闻 读书 功能一区 经管文库(原现金交易版)
30147 2
2020-06-04

中国版Fama-French三因子模型


只需要Fama-French三因子模型版本的帖子:https://bbs.pinggu.org/thread-7887883-1-1.html


数据说明



  • 数据区间:2000-2019年(原始数据区间1990-2019年)
  • 数据格式:dta(Stata 14/15/16),需要安装包可以到该贴下载: 下载地址
  • 无风险利率采用一年期定期存款利率
  • 市值指标选择流通市值(根据需要可以修改)
  • 市场回报率采用流通市值加权平均法计算,考虑现金红利再投资的综合月度市场回报率(数据里有几种可供选择)

    000621arid88k7in8kqq7k.jpg



  • 月个股回报率使用考虑现金红利再投资的月个股回报率



数据处理说明



  • 规范信息披露制度下上市公司年度财务报表一般在次年3、4月份公布,且在一季度财务报表公布之前披露,即4月底为年报披露截止期。财务报表信息披露的滞后性造成金融数据库中财务数据与市场数据的时间不一致,即t年末的财务数据因年报公布的滞后性在t+1年4月份披露财务报表时才得到更新。因此选取t年5月至t+1年4月作为组合构建周期
  • 市场类型选择:全部A股,包括沪深主板、中小板和创业板
  • 剔除IPO后前六个月的数据包括上市月)  (以下筛选条件根据自己需求修改)
  • 剔除ST(特别处理)、*ST(退市风险警示)、PT(特别转让)股票
  • 剔除金融行业股票
  • 剔除账面价值为负的股票
复制代码

  • 中国股市中市值最小的 30% 的上市公司会受到壳价值污染的严重影响,所以剔除市值最小的30%



参考文献



Liu J , Stambaugh R F , Yuan Y . Size and Value in China[J]. Journal of Financial Economics

因子构建



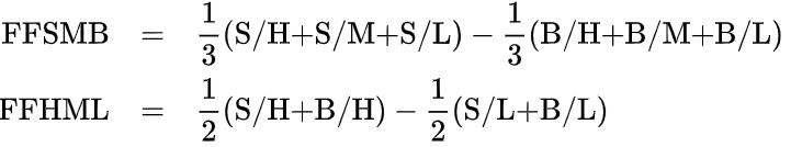
中国版Fama-French三因子构建
  • 规模的分组点为中位数,前50%为小规模组(S,Small),后50%为大规模组(B,Big)
  • EP(Earnings-to-Price)的分组点都为第30个和第70个百分位数,前30%为Value组,中间40%为Middle组,后30%为Growth组

v2-769da8b6e9fb5b0e2a9b503d0e98416e_r.png


TIM截图20200603174736.jpg



Fama-French三因子构建
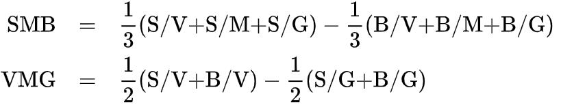
  • 规模的分组点为中位数,前50%为小规模组(S,Small),后50%为大规模组(B,Big)
  • 账面市值比的分组点都为第30个和第70个百分位数,前30%为低账面市值比组(L,Low),中间40%为中账面市值比组(N,neural),后30%为高账面市值比组(H,High)

v2-53636c486e34ef62c694ded5ddbe81fe_r.png


TIM截图20200604171908.jpg






  • 分25组回归的时候计算组合收益率采用流通市值加权平均法计算的组合收益率


表格展示



描述性统计  

TIM截图20200604200851.jpg


相关性分析


TIM截图20200604200908.jpg



Fama-French三因子25组投资组合收益率,并用Newey-West t统计量检验最高组和最低组的差异


TIM截图20200604203647.jpg

中国版三因子25组投资组合收益率,并用Newey-West t统计量检验最高组和最低组的差异
2.jpg



Fama-French三因子分25组回归结果(Excel已设置好公式,只需要Stata生成的结果复制进去可以自动生成表格,标注星号,方便快捷
4.jpg


中国版三因子分25组回归结果
5.jpg



中国版三因子和Fama-French三因子互相解释
Panel B: computes the Gibbons–Ross–Shanken F-test of whether a given model produces zero alphas for the factors of the other model (p-value in parentheses).
TIM截图20200604195849.jpg


Stata生成结果表

6.jpg


附件下载





TIM截图20200604205006.jpg TIM截图20200604204632.jpg



【推荐】中国版Fama-French三因子模型数据和Stata代码(2000-2019年).zip
大小:(63.91 MB)

只需: RMB 98元  马上下载

本附件包括:

  • size and value in china(JFE).pdf
  • 三因子模型更新.do
  • 结果整理.xlsx



>>>点击查看更多帖子<<<







补充内容 (2022-7-12 09:39):
Fama-French三因子模型更新至2021年版本
https://bbs.pinggu.org/thread-10908175-1-1.html
二维码

扫码加我 拉你入群

请注明:姓名-公司-职位

以便审核进群资格,未注明则拒绝

全部回复
2022-7-12 09:39:37
Fama-French三因子模型更新至2021年版本
https://bbs.pinggu.org/thread-10908175-1-1.html
二维码

扫码加我 拉你入群

请注明:姓名-公司-职位

以便审核进群资格,未注明则拒绝

2022-7-12 09:39:53
上市公司常用基础数据集合

包含财务指标、公司治理、交易数据(更新至2021年)
https://bbs.pinggu.org/thread-11036326-1-1.html


季度版本
https://bbs.pinggu.org/thread-11053751-1-1.html

常用控制变量集合
https://bbs.pinggu.org/thread-11043247-1-1.html


实证分析常用代码整理合集
https://bbs.pinggu.org/thread-10980403-1-1.html


【必备】A股上市公司基础信息(行业、省份、城市、区域、高新技术企业、上市年份等)
https://bbs.pinggu.org/thread-11134576-1-1.html

★筛选数据★ 沪深A股是否ST、*ST或PT数据整理
https://bbs.pinggu.org/thread-10946316-1-1.html

上市公司论文实证分析筛选样本所用数据指标
https://bbs.pinggu.org/thread-11068606-1-1.html


会计类专题数据

会计信息可比性https://bbs.pinggu.org/thread-11046316-1-1.html
会计信息可比性改进方法https://bbs.pinggu.org/thread-11046955-1-1.html
应计盈余管理(操控性应计利润)https://bbs.pinggu.org/thread-11044941-1-1.html
应计盈余管理DD模型和McNicols模型https://bbs.pinggu.org/thread-11046048-1-1.html
应计盈余管理非线性琼斯模型https://bbs.pinggu.org/thread-10681821-1-1.html
真实盈余管理【常用方法】https://bbs.pinggu.org/thread-11047874-1-1.html
真实盈余管理【拓展方法】https://bbs.pinggu.org/thread-11047887-1-1.html
归类变更盈余管理https://bbs.pinggu.org/thread-11056411-1-1.html
审计质量/审计报告激进性https://bbs.pinggu.org/thread-11056056-1-1.html
客户与审计师不匹配关系https://bbs.pinggu.org/thread-11056358-1-1.html
客户重要性https://bbs.pinggu.org/thread-11056452-1-1.html
融资约束SA指数https://bbs.pinggu.org/thread-11042386-1-1.html
融资约束KZ指数https://bbs.pinggu.org/thread-11070975-1-1.html
融资约束WW指数https://bbs.pinggu.org/thread-11071053-1-1.html
破产风险/破产倾向 Altman Z-Scorehttps://bbs.pinggu.org/thread-11071228-1-1.html
Ohlson破产概率指标O-Scorehttps://bbs.pinggu.org/thread-11071247-1-1.html
投资效率 OLS模型 营业收入增长率https://bbs.pinggu.org/thread-11055328-1-1.html
投资效率 OLS模型 托宾Qhttps://bbs.pinggu.org/thread-11055328-1-1.html
投资效率 GMM模型https://bbs.pinggu.org/thread-11055328-1-1.html
Biddle模型和Chen模型投资效率https://bbs.pinggu.org/thread-11055935-1-1.html
会计稳健性C-Scorehttps://bbs.pinggu.org/thread-11052606-1-1.html
财务柔性(现金柔性+负债融资柔性)https://bbs.pinggu.org/thread-11060747-1-1.html
高管超额薪酬和绝对薪酬数据https://bbs.pinggu.org/thread-11049485-1-1.html
管理者超额薪酬https://bbs.pinggu.org/thread-11049469-1-1.html
劳动投资效率冗余雇佣/雇佣不足https://bbs.pinggu.org/thread-11060650-1-1.html
企业内部薪酬差距https://bbs.pinggu.org/thread-11042271-1-1.html
企业外部薪酬差距https://bbs.pinggu.org/thread-11042304-1-1.html
高管相对薪酬差距https://bbs.pinggu.org/thread-11126799-1-1.html
企业避税活动/税收激进度/税收规避https://bbs.pinggu.org/thread-11071292-1-1.html
企业税负粘性https://bbs.pinggu.org/thread-11055290-1-1.html
信息披露质量KV指数https://bbs.pinggu.org/thread-10904861-1-1.html
异常审计费用https://bbs.pinggu.org/thread-11070616-1-1.html
收益激进度和收益平滑度https://bbs.pinggu.org/thread-11056555-1-1.html
盈余激进度和盈余平滑度https://bbs.pinggu.org/thread-11057300-1-1.html
企业生命周期(现金流组合)https://bbs.pinggu.org/thread-11039173-1-1.html
企业生命周期(李云鹤文献)https://bbs.pinggu.org/thread-11123617-1-1.html
政府补助https://bbs.pinggu.org/thread-11049408-1-1.html
经营风险https://bbs.pinggu.org/thread-11068558-1-1.html
连锁股东https://bbs.pinggu.org/thread-11055005-1-1.html
透明度综合指标TRANShttps://bbs.pinggu.org/thread-10686335-1-1.html
深交所信息披露考评结果https://bbs.pinggu.org/thread-10686325-1-1.html
供应商集中度和销售集中度https://bbs.pinggu.org/thread-10687473-1-1.html
审计师行业专长https://bbs.pinggu.org/thread-11053854-1-1.html
审计意见和审计费用、是否四大、是否十大https://bbs.pinggu.org/thread-11063096-1-1.html
税收征管力度https://bbs.pinggu.org/thread-10783416-1-1.html
研发操纵https://bbs.pinggu.org/thread-11129088-1-1.html
成本粘性https://bbs.pinggu.org/thread-11049166-1-1.html
短债长投/短贷长投/短债长用https://bbs.pinggu.org/thread-11075309-1-1.html
债务融资成本Costhttps://bbs.pinggu.org/thread-10635239-1-1.html
上市公司对外担保https://bbs.pinggu.org/thread-11060806-1-1.html
系统风险承担和特质风险承担https://bbs.pinggu.org/thread-11039230-1-1.html
合成控制法SCM案例--包含稳健性检验/安慰剂检验https://bbs.pinggu.org/thread-7026273-1-1.html
CRITIC赋值法确定权重计算综合指标https://bbs.pinggu.org/thread-10758720-1-1.html
企业投资羊群行为https://bbs.pinggu.org/thread-11073418-1-1.html
现金流操控程度https://bbs.pinggu.org/thread-11073405-1-1.html
超额现金持有https://bbs.pinggu.org/thread-11065278-1-1.html
是否过度负债企业https://bbs.pinggu.org/thread-11073966-1-1.html
审计师工作量压力https://bbs.pinggu.org/thread-11064563-1-1.html
管理层语调操纵https://bbs.pinggu.org/thread-10792309-1-1.html
上市公司僵尸企业识别https://bbs.pinggu.org/thread-11062304-1-1.html


事件研究系列

事件研究Stata代码更新(绘走势图、直接生成最终结果表格)https://bbs.pinggu.org/thread-7006714-1-1.html
事件研究Stata代码更新 增加分组https://bbs.pinggu.org/thread-8070617-1-1.html
事件研究BHAR计算https://bbs.pinggu.org/thread-10535704-1-1.html
事件研究-常量均值模型(针对股指)https://bbs.pinggu.org/thread-7020229-1-1.html

二维码

扫码加我 拉你入群

请注明:姓名-公司-职位

以便审核进群资格,未注明则拒绝

相关推荐
栏目导航
热门文章
推荐文章

说点什么

分享

扫码加好友,拉您进群
各岗位、行业、专业交流群