●论文复刻●
股权激励的市场反应研究
通过本案例可以学习到什么
数据说明
选取沪深A股2012年至2019年期间发布公告股权激励方案的上市公司为研究样本,并经过以下筛选:
- 剔除金融行业上市公司;
- 剔除实施股权激励年度为ST、*ST或PT类上市公司;
- 同一公司在一个会计年度期间发布多个股权激励计划时,如果在同一公告日,则视为同一个样本,假如在不同公告日发布,保证样本的事件估计窗口内没有发布其他有效的股权激励方案,否则剔除样本;
- 剔除实施股权激励方案发生前后连续停牌超过3个月的样本;
- 剔除股灾期间样本(2015年6月15日到2015年8月25日);2016年1月4日至2016年1月8日中国股市触发熔断机制;
事件研究方法说明
- 事件窗口确定为股权激励方案公告前30个交易日到公告后30个交易日共61天,即(-30,30),将估计窗口定为(-230,-31),共200个交易日。
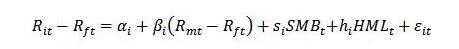
- 采用Fama-French三因子模型计算异常收益率
![]()
参考文献
- 沈海平. 基于事件研究法的A股市场股权激励效应实证分析[J]. 金融发展研究, 2011, 000(002):73-77
- 江泽华. 基于事件研究法的股权激励市场反应研究[D]. 复旦大学.
- 黄兴孪. 中国上市公司并购动因与绩效研究[D]. 厦门大学.
结果截图
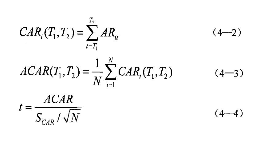
AAR和ACAR走势图
![]()
AAR走势图 - 分不同股权激励标的物类型
ACAR走势图 - 分不同股权激励标的物类型
AAR走势图 - 分不同股权激励标的物类型
ACAR走势图 - 分不同市场类型
AR显著性检验
CAR显著性检验
不同窗口CAR显著性检验
不同窗口CAR显著性检验 - 分不同股权激励标的物类型
不同窗口CAR显著性检验 - 分不同市场类型![]()
附件下载
包含数据和代码
百度网盘下载地址
【点击查看更多帖子】
【帖子索引】
| 事件研究Stata代码更新 (绘走势图、直接生成最终结果表格) | https://bbs.pinggu.org/thread-7006714-1-1.html |
| 事件研究Stata代码更新 (绘走势图、直接生成最终结果表格)增加分组 | https://bbs.pinggu.org/thread-8070617-1-1.html |
| 事件研究BHAR计算 | https://bbs.pinggu.org/thread-6997020-1-1.html |
| 事件研究-常量均值模型(针对股指) | https://bbs.pinggu.org/thread-7020229-1-1.html |
| 事件研究实证分析完整案例 | https://bbs.pinggu.org/thread-7277579-1-1.html |
扫码加好友,拉您进群



收藏
