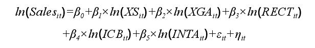
营销能力指标 计算说明 使用随机前沿生产函数进行计算,随机前沿生产函数反映了在具体的技术条件和给定的生产要素组合下,企业各投入组合与最大产出量之间的函数关系。其中,企业的营销投入包括: (1)企业用于销售、促销、折让的成本,以及销售过程中产生的管理成本,即销售费用(XS)和企业管理费用(XGA) ; (2)企业用以维护客户关系的应收账款(RECT) ; (3)代表企业顾客规模的客户基础(IBC),即销售额两期滞后项的乘积; (4)表示企业声誉的无形资产(INTA)。 使用"柯布道格拉斯”函数计算销售前沿 ![]() ε是模型设定引起的非观测误差项;η是非负无效率项,满足u,~N(0,σ2),代表了企业i的销售额距离销售额前沿的距离。将η进行指数化即可得到企业的营销能力Cmkt=exp(-u)。由于样本的时间跨度较短、企业数量较多,营销能力在短时间内的变化幅度较小,因此,采用营销能力不随年份改变的模型更加适合。 参考文献 [1]顾雷雷, 欧阳文静. 慈善捐赠、营销能力和企业绩效[J]. 南开管理评论, 2017, 20(2):14. 数据说明
结果说明 各年数据量 缩尾后描述性统计 附件下载
【点击查看更多帖子】【Stata软件下载】【Stata免费学习资料】 |
| 事件研究Stata代码更新(绘走势图、直接生成最终结果表格) | https://bbs.pinggu.org/thread-7006714-1-1.html |
| 事件研究Stata代码更新 增加分组 | https://bbs.pinggu.org/thread-8070617-1-1.html |
| 事件研究BHAR计算 | https://bbs.pinggu.org/thread-10535704-1-1.html |
| 事件研究-常量均值模型(针对股指) | https://bbs.pinggu.org/thread-7020229-1-1.html |
扫码加好友,拉您进群



收藏
