真实盈余管理
1、计算说明
      对于真实盈余管理程度的计量,本文主要借鉴Roychowdhury的研究方法,从销售操控(如放宽销售限制条件、放宽信用政策、增加销售折让等、生产操控(如扩大生产规模,降低单位产品成本)和费用操控(如削减研发支出、广告费和维修费用支出等等三方面度量真实盈余管理程度,且这三种操控方式是分别用来衡量企业的异常经营现金净流量、异常产品成本和异常酌情费用。其中,对经营现金净流量的估计模型本文采用我国学者李彬等(2009)考虑固定成本对经营活动现金流影响后的改进模型。企业若采用扩张的销售操控,会降低每单位销售带来的经营现金净流量;若扩大生产规模,可使单位产品成本降低,但会增加总体生产成本和存货持有成本;若削减研发费用、广告费投入和日常维护费等,将使酌情费用降低。当公司采取真实活动进行盈余管理做大报告盈余时,会出现较低的异常现金流、较高的异常产品成本和较低的异常酌情费用。具体估算过程如下:
      首先,分年度和行业回归估算出计算出正常的经营活动现金流、正常费用和正常产品成本,具体模型如下:
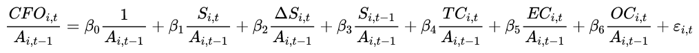
现金流量模型
 
产品成本模型
 
费用模型
 
      变量说明:
- CFOi,t 表示第 t 期的经营活动现金净流量;
- Ai,t-1 为第 t-1 期期末总资产;
- Si,t 表示第 t 期销售收入;
- △Si,t 表示第 t 期的销售收入相比第 t-1 期的销售收入变动额;
- △Si,t-1 表示第 t-1 期的销售收入相比第 t-2 期的销售收入变动额;
- TCi,t 表示第 t 期的各项税费开支;
- ECi,t 为第 t 期支付给职工以及为职工支付的现金;
- OCi,t 为第 t 期其他与经营活动有关的现金;
- DISXi,t 表示第t 期的可操控性费用,为销售费用与管理费用的总和;
- PRODi,t 为第t 期的生产成本,是当期营业成本及存货变动额的总和。
 
 
 
然后,用公司的实际值减预期值,差额即为异常值,分别算出异常经营活动现金流、异常产品成本和异常费用。
     有关最后的盈余管理程度代码里面提供了两种计算方法:- 第一种:REM1= R_CFO+R_PROD+R_DISX,  AbsREM1为REM1的绝对值
- 第二种:REM2= R_PROD-R_CFO-R_DISX, AbsREM2为REM2的绝对值
 
2、参考文献
- 不同公司治理强度下的股权激励与真实盈余管理——兼论市场化进程的保护作用(侯晓红) 经济与管理
- 审计行为能够抑制真实盈余管理吗(曹国华) 审计与经济研究
 
3、数据说明
- 原始数据包含:公司文件、资产负债表、利润表、现金流量表(直接法)(1990-2022年数据)。
- 结果数据格式为:包含dta和excel格式。
- 代码格式:do文件(Stata14/15/16/17),需要安装包可以到该贴下载: 下载地址
- 本文选取2000-2022年A股上市公司为研究对象。(因为是分年度分行业回归,所以需要哪几年的结果可以直接使用)
- 字段包含以2012年的证监会行业标准,制造业使用二级分类,其他行业使用大类,本文剔除金融行业,如果不需要可以把对应代码删掉即可。
- 字段包含是否ST、PT的虚拟变量(以当年是否ST、*ST或PT为判断标准),本文剔除ST、*ST或PT类股票,如果不需要可以把对应代码删掉即可。
- 剔除缺失值、剔除已退市的上市公司
- 剔除年度行业内公司不足10个的样本,以便有效估计盈余管理程度
- 对连续变量进行缩尾处理
 
4、结果截图
 
 各年数据量
各年数据量
 描述性统计
描述性统计
 5、附件下载
5、附件下载
 
 
如果只要计算结果的话
 
经管之家:momingiqmiao7
欢迎关注,分享更多实用的数据,独家发布,请勿私自转卖,有任何问题在可以帖子下方回复,及时回复
注意:支持经管之家和QQ购买,其他渠道购买无质量保证和售后保障,批量购买可享优惠
【关注】【帖子索引2022年】【帖子索引2021年】【使用常见问题】
【点击查看更多帖子】【Stata软件下载】【Stata免费学习资料】