资本市场估值偏误
——剩余收益模型RIM
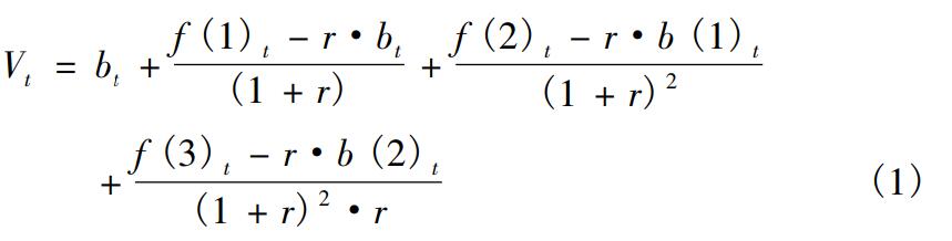
计算说明构建变量V/P和Deviation的关键步骤是计算上市公司的内在价值V,剩余收益模型(RIM)是常用的方法之一(Kothari,2001)。剩余收益模型的基础是股利折价模型,在每股权益账面价值、现金股利和每股收益满足干净盈余关系时,公司的内在价值可以用账面价值和未来预期收益表示(Ohlson,1995)。Frankel and Lee(1998)在未来第三年的盈余能够持续的假设下,运用未来三期的分析师预测数据估计股票内在价值,将剩余收益模型改写成:
上式中V为每股内在价值,f()为分析师预测的公司盈余,b为每股权益账面价值,r为资本成本。然而,饶品贵和岳衡(2012)指出,由于分析师预测盈余时存在比较乐观、滞后于整体市场预期、存在样本选择偏差以及我国证券分析师数量较少等原因,在我国采用分析师预测数据进行剩余收益模型估计存在一定缺陷。因此,本文在使用上式估计上市公司内在价值时,借鉴饶品贵和岳衡(2012)的思路,采用Hou et al.(2012)的预测方法预测公司未来一至三年的盈余,并将其作为RIM的输入变量估计公司内在价值。Hou et al.(2012)采用的预测模型如下:
本文采用式(2)估计获得的系数预测每一年公司未来一至三年的每股盈余,并将其代入式(1)中估计公司的内在价值。在利用(1)式进行公司内在价值估计时,我们还对公司未来两期的每股权益价值进行了预测,采用的公式分别为
【剩余收益模型】上市公司资本市场估值偏误计(附2000-2022年数据).zip
只需: RMB 68元 马上下载
本附件包括:
经管之家:momingiqmiao7
欢迎关注,分享更多实用的数据,独家发布,请勿私自转卖,有任何问题在可以帖子下方回复,及时回复
注意:支持经管之家和微信购买(账号同名),其他渠道购买无质量保证和售后保障,批量购买可享优惠
【关注】【帖子索引2022年】【帖子索引2021年】【使用常见问题】
【点击查看更多帖子】【Stata软件下载】【Stata免费学习资料】
| 事件研究Stata代码更新(绘走势图、直接生成最终结果表格) | https://bbs.pinggu.org/thread-7006714-1-1.html |
| 事件研究Stata代码更新 增加分组 | https://bbs.pinggu.org/thread-8070617-1-1.html |
| 事件研究BHAR计算 | https://bbs.pinggu.org/thread-10535704-1-1.html |
| 事件研究-常量均值模型(针对股指) | https://bbs.pinggu.org/thread-7020229-1-1.html |
扫码加好友,拉您进群



收藏
