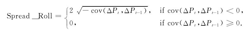
有效价差和相对有效价差
经管之家:momingiqmiao7
欢迎关注,分享更多实用的数据,独家发布,请勿私自转卖
【关注】【帖子索引2020年】【帖子索引2021年】【使用常见问题】
【点击查看更多帖子】【Stata软件下载】【Stata免费学习资料】
| 事件研究Stata代码更新(绘走势图、直接生成最终结果表格) | https://bbs.pinggu.org/thread-7006714-1-1.html |
| 事件研究Stata代码更新 增加分组 | https://bbs.pinggu.org/thread-8070617-1-1.html |
| 事件研究BHAR计算 | https://bbs.pinggu.org/thread-10535704-1-1.html |
| 事件研究-常量均值模型(针对股指) | https://bbs.pinggu.org/thread-7020229-1-1.html |
| 资本市场估值偏误——剩余收益模型RIM | https://bbs.pinggu.org/thread-10777383-1-1.html |
| 现金流操控程度UCFO指标 | https://bbs.pinggu.org/thread-11073405-1-1.html |
| 企业投资羊群行为/投资从众行为 | https://bbs.pinggu.org/thread-10771928-1-1.html |
| 创新投入/创新产出/创新效率 | https://bbs.pinggu.org/thread-10771195-1-1.html |
| 高管风险偏好 | https://bbs.pinggu.org/thread-10771156-1-1.html |
| 治理效率/治理水平 | https://bbs.pinggu.org/thread-10767425-1-1.html |
| 机构投资者羊群行为LSV模型 | https://bbs.pinggu.org/thread-10725077-1-1.html |
| 是否高科技行业分组 | https://bbs.pinggu.org/thread-11040116-1-1.html |
| 会计事务所变更 | https://bbs.pinggu.org/thread-10706968-1-1.html |
| 高管机会主义减持指标 | https://bbs.pinggu.org/thread-10989607-1-1.html |
| 上市公司高管海外经历、金融背景、学术背景、财务背景等数据指标整理(2008-2020年) | https://bbs.pinggu.org/thread-10978817-1-1.html |
扫码加好友,拉您进群



收藏
