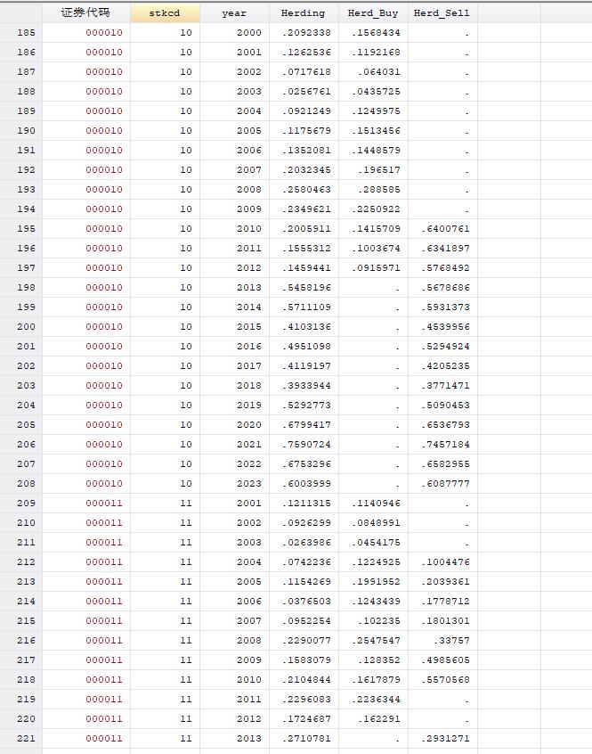
机构投资者羊群行为LSV模型
多年更新,质量保证,大量好评,用的放心
2020年:https://bbs.pinggu.org/thread-10725077-1-1.html
2021年:https://bbs.pinggu.org/thread-11049067-1-1.html
2022年:https://bbs.pinggu.org/thread-11540477-1-1.html
经管之家:momingiqmiao7
欢迎关注,分享更多实用的数据,独家发布,严禁转载获利,转载必究,有任何问题在可以帖子下方回复,及时回复
批量购买可享优惠
【关注】【帖子索引2023年】【帖子索引2022年】【帖子索引2021年】【使用常见问题】【点击查看更多帖子】【Stata软件下载】【Stata免费学习资料】
| 事件研究Stata代码更新(绘走势图、直接生成最终结果表格) | https://bbs.pinggu.org/thread-7006714-1-1.html |
| 事件研究Stata代码更新 增加分组 | https://bbs.pinggu.org/thread-8070617-1-1.html |
| 事件研究BHAR计算 | https://bbs.pinggu.org/thread-10535704-1-1.html |
| 事件研究-常量均值模型(针对股指) | https://bbs.pinggu.org/thread-7020229-1-1.html |
扫码加好友,拉您进群



收藏
